搜索
      上传资料 赚现金

      2020_2021学年高中数学全一册课后作业含解析打包25套北师大版选修2_2

      • 2.04 MB
      • 2021-03-25 11:20:03
      • 134
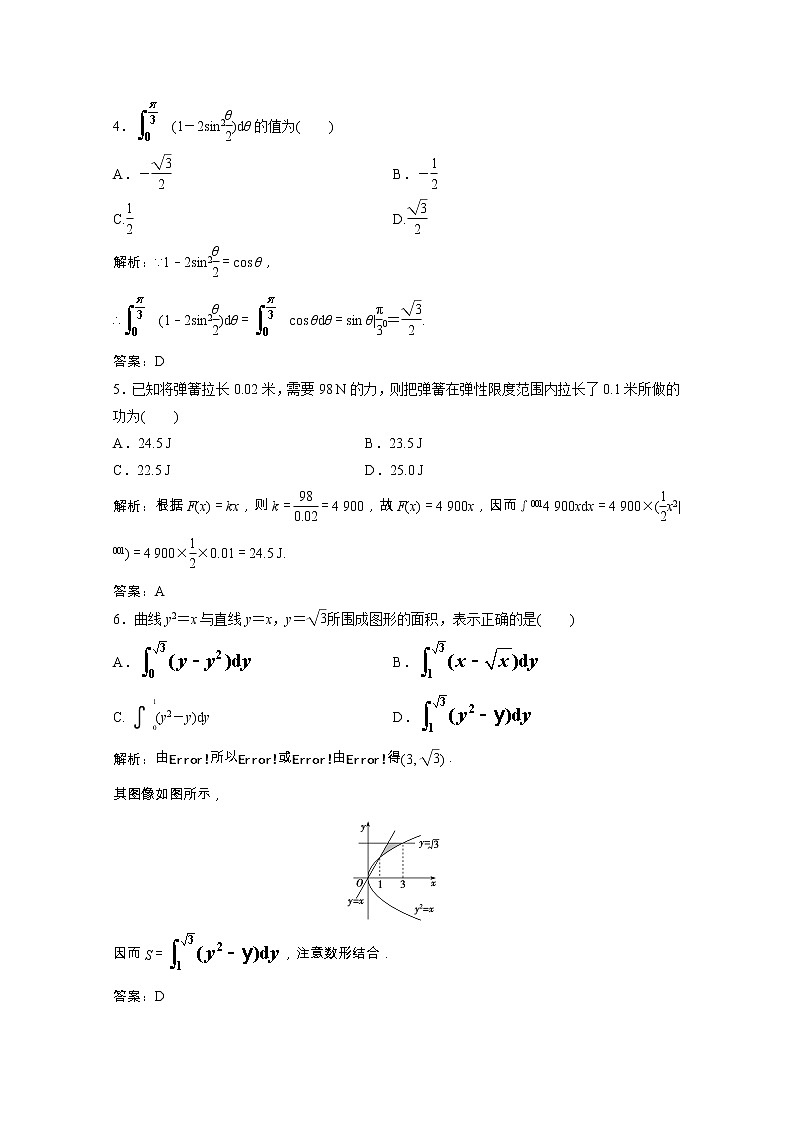
      • 0
      • 教习网会员446970
      加入资料篮
      立即下载
      压缩包含25份文件 展开
      文件列表(25份) 收起
      练习
      2020_2021学年高中数学第三章导数应用2.2最大值最小值问题课后作业含解析北师大版选修2_2202102051140.doc
      预览
      练习
      2020_2021学年高中数学第四章定积分章末检测课后作业含解析北师大版选修2_2202102051157.doc
      预览
      练习
      2020_2021学年高中数学第四章定积分2微积分基本定理课后作业含解析北师大版选修2_2202102051155.doc
      预览
      练习
      2020_2021学年高中数学第一章推理与证明章末检测课后作业含解析北师大版选修2_2202102051190.doc
      预览
      练习
      2020_2021学年高中数学综合检测课后作业含解析北师大版选修2_2202102051191.doc
      预览
      练习
      2020_2021学年高中数学第三章导数应用章末检测课后作业含解析北师大版选修2_2202102051141.doc
      预览
      练习
      2020_2021学年高中数学第二章变化率与导数2导数的概念及其几何意义课后作业含解析北师大版选修2_2202102051108.doc
      预览
      练习
      2020_2021学年高中数学第一章推理与证明2综合法与分析法课后作业含解析北师大版选修2_2202102051187.doc
      预览
      练习
      2020_2021学年高中数学第一章推理与证明4数学归纳法课后作业含解析北师大版选修2_2202102051189.doc
      预览
      练习
      2020_2021学年高中数学第三章导数应用1.1导数与函数的单调性课后作业含解析北师大版选修2_2202102051137.doc
      预览
      练习
      2020_2021学年高中数学第三章导数应用1.2函数的极值课后作业含解析北师大版选修2_2202102051138.doc
      预览
      练习
      2020_2021学年高中数学第一章推理与证明1.1归纳推理课后作业含解析北师大版选修2_2202102051185.doc
      预览
      练习
      2020_2021学年高中数学第二章变化率与导数4导数的四则运算法则课后作业含解析北师大版选修2_2202102051110.doc
      预览
      练习
      2020_2021学年高中数学第二章变化率与导数章末检测课后作业含解析北师大版选修2_2202102051112.doc
      预览
      练习
      2020_2021学年高中数学第四章定积分1定积分的概念课后作业含解析北师大版选修2_2202102051154.doc
      预览
      练习
      2020_2021学年高中数学第四章定积分3定积分的简单应用课后作业含解析北师大版选修2_2202102051156.doc
      预览
      练习
      2020_2021学年高中数学第一章推理与证明1.2类比推理课后作业含解析北师大版选修2_2202102051186.doc
      预览
      练习
      2020_2021学年高中数学第二章变化率与导数1变化的快慢与变化率课后作业含解析北师大版选修2_2202102051107.doc
      预览
      练习
      2020_2021学年高中数学第二章变化率与导数3计算导数课后作业含解析北师大版选修2_2202102051109.doc
      预览
      练习
