2021学年第三章 圆锥曲线的方程本章综合与测试习题课件ppt
展开1.掌握抛物线的定义及其焦点、准线的概念.2.会求简单的抛物线方程.
XUE XI MU BIAO
知识点一 抛物线的定义
1.定义:平面内与一定点F和一条定直线l(不经过点F) 的点的轨迹.2.焦点:定点F.3.准线:定直线l.
思考 抛物线的定义中,为什么要加条件l不经过点F?答案 若点F在直线l上,点的轨迹是过点F且垂直于直线l的直线.
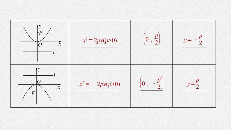
知识点二 抛物线的标准方程
y2=2px(p>0)
y2=-2px(p>0)
x2=2py(p>0)
x2=-2py(p>0)
思考 抛物线方程中p(p>0)的几何意义是什么?答案 p的几何意义是焦点到准线的距离.
SI KAO BIAN XI PAN DUAN ZHENG WU
1.到定点的距离与到定直线的距离相等的点的轨迹是抛物线.( )2.抛物线的方程都是二次函数.( )3.抛物线y2=2px(p>0)中p是焦点到准线的距离.( )4.方程x2=2ay(a≠0)表示开口向上的抛物线.( )
一、求抛物线的标准方程
例1 分别求符合下列条件的抛物线的标准方程.(1)经过点(-3,-1);
解 因为点(-3,-1)在第三象限,所以设所求抛物线的标准方程为y2=-2px(p>0)或x2=-2py(p>0).若抛物线的标准方程为y2=-2px(p>0),
若抛物线的标准方程为x2=-2py(p>0),
解 对于直线方程3x-4y-12=0,令x=0,得y=-3;令y=0,得x=4,所以抛物线的焦点为(0,-3)或(4,0).
(2)焦点为直线3x-4y-12=0与坐标轴的交点.
此时抛物线的标准方程为x2=-12y;
此时抛物线的标准方程为y2=16x.故所求抛物线的标准方程为x2=-12y或y2=16x.
用待定系数法求抛物线标准方程的步骤
注意:当抛物线的类型没有确定时,可设方程为y2=mx(m≠0)或x2=ny(n≠0),这样可以减少讨论情况的个数.
跟踪训练1 (1)若抛物线y2=2px(p>0)的焦点坐标为(1,0),则p=____,准线方程为________.
解析 因为抛物线的焦点坐标为(1,0),
(2)求焦点在y轴上,焦点到准线的距离为5的抛物线的标准方程为__________________.
x2=10y和x2=-10y
解析 设方程为x2=2my(m≠0),由焦点到准线的距离为5,知|m|=5,m=±5,所以满足条件的抛物线有两条,它们的标准方程分别为x2=10y和x2=-10y.
(2)已知点P是抛物线y2=2x上的一个动点,求点P到点(0,2)的距离与P到该抛物线准线的距离之和的最小值.
解 由抛物线的定义可知,抛物线上的点到准线的距离等于它到焦点的距离.由图可知,
延伸探究1.若将本例(2)中的点(0,2)改为点A(3,2),求|PA|+|PF|的最小值.
所以点A在抛物线内部.
则|PA|+|PF|=|PA|+d.
解 如图,作PQ垂直于准线l于点Q,|PA1|+|PQ|=|PA1|+|PF|≥|A1F|min.
抛物线定义的应用实现距离转化.根据抛物线的定义,抛物线上任意一点到焦点的距离等于它到准线的距离,因此,由抛物线定义可以实现点点距与点线距的相互转化,从而简化某些问题.
跟踪训练2 (1)已知抛物线y2=2px(p>0)的焦点F1,若点A(2,-4)在抛物线上,则点A到焦点的距离为______.
解析 把点(2,-4)代入抛物线y2=2px,得16=4p,即p=4,从而抛物线的焦点为(2,0).故点A到焦点的距离为4.
