高中数学人教A版 (2019)必修 第一册5.5 三角恒等变换授课ppt课件
展开高中数学人教A版 (2019)必修 第一册5.5 三角恒等变换课堂教学课件ppt: 这是一份高中数学人教A版 (2019)必修 第一册5.5 三角恒等变换课堂教学课件ppt,共18页。PPT课件主要包含了圆具有旋转对称性,差角余弦公式,公式的结构特征,例2利用公式证明等内容,欢迎下载使用。
高中数学湘教版(2019)必修 第二册2.1 两角和与差的三角函数优秀课件ppt: 这是一份高中数学湘教版(2019)必修 第二册2.1 两角和与差的三角函数优秀课件ppt,共23页。PPT课件主要包含了学习目标,两角差的余弦公式,两角和的余弦公式,1给角求值,跟踪训练,2给值求值,3给值求角等内容,欢迎下载使用。
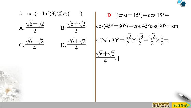
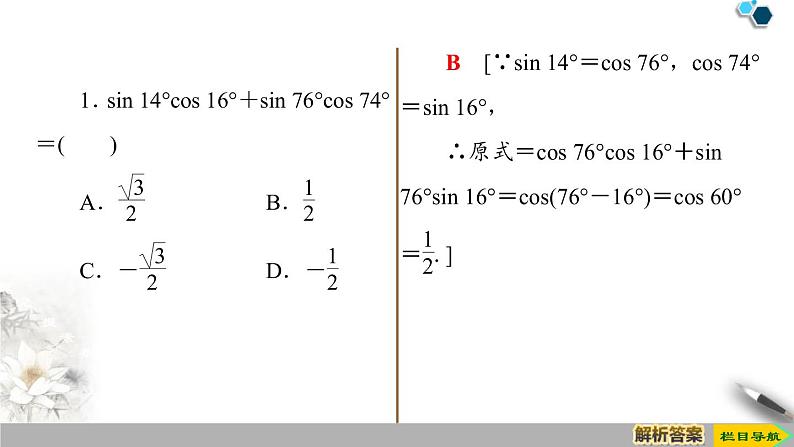
高中数学人教A版 (2019)必修 第一册第五章 三角函数5.5 三角恒等变换教学演示课件ppt: 这是一份高中数学人教A版 (2019)必修 第一册第五章 三角函数5.5 三角恒等变换教学演示课件ppt,共21页。PPT课件主要包含了新知初探·课前预习,题型探究·课堂解透,答案B,答案D等内容,欢迎下载使用。