      2020_2021学年高中数学第三章导数应用2.1实际问题中导数的意义课后作业含解析北师大版选修2_2202102051139.doc
      预览
      练习
      2020_2021学年高中数学第二章变化率与导数5简单复合函数的求导法则课后作业含解析北师大版选修2_2202102051111.doc
      预览
      练习
      2020_2021学年高中数学第五章数系的扩充与复数的引入1数系的扩充与复数的引入课后作业含解析北师大版选修2_2202102051158.doc
      预览
      练习
      2020_2021学年高中数学第五章数系的扩充与复数的引入2复数的四则运算课后作业含解析北师大版选修2_2202102051159.doc
      预览
      练习
      2020_2021学年高中数学第五章数系的扩充与复数的引入章末检测课后作业含解析北师大版选修2_2202102051160.doc
      预览
      练习
      2020_2021学年高中数学第一章推理与证明3反证法课后作业含解析北师大版选修2_2202102051188.doc
      预览
      正在预览:2020_2021学年高中数学第三章导数应用2.2最大值最小值问题课后作业含解析北师大版选修2_2202102051140.doc
      2020_2021学年高中数学第三章导数应用2.2最大值最小值问题课后作业含解析北师大版选修2_2202102051140第1页
      1/9
      2020_2021学年高中数学第三章导数应用2.2最大值最小值问题课后作业含解析北师大版选修2_2202102051140第2页
      2/9
      2020_2021学年高中数学第三章导数应用2.2最大值最小值问题课后作业含解析北师大版选修2_2202102051140第3页
      3/9
      2020_2021学年高中数学第四章定积分章末检测课后作业含解析北师大版选修2_2202102051157第1页
      1/7
      2020_2021学年高中数学第四章定积分章末检测课后作业含解析北师大版选修2_2202102051157第2页
      2/7
      2020_2021学年高中数学第四章定积分章末检测课后作业含解析北师大版选修2_2202102051157第3页
      3/7
      2020_2021学年高中数学第四章定积分2微积分基本定理课后作业含解析北师大版选修2_2202102051155第1页
      1/7
      2020_2021学年高中数学第四章定积分2微积分基本定理课后作业含解析北师大版选修2_2202102051155第2页
      2/7
      2020_2021学年高中数学第四章定积分2微积分基本定理课后作业含解析北师大版选修2_2202102051155第3页
      3/7
      2020_2021学年高中数学第一章推理与证明章末检测课后作业含解析北师大版选修2_2202102051190第1页
      1/7
      2020_2021学年高中数学第一章推理与证明章末检测课后作业含解析北师大版选修2_2202102051190第2页
      2/7
      2020_2021学年高中数学第一章推理与证明章末检测课后作业含解析北师大版选修2_2202102051190第3页
      3/7
      2020_2021学年高中数学综合检测课后作业含解析北师大版选修2_2202102051191第1页
      1/7
      2020_2021学年高中数学综合检测课后作业含解析北师大版选修2_2202102051191第2页
      2/7
      2020_2021学年高中数学综合检测课后作业含解析北师大版选修2_2202102051191第3页
      3/7
      2020_2021学年高中数学第三章导数应用章末检测课后作业含解析北师大版选修2_2202102051141第1页
      1/6
      2020_2021学年高中数学第三章导数应用章末检测课后作业含解析北师大版选修2_2202102051141第2页
      2/6
      2020_2021学年高中数学第三章导数应用章末检测课后作业含解析北师大版选修2_2202102051141第3页
      3/6