解析 由题意知抛物线y2=8x的焦点为F(2,0),点P到准线x=-2的距离为d+1,于是|PF|=d+1,所以d+|PA|=|PF|-1+|PA|的最小值为|AF|-1=4-1=3.
HE XIN SU YANG ZHI SHU XUE JIAN MO
抛物线的实际应用问题典例 河上有一抛物线形拱桥,当水面距拱桥顶5 m时,水面宽为8 m,一小船宽4 m,高2 m,载货后船露出水面上的部分高0.75 m,问:水面上涨到与抛物线形拱桥拱顶相距多少m时,小船开始不能通航?
解 如图,以拱桥的拱顶为原点,以过拱顶且平行于水面的直线为x轴,建立平面直角坐标系.设抛物线方程为x2=-2py(p>0),由题意可知,点B(4,-5)在抛物线上,
当船面两侧和抛物线接触时,船开始不能通航,设此时船面宽为AA′,则A(2,yA),
又知船面露出水面上的部分高为0.75 m,所以h=|yA|+0.75=2(m).所以水面上涨到与抛物线形拱桥拱顶相距2 m时,小船开始不能通航.
首先确定与实际问题相匹配的数学模型.此问题中拱桥是抛物线型,故利用抛物线的有关知识解决此问题,操作步骤为(1)建系:建立适当的坐标系.(2)假设:设出合适的抛物线标准方程.(3)计算:通过计算求出抛物线的标准方程.(4)求解:求出需要求出的量.(5)还原:还原到实际问题中,从而解决实际问题.
1.设抛物线的顶点在原点,准线方程为x=-2,则抛物线的方程是A.y2=-8xB.y2=8xC.y2=-4xD.y2=4x
2.已知抛物线y=2px2过点(1,4),则抛物线的焦点坐标为
解析 由抛物线y=2px2过点(1,4),可得p=2,
4.一动圆过点(0,1)且与定直线l相切,圆心在抛物线x2=4y上,则l的方程为
解析 因为动圆过点(0,1)且与定直线l相切,所以动圆圆心到点(0,1)的距离与它到定直线l的距离相等,又因为动圆圆心在抛物线x2=4y上,且(0,1)为抛物线的焦点,所以l为抛物线的准线,所以l:y=-1.
5.若抛物线y2=-2px(p>0)上有一点M,其横坐标为-9,它到焦点的距离为10,则点M的坐标为__________________.
(-9,6)或(-9,-6)
故抛物线方程为y2=-4x.由点M(-9,y)在抛物线上,得y=±6,故点M的坐标为(-9,6)或(-9,-6).
1.知识清单:(1)抛物线的定义.(2)抛物线的标准方程的四种形式.(3)抛物线定义的应用.2.方法归纳:待定系数法、定义法、转化化归.3.常见误区:混淆抛物线的焦点位置和方程形式.
KE TANG XIAO JIE
解析 抛物线的标准方程为x2=-4y,则准线方程为y=1.
2.已知抛物线y2=2px(p>0)的准线经过点(-1,1),则该抛物线焦点坐标为A.(-1,0) B.(1,0) C.(0,-1) D.(0,1)
故焦点坐标为(1,0).故选B.
3.(多选)经过点P(4,-2)的抛物线的标准方程为A.y2=x B.y2=8xC.y2=-8x D.x2=-8y
解析 当开口向右时,设抛物线方程为y2=2p1x(p1>0),则(-2)2=8p1,
当开口向下时,设抛物线方程为x2=-2p2y(p2>0),则42=4p2,p2=4,所以抛物线方程为x2=-8y.
A.2 B.3 C.4 D.8
解析 由题意得m+1=22,解得m=3.
7.在抛物线y2=-12x上,与焦点的距离等于9的点的坐标是_____________________________.
解析 由方程y2=-12x,知焦点F(-3,0),准线l:x=3.设所求点为P(x,y),则由定义知|PF|=3-x.
8.已知抛物线C:4x+ay2=0恰好经过圆M:(x-1)2+(y-2)2=1的圆心,则抛物线C的焦点坐标为______,准线方程为________.
