高中数学人教版新课标B必修41.2.3同角三角函数的基本关系教案设计
展开知识目标:根据三角函数关系式进行三角式的化简和证明;
能力目标:(1)了解已知一个三角函数关系式求三角函数(式)值的方法。
(2)灵活运用同角三角函数关系式的不同变形,提高三角恒等变形的能力;
德育目标:训练三角恒等变形的能力,进一步树立化归思想方法;
教学重点:同角三角函数的基本关系式
教学难点:如何运用公式对三角式进行化简和证明。
授课类型:新授课
教学模式:启发、诱导发现教学.
教 具:多媒体、实物投影仪
教学过程:
一、复习引入:
1.同角三角函数的基本关系式。
(1)倒数关系:,,.
(2)商数关系:,.
(3)平方关系:,,.
(练习)已知,求
2.tanαcsα= ,ctαsecα= ,(secα+tanα)·( )=1
二、讲解新课:
例1.化简.
解:原式.
例2.化简.
解:原式
.
例3、已知,求
解:
强调(指出)技巧:1分子、分母是正余弦的一次(或二次)齐次式
2“化1法”
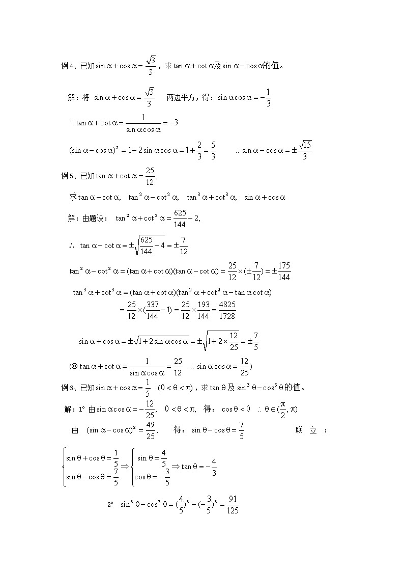
例4、已知,求
解:将 两边平方,得:
例5、已知
解:由题设:
∴
()
例6、已知,求
解:1 由
由 联立:
2
例7、已知 求
解:∵sin2 + cs2 = 1 ∴
化简,整理得:
当m = 0时,
当m = 8时,
三、巩固与练习
1:已知12 sin+5 cs=0,求sin、cs的值.
解:∵12 sin+5 cs=0 ∴sin= cs,又
则( cs)2+=1,即=
∴cs=± ∴
2.已知,求(1);原式=
(2);原式=
说明:(1)为了直接利用,注意所求值式的分子、分母均为一次齐次式,把分子、分母同除以,将分子、分母转化为的代数式;
(2)可利用平方关系,将分子、分母都变为二次齐次式,再利用商数关系化归为的分式求值;
3
4.已知secα—tgα=5,求sinα。
解1:∵secα—tgα=5=5×1=5(sec2α—tg2α)=5(secα+tgα)(secα—tgα),故 secα+tgα=1/5,
则secα=13/5,tgα=—12/5;sinα=tgα·csα=
解2:由已知:
则
5.已知,求值;
解:可求分析:本题关键时灵活地多次运用条件从而结合同角三角函数关系式达到降次求解的目标;
小结:化简三角函数式,化简的一般要求是:(1)尽量使函数种类最少,项数最少,次数最低;(2)尽量使分母不含三角函数式;(3)根式内的三角函数式尽量开出来;(4)能求得数值的应计算出来,其次要注意在三角函数式变形时,常常将式子中的“1”作巧妙的变形,如:1=
四、小 结:本节课学习了以下内容:
1.运用同角三角函数关系式化简、证明。
2.常用的变形措施有:大角化小,切割化弦等。
五、课后作业:习题 第5,7,8题
思考:已知sin=2sinβ,tan=3tanβ,求的值.
解:sinβ= tanβ=
又1+ tan2β=,
∴1+
即8
六、板书设计:
第4章 第2节 同角三角函数的基本关系与诱导公式教案: 这是一份第4章 第2节 同角三角函数的基本关系与诱导公式教案,共12页。教案主要包含了教材概念·结论·性质重现,基本技能·思想·活动体验等内容,欢迎下载使用。
高中数学人教版新课标A必修41.2 任意的三角函数教学设计及反思: 这是一份高中数学人教版新课标A必修41.2 任意的三角函数教学设计及反思,共4页。教案主要包含了复习引入,讲解新课,巩固与练习,小 结,课后作业,板书设计等内容,欢迎下载使用。
高中数学人教版新课标A必修41.2 任意的三角函数教学设计: 这是一份高中数学人教版新课标A必修41.2 任意的三角函数教学设计,共5页。教案主要包含了复习引入,讲解新课,巩固与练习,小 结,课后作业,板书设计等内容,欢迎下载使用。

