高中数学人教A版 (2019)必修 第一册5.5 三角恒等变换课文内容课件ppt
展开5.5.2 简单的三角恒等变换
学 习 目 标 | 核 心 素 养 |
1.能用二倍角公式导出半角公式,能用两角和与差的三角函数公式导出积化和差、和差化积公式.体会其中的三角恒等变换的基本思想方法,以及进行简单的应用.(重点) 2.了解三角恒等变换的特点、变换技巧,掌握三角恒等变换的基本思想方法,能利用三角恒等变换对三角函数式化简、求值以及三角恒等式的证明和一些简单的应用.(难点、易错点) | 1.通过公式的推导,培养逻辑推理素养. 2.借助三角恒等变换的简单应用,提升数学运算素养. |
半角公式
(1)sin=± ,
(2)cos=± ,
(3)tan=± ,
(4)tan===,
tan===.
1.已知180°<α<360°,则cos的值等于( )
A.- B.
C.- D.
C [∵180°<α<360°,∴90°<<180°,
又cos2=,∴cos α=-.]
2.已知cos α=,α∈,则sin 等于( )
A. B.- C. D.
A [由题知∈,∴sin >0,sin ==.]
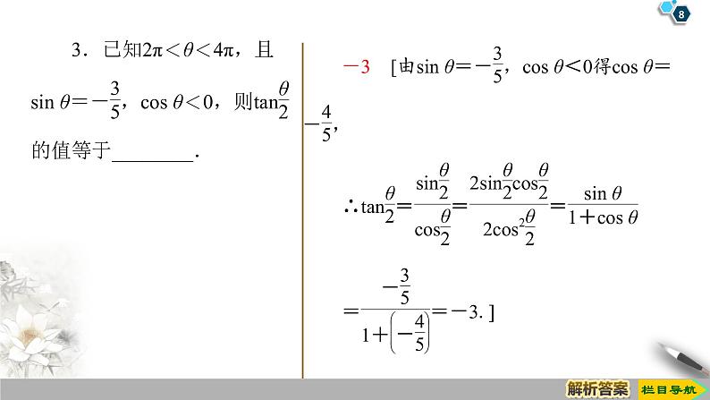
3.已知2π<θ<4π,且sin θ=-,cos θ<0,则tan的值等于________.
-3 [由sin θ=-,cos θ<0得cos θ=-,
∴tan===
==-3.]
化简求值问题
【例1】 (1)设5π<θ<6π,cos=a,则sin等于( )
A. B.
C.- D.-
(2)已知π<α<,化简:
+.
[思路点拨] (1)先确定的范围,再由sin2=得算式求值.
(2)1+cos θ=2cos2,1-cos α=2sin2,去根号,确定的范围,化简.
(1)D [∵5π<θ<6π,∴∈,∈.
又cos=a,
∴sin=-=-.]
(2)[解] 原式=
+.
∵π<α<,∴<<,∴cos<0,sin>0,
∴原式=+
=-+=-cos.
1.化简问题中的“三变”
(1)变角:三角变换时通常先寻找式子中各角之间的联系,通过拆、凑等手段消除角之间的差异,合理选择联系它们的公式.
(2)变名:观察三角函数种类的差异,尽量统一函数的名称,如统一为弦或统一为切.
(3)变式:观察式子的结构形式的差异,选择适当的变形途径,如升幂、降幂、配方、开方等.
2.利用半角公式求值的思路
(1)看角:看已知角与待求角的2倍关系.
(2)明范围:求出相应半角的范围为定符号作准备.
(3)选公式:涉及半角公式的正切值时,常用tan==,涉及半角公式的正、余弦值时,常利用sin2=,cos2=计算.
(4)下结论:结合(2)求值.
提醒:已知cos α的值可求的正弦、余弦、正切值,要注意确定其符号.
1.已知cos θ=-,且180°<θ<270°,求tan .
[解] 法一:∵180°<θ<270°,∴90°<<135°,即是第二象限角,∴tan <0,
∴tan =-=-=-2.
法二:∵180°<θ<270°,即θ是第三象限角,
∴sin θ=-=-=-,
∴tan ===-2.
三角恒等式的证明
【例2】 求证:=sin 2α.
[思路点拨] 法一:切化弦用二倍角公式由左到右证明;
法二:cos2α不变,直接用二倍角正切公式变形.