      2020_2021学年高中数学第二章变化率与导数2导数的概念及其几何意义课后作业含解析北师大版选修2_2202102051108第1页
      1/6
      2020_2021学年高中数学第二章变化率与导数2导数的概念及其几何意义课后作业含解析北师大版选修2_2202102051108第2页
      2/6
      2020_2021学年高中数学第二章变化率与导数2导数的概念及其几何意义课后作业含解析北师大版选修2_2202102051108第3页
      3/6
      2020_2021学年高中数学第一章推理与证明2综合法与分析法课后作业含解析北师大版选修2_2202102051187第1页
      1/6
      2020_2021学年高中数学第一章推理与证明2综合法与分析法课后作业含解析北师大版选修2_2202102051187第2页
      2/6
      2020_2021学年高中数学第一章推理与证明2综合法与分析法课后作业含解析北师大版选修2_2202102051187第3页
      3/6
      2020_2021学年高中数学第一章推理与证明4数学归纳法课后作业含解析北师大版选修2_2202102051189第1页
      1/6
      2020_2021学年高中数学第一章推理与证明4数学归纳法课后作业含解析北师大版选修2_2202102051189第2页
      2/6
      2020_2021学年高中数学第一章推理与证明4数学归纳法课后作业含解析北师大版选修2_2202102051189第3页
      3/6
      2020_2021学年高中数学第三章导数应用1.1导数与函数的单调性课后作业含解析北师大版选修2_2202102051137第1页
      1/6
      2020_2021学年高中数学第三章导数应用1.1导数与函数的单调性课后作业含解析北师大版选修2_2202102051137第2页
      2/6
      2020_2021学年高中数学第三章导数应用1.1导数与函数的单调性课后作业含解析北师大版选修2_2202102051137第3页
      3/6
      2020_2021学年高中数学第三章导数应用1.2函数的极值课后作业含解析北师大版选修2_2202102051138第1页
      1/6
      2020_2021学年高中数学第三章导数应用1.2函数的极值课后作业含解析北师大版选修2_2202102051138第2页
      2/6
      2020_2021学年高中数学第三章导数应用1.2函数的极值课后作业含解析北师大版选修2_2202102051138第3页
      3/6
      2020_2021学年高中数学第一章推理与证明1.1归纳推理课后作业含解析北师大版选修2_2202102051185第1页
      1/6
      2020_2021学年高中数学第一章推理与证明1.1归纳推理课后作业含解析北师大版选修2_2202102051185第2页
      2/6
      2020_2021学年高中数学第一章推理与证明1.1归纳推理课后作业含解析北师大版选修2_2202102051185第3页
      3/6
      2020_2021学年高中数学第二章变化率与导数4导数的四则运算法则课后作业含解析北师大版选修2_2202102051110第1页
      1/6
      2020_2021学年高中数学第二章变化率与导数4导数的四则运算法则课后作业含解析北师大版选修2_2202102051110第2页
      2/6
      2020_2021学年高中数学第二章变化率与导数4导数的四则运算法则课后作业含解析北师大版选修2_2202102051110第3页
      3/6
      2020_2021学年高中数学第二章变化率与导数章末检测课后作业含解析北师大版选修2_2202102051112第1页
      1/6
      2020_2021学年高中数学第二章变化率与导数章末检测课后作业含解析北师大版选修2_2202102051112第2页
      2/6
      2020_2021学年高中数学第二章变化率与导数章末检测课后作业含解析北师大版选修2_2202102051112第3页
      3/6
      2020_2021学年高中数学第四章定积分1定积分的概念课后作业含解析北师大版选修2_2202102051154第1页
