专题09 平面向量 专项练习-2022届高三数学一轮复习(原卷版+解析版)
展开
这是一份专题09 平面向量 专项练习-2022届高三数学一轮复习(原卷版+解析版),文件包含专题09平面向量专项练习-2022届高三数学一轮复习原卷版docx、专题09平面向量专项练习-2022届高三数学一轮复习解析版docx等2份试卷配套教学资源,其中试卷共12页, 欢迎下载使用。
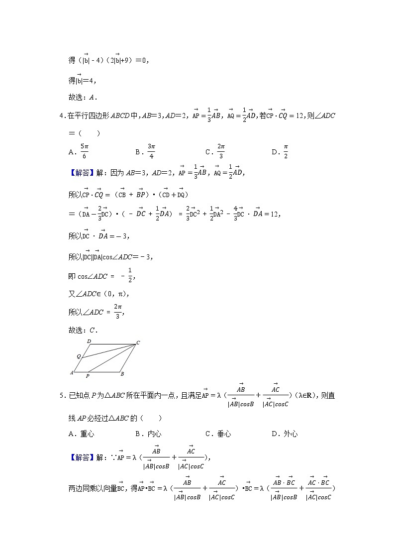
专题九 《平面向量》专项练习一.选择题(共8小题)1.已知O、A、B是平面上三点,直线AB上有一点C满足( )A. B. C. D.【解答】解:∵∴∵依题.∴.故选:B.2.已知向量(﹣2,m),(1,2),若向量在向量方向上的投影为2,则实数m=( )A. B.1 C.1 D.1【解答】解:依题意向量在向量方向上的投影2,解得m=1.故选:D.3.已知||=6,与的夹角为,且2)•(3)=﹣72,||为( )A.4 B.5 C.6 D.14【解答】解:由2)•(3)=﹣72,得2﹣62•72,∵||=6,与的夹角为,∴62﹣6||2﹣||•||cos72,即36﹣6||2﹣||×672,即||2+||﹣36=0,得(||﹣4)(2||+9)=0,得||=4,故选:A.4.在平行四边形ABCD中,AB=3,AD=2,,,若12,则∠ADC=( )A. B. C. D.【解答】解:因为AB=3,AD=2,,,所以()•()=()•()2212,所以3,所以||||cos∠ADC=﹣3,即cos∠ADC,又∠ADC∈(0,π),所以∠ADC,故选:C.5.已知点P为△ABC所在平面内一点,且满足λ()(λ∈R),则直线AP必经过△ABC的( )A.重心 B.内心 C.垂心 D.外心【解答】解:∵λ(),两边同乘以向量,得•λ()•λ()=λ()=λ(﹣||+||)=0.∴⊥,即点P在在BC边的高线上,∴P的轨迹过△ABC的垂心.故选:C.6.如图,在△ABC中,,P是BN上的一点,若,则实数m的值为( )A. B. C. D.【解答】解:∵P是BN上的一点,设,由,则 ∴m=1﹣λ,解得λ,m故选:D.7.在直角△ABC中,∠BCA=90°,CA=CB=1,P为AB边上的点λ,若••,则λ的最大值是( )A. B. C.1 D.【解答】解:∵直角△ABC中,∠BCA=90°,CA=CB=1,∴以C为坐标原点CA所在直线为x轴,CB所在直线为y轴建立直角坐标系,如图:C(0,0),A(1,0),B(0,1),(﹣1,1),由λ,∴λ∈[0,1],(﹣λ,λ),(1﹣λ,λ),(λ﹣1,1﹣λ),若••,∴λ﹣1+λ≥λ2﹣λ+λ2﹣λ.2λ2﹣4λ+1≤0,解得:1λ≤1,∵λ∈[0,1],∴λ∈[1,1].则λ的最大值是1.故选:C.8.在△ABC中,满足⊥,M是BC的中点,若O是线段AM上任意一点,且||=||,则•()的最小值为( )A.0 B. C. D.2【解答】解:由⊥,||=||,∴△ABC为等腰直角三角形,以A为原点,AB,AC为x轴和y轴建立直角坐标系,如图所示,∴A(0,0),B(,0),C(0,),M(,)∵M是BC的中点,O是线段AM上任意一点,∴可设O(x,x),0≤x,∴(x,x),(x,x),∴(2x,2x)∴•()•()=(x,x)(2x,2x)=4x2x=4(x)2,故当x时,•()的最小值为,故选:C.二.多选题(共4小题)9.设P是△ABC所在平面内的一点,,则( )A. B. C. D.【解答】解:因为,则,即,故D正确,A,B,错误,又根据三角形法则可得,故C正确,故选:CD.10.已知向量(2,1),(﹣3,1),则( )A.() B.|2|=5(,) C.向量在向量的投影为 D.