人教版新课标A选修2-3第三章 统计案例3.1回归分析的基本思想及其初步应用备课课件ppt
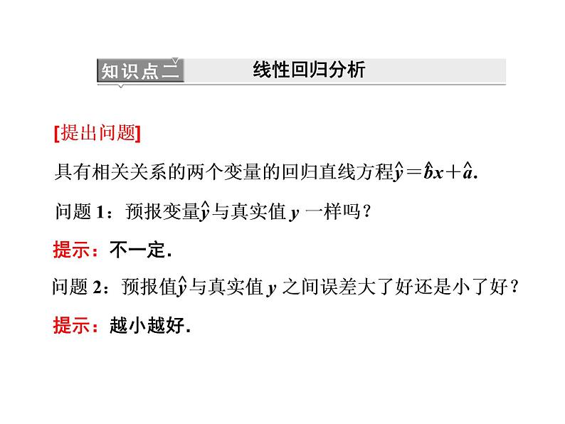
展开提示:不是.问题2:所有的两个相关变量都可以求回归方程吗?提示:可以,但拟合程度很差.
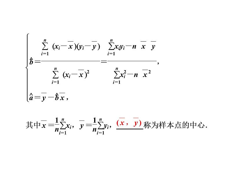
[化解疑难]
(1)试根据散点图判断变量y与x是否相关?(2)若y与x相关,求出回归直线方程.
[解析] |r|越接近于1,相关程度越高.[答案] B
解析:样本的相关系数应满足-1≤r≤1.答案:D
人教A版数学选修2-3全册课件:新课标A版数学选修2-3目录: 这是一份高中本册综合备课课件ppt,共7页。
人教A版数学选修2-3全册课件:第2部分 模块复习精要: 这是一份数学选修2-3本册综合复习课件ppt,共49页。PPT课件主要包含了排列与组合,答案B,答案C,二项式定理及应用,答案D,统计案例等内容,欢迎下载使用。
高中数学人教版新课标A选修2-33.2独立性检验的基本思想及其初步多媒体教学课件ppt: 这是一份高中数学人教版新课标A选修2-33.2独立性检验的基本思想及其初步多媒体教学课件ppt,共41页。PPT课件主要包含了提出问题,导入新知,个体所属,x1x2,y1y2,a+b+c+d,两个分,类变量有关系,独立性检验的思想,假设结论不成立等内容,欢迎下载使用。