      1/6
      2020_2021学年高中数学第四章定积分1定积分的概念课后作业含解析北师大版选修2_2202102051154第2页
      2/6
      2020_2021学年高中数学第四章定积分1定积分的概念课后作业含解析北师大版选修2_2202102051154第3页
      3/6
      2020_2021学年高中数学第四章定积分3定积分的简单应用课后作业含解析北师大版选修2_2202102051156第1页
      1/6
      2020_2021学年高中数学第四章定积分3定积分的简单应用课后作业含解析北师大版选修2_2202102051156第2页
      2/6
      2020_2021学年高中数学第四章定积分3定积分的简单应用课后作业含解析北师大版选修2_2202102051156第3页
      3/6
      2020_2021学年高中数学第一章推理与证明1.2类比推理课后作业含解析北师大版选修2_2202102051186第1页
      1/6
      2020_2021学年高中数学第一章推理与证明1.2类比推理课后作业含解析北师大版选修2_2202102051186第2页
      2/6
      2020_2021学年高中数学第一章推理与证明1.2类比推理课后作业含解析北师大版选修2_2202102051186第3页
      3/6
      2020_2021学年高中数学第二章变化率与导数1变化的快慢与变化率课后作业含解析北师大版选修2_2202102051107第1页
      1/5
      2020_2021学年高中数学第二章变化率与导数1变化的快慢与变化率课后作业含解析北师大版选修2_2202102051107第2页
      2/5
      2020_2021学年高中数学第二章变化率与导数3计算导数课后作业含解析北师大版选修2_2202102051109第1页
      1/5
      2020_2021学年高中数学第二章变化率与导数3计算导数课后作业含解析北师大版选修2_2202102051109第2页
      2/5
      2020_2021学年高中数学第三章导数应用2.1实际问题中导数的意义课后作业含解析北师大版选修2_2202102051139第1页
      1/5
      2020_2021学年高中数学第三章导数应用2.1实际问题中导数的意义课后作业含解析北师大版选修2_2202102051139第2页
      2/5
      2020_2021学年高中数学第二章变化率与导数5简单复合函数的求导法则课后作业含解析北师大版选修2_2202102051111第1页
      1/5
      2020_2021学年高中数学第二章变化率与导数5简单复合函数的求导法则课后作业含解析北师大版选修2_2202102051111第2页
      2/5
      2020_2021学年高中数学第五章数系的扩充与复数的引入1数系的扩充与复数的引入课后作业含解析北师大版选修2_2202102051158第1页
      1/5
      2020_2021学年高中数学第五章数系的扩充与复数的引入1数系的扩充与复数的引入课后作业含解析北师大版选修2_2202102051158第2页
      2/5
      2020_2021学年高中数学第五章数系的扩充与复数的引入2复数的四则运算课后作业含解析北师大版选修2_2202102051159第1页
      1/5
      2020_2021学年高中数学第五章数系的扩充与复数的引入2复数的四则运算课后作业含解析北师大版选修2_2202102051159第2页
      2/5
      2020_2021学年高中数学第五章数系的扩充与复数的引入章末检测课后作业含解析北师大版选修2_2202102051160第1页
      1/5
      2020_2021学年高中数学第五章数系的扩充与复数的引入章末检测课后作业含解析北师大版选修2_2202102051160第2页
      2/5
      2020_2021学年高中数学第一章推理与证明3反证法课后作业含解析北师大版选修2_2202102051188第1页
      1/4
      2020_2021学年高中数学第一章推理与证明3反证法课后作业含解析北师大版选修2_2202102051188第2页