[证明] 法一:用正弦、余弦公式.
左边=
==
==sincoscos α
=sin αcos α=sin 2α=右边,
∴原式成立.
法二:用正切公式.
左边==cos2α·=cos2α·tan α=cos αsin α=sin 2α=右边,
∴原式成立.
三角恒等式证明的常用方法
1执因索果法:证明的形式一般化繁为简;
2左右归一法:证明左右两边都等于同一个式子;
3拼凑法:针对题设和结论之间的差异,有针对性地变形,以消除它们之间的差异,简言之,即化异求同;
4比较法:设法证明“左边-右边=0”或“左边/右边=1”;
5分析法:从被证明的等式出发,逐步地探求使等式成立的条件,直到已知条件或明显的事实为止,就可以断定原等式成立.
2.求证:
=.
[证明] 左边=
=
=
====右边.
所以原等式成立.
恒等变换与三角函数图象性质的综合
【例3】 已知函数f(x)=cos-2sin xcos x.
(1)求f(x)的最小正周期.
(2)求证:当x∈时,f(x)≥-.
[思路点拨] →→
→
[解](1)f(x)=cos-2sin xcos x=cos 2x+sin 2x-sin 2x=sin 2x+cos 2x=sin,所以T==π.
(2)证明:令t=2x+,因为-≤x≤,
所以-≤2x+≤,
因为y=sin t在上单调递增,在上单调递减,
所以f(x)≥sin=-,得证.
三角恒等变换与三角函数图象性质的综合问题的解题策略:运用三角函数的和、差、倍角公式将函数关系式化成y=asin ωx+bcos ωx+k的形式,借助辅助角公式化为y=Asinωx+φ+k或y=Acosωx+φ+k的形式,将ωx+φ看作一个整体研究函数的性质.
3.已知函数f(x)=sin+2sin2(x∈R).
(1)求函数f(x)的最小正周期;
(2)求使函数f(x)取得最大值的x的集合.
[解] (1)∵f(x)=sin+2sin2
=sin+1-cos
=2+1
=2sin+1
=2sin+1,∴T==π.
(2)当f(x)取得最大值时,
sin=1,
有2x-=2kπ+,即x=kπ+(k∈Z),
∴所求x的集合为.
三角函数在实际问题中的应用
[探究问题]
1.用三角函数解决实际问题时,通常选什么作为自变量?求定义域时应注意什么?
提示:通常选角作为自变量,求定义域时要注意实际意义和正弦、余弦函数有界性的影响.
2.建立三角函数模型后,通常要将函数解析式化为何种形式?
提示:化成y=Asin(ωx+φ)+b的形式.
【例4】 如图所示,要把半径为R的半圆形木料截成长方形,应怎样截取,才能使△OAB的周长最大?
[思路点拨] →→
[解] 设∠AOB=α,△OAB的周长为l,则AB=Rsin α,OB=Rcos α,
∴l=OA+AB+OB
=R+Rsin α+Rcos α
=R(sin α+cos α)+R
=Rsin+R.
∵0<α<,∴<α+<,
∴l的最大值为R+R=(+1)R,此时,α+=,即α=,
即当α=时,△OAB的周长最大.
1.在例4条件下,求长方形面积的最大值.
[解] 如图所示,设∠AOB=α,则AB=Rsin α,OA=Rcos α.
设矩形ABCD的面积为S,则S=2OA·AB,
∴S=2Rcos α·Rsin α=R2·2sin αcos α=R2sin 2α.
∵α∈,∴2α∈(0,π).
因此,当2α=,
即α=时,Smax=R2.
这时点A,D到点O的距离为R,
矩形ABCD的面积最大值为R2.
2.若例4中的木料改为圆心角为的扇形,并将此木料截成矩形,(如图所示),试求此矩形面积的最大值.
[解] 如图,作∠POQ的平分线分别交EF,GH于点M,N,连接OE,
设∠MOE=α,α∈,在
Rt△MOE中,ME=Rsin α,OM=Rcos α,
在Rt△ONH中,=tan,
得ON=NH=Rsin α,
则MN=OM-ON=R(cos α-sin α),
设矩形EFGH的面积为S,
则S=2ME·MN=2R2sin α(cos α-sin α)
=R2(sin 2α+cos 2α-)=2R2sin-R2,
由α∈,则<2α+<,
所以当2α+=,
即α=时,Smax=(2-)R2.
