安徽省六安市2020-2021学年高一下学期期中数学试题(word版 含答案)
展开2020~2021学年度第二学期高一期中考试数学试卷
一、选择题(每小题5分,共60分,每题只有一个正确答案)
1.( )
A. B. C. D.
2.在区间上,下列说法正确的是( )
A.是增函数,且是减函数
B.是减函数,且是增函数
C.是增函数,且是增函数
D.是减函数,且是减函数
3.已知,则( )
A. B. C. D.
4.如图,在中,是上一点,则( )
A. B. C. D.
5.在平行四边形中,,设,,则向量( )
A. B. C. D.
6.已知,且是第二象限,则( )
A. B. C. D.
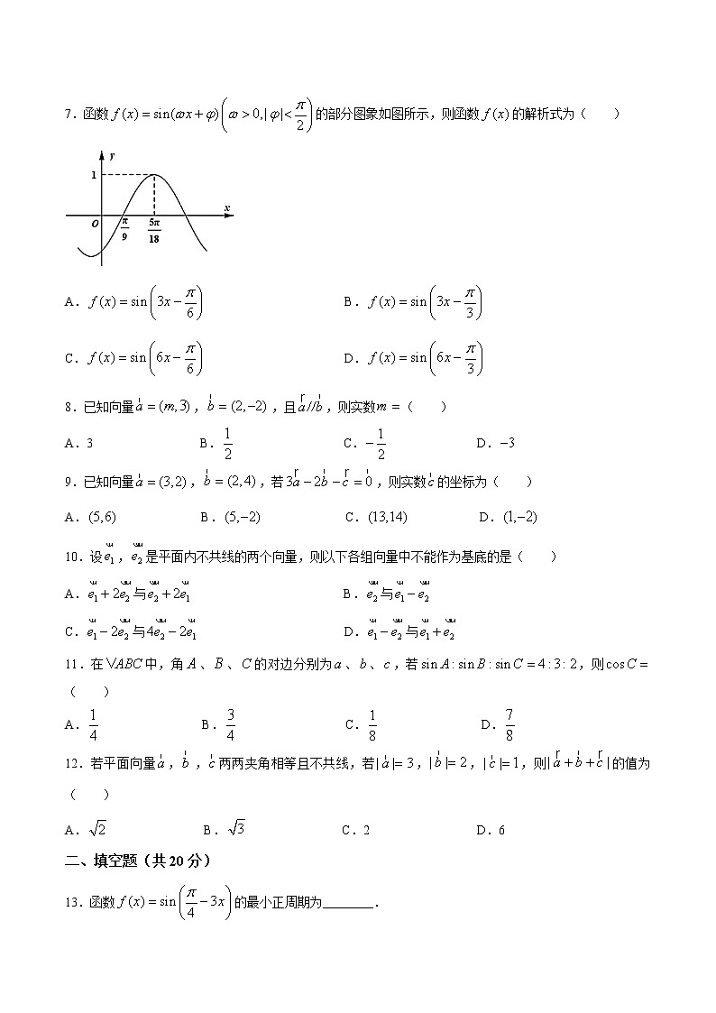
7.函数的部分图象如图所示,则函数的解析式为( )
A. B.
C. D.
8.已知向量,,且,则实数( )
A.3 B. C. D.
9.已知向量,,若,则实数的坐标为( )
A. B. C. D.
10.设,是平面内不共线的两个向量,则以下各组向量中不能作为基底的是( )
A.与 B.与
C.与 D.与
11.在中,角、、的对边分别为、、,若,则( )
A. B. C. D.
12.若平面向量,,两两夹角相等且不共线,若,,,则的值为( )
A. B. C.2 D.6
二、填空题(共20分)
13.函数的最小正周期为________.
14.的最大值是________.
15.设,是两个不共线的向量,若向量与的方向相反,则实数________.
16.设向量与的夹角为,定义与的“向量积”(又称外积):是一个向量,它的模,若,,则________.
三、解答题(共70分)
17.(本小题满分10分)
求下列各式的值.
(1);
(2).
18.(本小题满分12分)
已知,.
(1)求;
(2).
19.(本小题满分12分)
在中,分别根据下列条件解三角形:
(1),,;
(2),,.
20.(本小题满分12分)
已知,,且.求:
(1)的值;
(2)求的值
21.(本小题满分12分)
已知,,,且.
(1)求的值;
(2)求的值.
22.(本小题满分12分)
已知函数.
(1)求函数在区间上的最大值;
(2)已知,若不等式在上恒成立,求实数的取值范围.
参考答案
1~12 AADCA BBABC DB
13. 14. 15. 16.2
17.(1);(2).
18.(1);(2).
19.(1),,;(2),,.
20.略.
21.(1);(2).
22.(1);(2).
安徽省六安市一中2020-2021学年高一上学期第一次段考数学试题 Word版含答案: 这是一份安徽省六安市一中2020-2021学年高一上学期第一次段考数学试题 Word版含答案,共7页。试卷主要包含了选择题,填空题,解答题等内容,欢迎下载使用。
安徽省六安市新安中学2020-2021学年高一下学期期中考试数学试题(PDF版含答案): 这是一份安徽省六安市新安中学2020-2021学年高一下学期期中考试数学试题(PDF版含答案),共5页。
安徽省六安市第一中学2020-2021学年高一下学期开学考试数学试题 含答案: 这是一份安徽省六安市第一中学2020-2021学年高一下学期开学考试数学试题 含答案,共5页。试卷主要包含了 已知命题,或,则为, 已知,,则、 的大小关系为, 函数的图象可能是, 已知函数则函数的值域为, 若,且,则的值等于, 已知,且,则的最小值为, 0 等内容,欢迎下载使用。