      2/4
      还剩6页未读, 继续阅读

      2020_2021学年高中数学全一册课后作业含解析打包25套北师大版选修2_2

      展开

      这是一份2020_2021学年高中数学全一册课后作业含解析打包25套北师大版选修2_2,文件包含2020_2021学年高中数学第一章推理与证明11归纳推理课后作业含解析北师大版选修2_2202102051185doc、2020_2021学年高中数学第一章推理与证明12类比推理课后作业含解析北师大版选修2_2202102051186doc、2020_2021学年高中数学第一章推理与证明2综合法与分析法课后作业含解析北师大版选修2_2202102051187doc、2020_2021学年高中数学第一章推理与证明3反证法课后作业含解析北师大版选修2_2202102051188doc、2020_2021学年高中数学第一章推理与证明4数学归纳法课后作业含解析北师大版选修2_2202102051189doc、2020_2021学年高中数学第一章推理与证明章末检测课后作业含解析北师大版选修2_2202102051190doc、2020_2021学年高中数学第三章导数应用11导数与函数的单调性课后作业含解析北师大版选修2_2202102051137doc、2020_2021学年高中数学第三章导数应用12函数的极值课后作业含解析北师大版选修2_2202102051138doc、2020_2021学年高中数学第三章导数应用21实际问题中导数的意义课后作业含解析北师大版选修2_2202102051139doc、2020_2021学年高中数学第三章导数应用22最大值最小值问题课后作业含解析北师大版选修2_2202102051140doc、2020_2021学年高中数学第三章导数应用章末检测课后作业含解析北师大版选修2_2202102051141doc、2020_2021学年高中数学第二章变化率与导数1变化的快慢与变化率课后作业含解析北师大版选修2_2202102051107doc、2020_2021学年高中数学第二章变化率与导数2导数的概念及其几何意义课后作业含解析北师大版选修2_2202102051108doc、2020_2021学年高中数学第二章变化率与导数3计算导数课后作业含解析北师大版选修2_2202102051109doc、2020_2021学年高中数学第二章变化率与导数4导数的四则运算法则课后作业含解析北师大版选修2_2202102051110doc、2020_2021学年高中数学第二章变化率与导数5简单复合函数的求导法则课后作业含解析北师大版选修2_2202102051111doc、2020_2021学年高中数学第二章变化率与导数章末检测课后作业含解析北师大版选修2_2202102051112doc、2020_2021学年高中数学第五章数系的扩充与复数的引入1数系的扩充与复数的引入课后作业含解析北师大版选修2_2202102051158doc、2020_2021学年高中数学第五章数系的扩充与复数的引入2复数的四则运算课后作业含解析北师大版选修2_2202102051159doc、2020_2021学年高中数学第五章数系的扩充与复数的引入章末检测课后作业含解析北师大版选修2_2202102051160doc、2020_2021学年高中数学第四章定积分1定积分的概念课后作业含解析北师大版选修2_2202102051154doc、2020_2021学年高中数学第四章定积分2微积分基本定理课后作业含解析北师大版选修2_2202102051155doc、2020_2021学年高中数学第四章定积分3定积分的简单应用课后作业含解析北师大版选修2_2202102051156doc、2020_2021学年高中数学第四章定积分章末检测课后作业含解析北师大版选修2_2202102051157doc、2020_2021学年高中数学综合检测课后作业含解析北师大版选修2_2202102051191doc等25份试卷配套教学资源,其中试卷共148页, 欢迎下载使用。
      第Ⅰ卷(选择题,共40分)
      一、选择题(本大题共10小题,每小题4分,共40分,在每小题给出的四个选项中,只有一项是符合题目要求的)
      1.曲线y=eq \f(1,2)x2-2x在点(1,-eq \f(3,2))处的切线的倾斜角为( )
      A.-1 B.45°
      C.-45° D.135°
      解析:∵y′=x-2,∴k=1-2=-1,故倾斜角为135°.
