高中数学人教版新课标A必修52.3 等差数列的前n项和说课ppt课件
展开这是一份高中数学人教版新课标A必修52.3 等差数列的前n项和说课ppt课件,共27页。
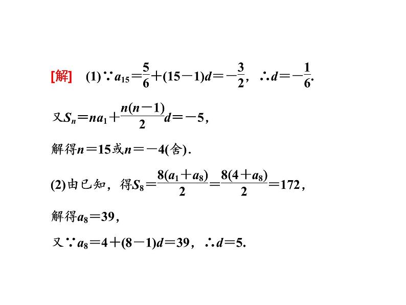
“多练提能·熟生巧”见“课时跟踪检测(九)” (单击进入电子文档)
相关课件
这是一份高中数学人教版新课标A必修5第二章 数列2.3 等差数列的前n项和课堂教学ppt课件,共11页。PPT课件主要包含了导入新课,公式的推导,na1+an,公式的应用等内容,欢迎下载使用。
这是一份必修52.3 等差数列的前n项和备课ppt课件,共48页。PPT课件主要包含了公式1,公式2,复习引入等内容,欢迎下载使用。
这是一份人教版新课标A必修52.3 等差数列的前n项和课文课件ppt,共29页。PPT课件主要包含了复习引入,等差中项,成等差数列,等差数列的性质,数列an中,“倒序相加”法,讲授新课,还可化成,讲解范例,课堂小结等内容,欢迎下载使用。