应用三角函数解实际问题的方法及注意事项
1方法:解答此类问题,关键是合理引入辅助角,确定各量之间的关系,将实际问题转化为三角函数问题,再利用三角函数的有关知识求解.
2注意:在求解过程中,要注意三点:①充分借助平面几何性质,寻找数量关系.②注意实际问题中变量的范围.③重视三角函数有界性的影响.
提醒:在利用三角变换解决实际问题时,常因忽视角的范围而致误.
1.学习三角恒等变换,千万不要只顾死记硬背公式,而忽视对思想方法的理解,要学会借助前面几个有限的公式来推导后继公式,立足于在公式推导过程中记忆公式和运用公式.
2.研究形如f(x)=asin x+bcos x的函数性质,都要运用辅助角公式化为一个整体角的正弦函数或余弦函数的形式.因此辅助角公式是三角函数中应用较为广泛的一个重要公式,也是高考常考的考点之一.对一些特殊的系数a、b应熟练掌握.例如sin x±cos x=sin;sin x±cos x=2sin等.
1.思考辨析
(1)cos =.( )
(2)存在α∈R,使得cos =cos α.( )
(3)对于任意α∈R,sin =sin α都不成立.( )
(4)若α是第一象限角,则tan =.( )
[提示] (1)×.只有当-+2kπ≤≤+2kπ(k∈Z),即-π+4kπ≤α≤π+4kπ(k∈Z)时,cos =.
(2)√.当cos α=-+1时,上式成立,但一般情况下不成立.
(3)×.当α=2kπ(k∈Z)时,上式成立,但一般情况下不成立.
(4)√.若α是第一象限角,则是第一、三象限角,此时tan =成立.
[答案] (1)× (2)√ (3)× (4)√
2.若f(x)=cos x-sin x在[0,a]是减函数,则a的最大值是( )
A. B. C. D.π
C [f(x)=cos x-sin x=cosx+.当x∈[0,a]时,x+∈,a+,所以结合题意可知,a+≤π,即a≤,故所求a的最大值是.故选C.]
3.函数f(x)=sin2x的最小正周期为________.
π [因为f(x)=sin2x=,
所以f(x)的最小正周期T==π.]
4.北京召开的国际数学家大会,会标是以我国古代数学家赵爽的弦图为基础设计的.弦图是由四个全等直角三角形与一个小正方形拼成一个大正方形(如图所示).如果小正方形的面积为1,大正方形的面积为25,直角三角形中较小的锐角为θ,求cos 2θ.
[解] 由题意,5cos θ-5sin θ=1,θ∈,
所以cos θ-sin θ=.
由(cos θ+sin θ)2+(cos θ-sin θ)2=2,
所以cos θ+sin θ=,
所以cos 2θ=cos2θ-sin2θ
=(cos θ+sin θ)(cos θ-sin θ)
=.
高中数学人教A版 (2019)必修 第一册5.5 三角恒等变换备课课件ppt: 这是一份高中数学人教A版 (2019)必修 第一册5.5 三角恒等变换备课课件ppt,文件包含全国百强校山东省滕州市第一中学人教版高中数学新教材必修第一册课件552简单的三角恒等变换ppt、全国百强校山东省滕州市第一中学人教版高中数学新教材必修第一册课件552简单的三角恒等变换2ppt等2份课件配套教学资源,其中PPT共33页, 欢迎下载使用。
高中数学人教A版 (2019)必修 第一册第五章 三角函数5.5 三角恒等变换评课ppt课件: 这是一份高中数学人教A版 (2019)必修 第一册第五章 三角函数5.5 三角恒等变换评课ppt课件,共24页。PPT课件主要包含了新知初探·课前预习,题型探究·课堂解透,要点一半角公式❶,-2sin2α,cos2α-1,答案A等内容,欢迎下载使用。
高中数学人教A版 (2019)必修 第一册5.5 三角恒等变换获奖ppt课件: 这是一份高中数学人教A版 (2019)必修 第一册5.5 三角恒等变换获奖ppt课件,共43页。PPT课件主要包含了内容索引,课前篇自主预习,课堂篇探究学习,课标阐释,思维脉络,激趣诱思,知识点拨,知识点一半角公式,微判断,微练习等内容,欢迎下载使用。