      答案:D
      2.若z=eq \f(1+2i,i),则复数eq \x\t(z)=( )
      A.-2-i B.-2+i
      C.2-i D.2+i
      解析:∵z=eq \f(1+2i,i)=eq \f(1+2ii,-1)=2-i,∴eq \x\t(z)=2+i.
      答案:D
      3.已知数列{an}中,a1=1,且an+1=eq \f(an,1+an)(n≥1),则这个数列的通项公式是( )
      A.n B.eq \f(1,n)
      C.n+1 D.eq \f(1,n+1)
      解析:由a1=1,an+1=eq \f(an,1+an)(n≥1)得
      a2=eq \f(a1,1+a1)=eq \f(1,2),a3=eq \f(a2,1+a2)=eq \f(1,3),
      a4=eq \f(a3,1+a3)=eq \f(1,4),则归纳出an=eq \f(1,n).
      答案:B
      4.若i为虚数单位,图中复平面内点Z表示复数z,则表示复数eq \f(z,1+i) 的点是( )
      A.E B.F
      C.G D.H
      解析:依题意得z=3+i,
      eq \f(z,1+i)=eq \f(3+i,1+i)=eq \f(3+i1-i,1+i1-i)=eq \f(4-2i,2)=2-i,
      该复数对应的点的坐标是(2,-1).
      答案:D
      5.如图,抛物线y=-x2+2x+1与直线y=1相交形成一个闭合图形(图中的阴影部分),则该闭合图形的面积是( )
      A.1 B.eq \f(4,3)
      C.eq \r(3) D.2
      解析:由eq \b\lc\{\rc\ (\a\vs4\al\c1(y=1,,y=-x2+2x+1,))知eq \b\lc\{\rc\ (\a\vs4\al\c1(x=0,y=1))或eq \b\lc\{\rc\ (\a\vs4\al\c1(x=2,,y=1.))
      故所求面积S=eq \i\in(0,2,)(-x2+2x+1)dx-eq \i\in(0,2,)1dx
      =(-eq \f(1,3)x3+x2+x)|eq \\al(2,0)-x|eq \\al(2,0)=eq \f(4,3).
      答案:B
      6.若m,n是正整数,则m+n>mn成立的充要条件是( )
      A.m,n都等于1 B.m,n都不等于2
      C.m,n都大于1 D.m,n至少有一个等于1
      解析:因为m、n∈N+,所以m+n>mn成立时,只有m、n都为1或m,n中一个为1,综合以上两种情况,答案选D.
      答案:D
      7.函数f(x)=x3+ax2+3x-9,已知f(x)在x=-3时取得极值,则a等于( )
      A.2 B.3
      C.4 D.5
      解析:f′(x)=3x2+2ax+3.因为f(x)在x=-3时取得极值,则f′(-3)=30-6a=0,得a=5.
