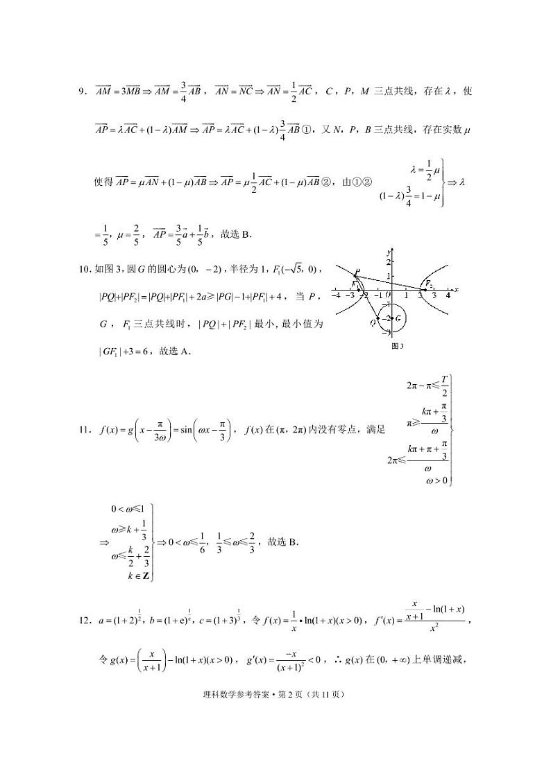
2022届云南省几市高三上学期“3 3 3”高考备考诊断性联考试题(一) 数学(理) PDF版
展开云南省几市2022届高三上学期“3+3+3”高考备考诊断性联考试题(一) 数学(理) PDF版含解析: 这是一份云南省几市2022届高三上学期“3+3+3”高考备考诊断性联考试题(一) 数学(理) PDF版含解析,文件包含2022届“3+3+3”高考备考诊断性联考卷一理数-答案pdf、数学理pdf等2份试卷配套教学资源,其中试卷共13页, 欢迎下载使用。
2022-2023学年贵州省高三上学期3 3 3高考备考诊断性联考(一)(一模)数学(理) PDF版: 这是一份2022-2023学年贵州省高三上学期3 3 3高考备考诊断性联考(一)(一模)数学(理) PDF版,共13页。
2020届西南名校联盟3 3 3高考备考诊断性联考卷(二)数学(理)试题 PDF版: 这是一份2020届西南名校联盟3 3 3高考备考诊断性联考卷(二)数学(理)试题 PDF版,文件包含2020届“3+3+3”高考备考诊断性联考卷二理数-答案doc、2020届“3+3+3”高考备考诊断性联考卷二理数-答案pdf、2020届“3+3+3”高考备考诊断性联考卷二理数双向细目表doc、理科数学pdf等4份试卷配套教学资源,其中试卷共28页, 欢迎下载使用。