与向量同向的单位向量为(,)【解答】解:根据题意,向量向量(2,1),(﹣3,1),对于A,(﹣1,2),()•2+2=0,则()⊥,A正确;对于B,2(﹣4,3),则|2|=5,B错误;对于C,•6+1=﹣5,向量在向量的投影为,C错误对于D,设与向量同向的单位向量为,k(2k,k)(k>0),则有4k2+k2=1,又由k>0,解可得k,故(,),D正确;故选:AD.11.下列关于平面向量的说法中正确的是( )A.已知,均为非零向量,若,则存在唯一的实数λ,使得 B.已知非零向量,,且与的夹角为锐角,则实数λ的取值范围是 C.若且,则 D.若点G为△ABC的重心,则【解答】解:根据题意,依次分析选项:对于A,符合向量共线定理,正确;对于B,当λ=0时,与共线,与的夹角不是锐角,B错误;对于C,若(1,0),(0,﹣1),(0,﹣1),满足••0,但不成立,C错误;对于D,若点G为△ABC的重心,则,正确;故选:AD.12.如图,在直角三角形ABC中,A=90°,|AB|,|AC|=2,点P在以A为圆心且与边BC相切的圆上,则( )A.点P所在圆的半径为2 B.点P所在圆的半径为1 C.•的最大值为14 D.•的最大值为16【解答】解:以A为坐标原点建立平面直角坐标系如图,则B(0,),C(2,0),BC所在直线方程为1,即x+2y﹣20.则点A到直线BC的距离为2,即点P所在圆的半径为2,故A正确,B错误;∴圆A的方程为x2+y2=4,设BC的中点为D(2,1),|BC|=5,则•()•()=||225=||2.|AD|+r2,∴•的最大值为14,故C正确,D错误.故选:AC.三.填空题(共4小题)13.已知,均为单位向量,若|2|,则与的夹角为 .【解答】解:∵,均为单位向量,设与的夹角为θ,又|2|,∴,∴,则与的夹角cos,∴,故答案为:.14.已知(2,1),(1,λ),若a与b的夹角为锐角,则λ的取值范围是 .【解答】解:与的夹角θ为锐角,cosθ>0且cosθ≠1,而∴λ>﹣2且,即λ>﹣2且.故答案为:15.已知、是单位向量,•0.若向量满足||=1,则||的最大值是 .【解答】解:∵、是单位向量,•0.若向量满足||=1,∴设(1,0),(0,1),(x,y),则(x﹣1,y﹣1),∵||=1,∴(x﹣1)2+(y﹣1)2=1,故向量||的轨迹是在以(1,1)为圆心,半径等于1的圆上,∴||的最大值为,故答案为:16.如图,已知P是半径为2,圆心角为的一段圆弧AB上的一点,2,则•的最小值为 5﹣2 .【解答】解:已知P是半径为2,圆心角为 的一段圆弧AB上一点,2 ,以圆心为原点,AB垂直平分线所在的直线为y轴,建立平面直角坐标系,则:A(﹣1,),C(2,),由题设:P(2cosθ,2sinθ),θ;则 •(2﹣2 cosθ,2sinθ)•(﹣1﹣2cosθ,2sinθ)=5﹣2cosθ﹣4 sinθ,=5﹣2 sin(θ+Φ),其中0<tanΦ;所以0<Φ,当θΦ时,则 的最小值为5﹣2 ;故答案为:5﹣2 .声明:试题解析著作权属菁优网所有,未经书面同意,不得复制发布日期:2021/7/11 19:24:29;用户:15942715433;邮箱:15942715433;学号:32355067
相关试卷
这是一份高考数学一轮复习题型归纳讲义 专题09 平面向量 专项练习 (原卷版+解析版),文件包含专题09平面向量专项练习解析版docx、专题09平面向量专项练习原卷版docx等2份试卷配套教学资源,其中试卷共13页, 欢迎下载使用。
这是一份专题09 平面向量 9.2数量积 题型归纳讲义-2022届高三数学一轮复习(原卷版+解析版),文件包含专题09平面向量92数量积题型归纳讲义-2022届高三数学一轮复习解析版docx、专题09平面向量92数量积题型归纳讲义-2022届高三数学一轮复习原卷版docx等2份试卷配套教学资源,其中试卷共21页, 欢迎下载使用。
这是一份专题09 平面向量【多选题】(原卷版)+解析版,文件包含专题09平面向量多选题原卷版docx、专题09平面向量多选题解析版docx等2份试卷配套教学资源,其中试卷共9页, 欢迎下载使用。