      答案:D
      8.已知f(z-1)=z2+eq \f(1+2i,z),则f(i7)等于( )
      A.1-i B.eq \f(1,2)-eq \f(1,2)i
      C.-eq \f(1,2)-eq \f(1,2)i D.-eq \f(1,2)+eq \f(1,2)i
      解析:令i7=-i=z-1,∴z=1-i.
      ∴z2+eq \f(1+2i,z)=(1-i)2+eq \f(1+2i,1-i)=eq \f(-1-i,2)=-eq \f(1,2)-eq \f(1,2)i.
      答案:C
      9.已知数列{an}的通项公式为an=eq \f(1,n+12),n∈N+,记f(n)=(1-a1)(1-a2)(1-a3)…(1-an),通过计算f(1),f(2),f(3),f(4)的值,由此猜想f(n)等于( )
      A.eq \f(n+2,2n+1) B.eq \f(n+2,4n)
      C.eq \f(2n-1,n+12) D.eq \f(n+1,nn+1)
      解析:∵a1=eq \f(1,4),a2=eq \f(1,9),a3=eq \f(1,16),a4=eq \f(1,25),
      ∴f(1)=1-eq \f(1,4)=eq \f(3,4);
      f(2)=(1-eq \f(1,4))(1-eq \f(1,9))=eq \f(2,3)=eq \f(4,6);
      f(3)=eq \f(2,3)×eq \f(15,16)=eq \f(5,8);
      f(4)=eq \f(5,8)×eq \f(24,25)=eq \f(3,5)=eq \f(6,10).
      ∴可猜想:f(n)=eq \f(n+2,2n+1).
      答案:A
      10.已知f(a)=eq \i\in(0,1,)(2ax2-a2x)dx,则f(a)的最大值是( )
      A.eq \f(2,3) B.eq \f(2,9)
      C.eq \f(4,3) D.eq \f(4,9)
      解析:f(a)=(eq \f(2a,3)x3-eq \f(1,2)a2x2)|eq \\al(1,0)=eq \f(2a,3)-eq \f(a2,2)=-eq \f(1,2)a2+eq \f(2a,3)=-eq \f(1,2)(a2-eq \f(4a,3))=-eq \f(1,2)[(a-eq \f(2,3))2-eq \f(4,9)]=-eq \f(1,2)(a-eq \f(2,3))2+eq \f(2,9).
      答案:B
      第Ⅱ卷(非选择题,共60分)
      二、填空题(本大题共4小题,每小题4分,共16分,把答案填在题中横线上)
      11.已知复数z对应的点在第二象限,它的模是3,实部是-eq \r(5),则eq \(z,\s\up6(-))=________.
      解析:设z=-eq \r(5)+bi(b∈R且b>0),
      则|z|= eq \r(5+b2)=3,解得b=2,
      ∴z=-eq \r(5)+2i.∴eq \(z,\s\up6(-))=-eq \r(5)-2i.
      答案:-eq \r(5)-2i
      12.以下是面点师一个工作环节的数学模型:如图,在数轴上截取与闭区间[0,1]对应的线段,对折后(坐标1所对应的点与原点重合)再均匀地拉成1个单位长度的线段,这一过程称为一次操作(例如在第一次操作完成后,原来的坐标eq \f(1,4)、eq \f(3,4)变成eq \f(1,2),原坐标eq \f(1,2)变成1,等等),那么原闭区间[0,1]上(除两个端点外)的点,在第二次操作完成后,恰好被拉到与1重合的点所对应的坐标是________.
      解析:第一次操作完成后原坐标eq \f(1,4)、eq \f(3,4)的点变成eq \f(1,2),原坐标eq \f(1,2)变成1,在第二次操作完成后,原坐标eq \f(1,4)、eq \f(3,4)变成1,所以与1重合的点所对应的坐标为eq \f(1,4)、eq \f(3,4).
      答案:eq \f(1,4)、eq \f(3,4)
      13.若函数f(x)=eq \f(4x,x2+1)在区间(m,2m+1)上是增函数,则实数m的取值范围是________.