解析 圆M的圆心为(1,2),代入4x+ay2=0得a=-1,将抛物线C的方程化为标准方程得y2=4x,故焦点坐标为(1,0),准线方程为x=-1.
9.已知抛物线的顶点在原点,焦点在y轴上,抛物线上一点M(m,-3)到焦点的距离为5,求m的值、抛物线方程和准线方程.
解 方法一 如图所示,设抛物线的方程为x2=-2py(p>0),
即p=4.所以抛物线方程为x2=-8y,准线方程为y=2.
∵M(m,-3)在抛物线上,且|MF|=5,
10.花坛水池中央有一喷泉,水管O′P=1 m,水从喷头P喷出后呈抛物线状,先向上至最高点后落下,若最高点距水面2 m,点P距抛物线的对称轴1 m,则水池的直径至少应设计多少米?(精确到1 m)
解 如图所示,建立平面直角坐标系.设抛物线方程为x2=-2py(p>0).
故得抛物线方程为x2=-y.
即水池的直径至少应设计为5 m.
11.已知抛物线y2=4x上一点P到焦点F的距离为5,则△PFO的面积为A.1 B.2 C.3 D.4
解析 由题意,知抛物线的焦点坐标为F(1,0),准线方程为x=-1.因为抛物线y2=4x上的一点P到焦点的距离为5,由抛物线的定义可知,点P到准线x=-1的距离是5,则点P到y轴的距离是4,所以P(4,±4),
解析 设A(x1,y1),B(x2,y2),C(x3,y3),又F(1,0).
即x1+x2+x3=3,
不妨取M(1,4),又A(-1,0),则直线AM的斜率为2,
14.已知直线l1:4x-3y+6=0和直线l2:x=-1,抛物线y2=4x上一动点P到直线l1和直线l2的距离之和的最小值是____.
解析 如图所示,动点P到l2:x=-1的距离可转化为到点F的距离,由图可知,距离和的最小值,
15.对标准形式的抛物线,给出下列条件:①焦点在y轴上;②焦点在x轴上;③抛物线上横坐标为1的点到焦点的距离等于6;④由原点向过焦点的某直线作垂线,垂足坐标为(2,1).其中满足抛物线方程为y2=10x的是________.(要求填写适合条件的序号)
解析 抛物线y2=10x的焦点在x轴上,②满足,①不满足;
若由原点向该直线作垂线,垂足为(2,1)时,则k=-2,此时存在,所以④满足.
16.设P是抛物线y2=4x上的一个动点,F为抛物线的焦点.(1)若点P到直线x=-1的距离为d,A(-1,1),求|PA|+d的最小值;
解 依题意,抛物线的焦点为F(1,0),准线方程为x=-1.由抛物线的定义,知|PF|=d,于是问题转化为求|PA|+|PF|的最小值.如图,连接AF,交抛物线于点P,
高中数学第三章 圆锥曲线的方程3.3 抛物线课文配套ppt课件: 这是一份高中数学第三章 圆锥曲线的方程3.3 抛物线课文配套ppt课件,共32页。PPT课件主要包含了学习目标,情景导入,抛物线及其标准方程,抛物线定义,求轨迹方程,方法总结,课堂小结等内容,欢迎下载使用。
高中数学人教A版 (2019)选择性必修 第一册3.3 抛物线示范课课件ppt: 这是一份高中数学人教A版 (2019)选择性必修 第一册3.3 抛物线示范课课件ppt,共31页。
高中数学人教A版 (2019)选择性必修 第一册3.3 抛物线优秀课件ppt: 这是一份高中数学人教A版 (2019)选择性必修 第一册3.3 抛物线优秀课件ppt,文件包含高中数学新教材选择性必修第一册第3章§33331抛物线及其标准方程教师版docx、高中数学新教材选择性必修第一册第3章§33331抛物线及其标准方程学生版docx、高中数学新教材选择性必修第一册第3章§33331抛物线及其标准方程pptx等3份课件配套教学资源,其中PPT共0页, 欢迎下载使用。