      解析:f′(x)=eq \f(4x2+1-2x×4x,x2+12)=eq \f(4x2-8x2+4,x2+12)=eq \f(-4x2+4,x2+12),
      由f′(x)>0,所以x20不成立,则a≤0,分两种情况证明.
      当a0,∴bc0,∴b+c>-a>0,∴a(b+c)0.
      同理可得,b>0,c>0.
      故a,b,c都大于0.
      17.(12分)在数列{an}中,a1=eq \f(1,3),且前n项的算术平均数等于第n项的2n-1倍(n∈N+).
      (1)写出此数列的前5项;
      (2)归纳猜想{an}的通项公式,并加以证明.
      解析:(1)由已知a1=eq \f(1,3),
      eq \f(a1+a2+a3+…+an,n)=(2n-1)an,
      分别取n=2,3,4,5,得
      a2=eq \f(1,5)a1=eq \f(1,3×5)=eq \f(1,15),
      a3=eq \f(1,14)(a1+a2)=eq \f(1,5×7)=eq \f(1,35),
      a4=eq \f(1,27)(a1+a2+a3)=eq \f(1,7×9)=eq \f(1,63),
      a5=eq \f(1,44)(a1+a2+a3+a4)=eq \f(1,9×11)=eq \f(1,99),
      所以数列的前5项是a1=eq \f(1,3),a2=eq \f(1,15),a3=eq \f(1,35),a4=eq \f(1,63),a5=eq \f(1,99).
      (2)由(1)中的分析可以猜想an=eq \f(1,2n-12n+1).
      下面用数学归纳法证明:
      ①当n=1时,猜想显然成立.
      ②假设当n=k(k≥1)时猜想成立,即
      ak=eq \f(1,2k-12k+1).
      那么由已知,得
      eq \f(a1+a2+a3+…+ak+ak+1,k+1)=(2k+1)ak+1,
      即a1+a2+a3+…+ak=(2k2+3k)ak+1,
      所以(2k2-k)ak=(2k2+3k)ak+1,
      即(2k-1)ak=(2k+3)ak+1.
      又由归纳假设,得
      (2k-1)eq \f(1,2k-12k+1)=(2k+3)ak+1,
      所以ak+1=eq \f(1,2k+12k+3),
      即当n=k+1时,公式也成立.
      由①和②知,对一切n∈N+,都有an=eq \f(1,2n-12n+1)成立.
      18.(12分)已知点M为曲线y=eq \f(1,3)x6上一点,直线l满足:(1)过点M;(2)与点M处的曲线的切线垂直;(3)在y轴上的截距最小.试求点M的坐标.
      解析:设M(t,u),则u=eq \f(1,3)t6,∵y′=2x5,∴y′|x=t=2t5,
      依题意,得直线l的斜率k=-eq \f(1,2t5)(t≠0),
      ∴直线l的方程为y-u=-eq \f(1,2t5)(x-t).
      令x=0,得直线l在y轴上的截距b=f(t)=u+eq \f(1,2t4)
      =eq \f(1,3)t6+eq \f(1,2t4)(t≠0),
      ∴f′(t)=2t5-eq \f(2,t5)=2(eq \f(t10-1,t5)).
      令f′(t)=0,得t=±1,
      当t变化时,f′(t)及f(t)的变化情况如下表:
      ∴当t=±1时,f(t)有极小值,又∵f(1)=f(-1)=eq \f(5,6),
      ∴当t=±1时,b有最小值eq \f(5,6),此时u=eq \f(1,3),
      ∴M点的坐标为(±1,eq \f(1,3)).BSDt
      (-∞,-1)
      -1
      (-1,0)
      0
      (0,1)
      1
      (1,+∞)
      f′(t)

      0


      0

      f(t)
      极小值


      极小值

      相关试卷

      2020_2021学年高中数学全一册课后作业含解析打包25套北师大版选修2_2:

      这是一份2020_2021学年高中数学全一册课后作业含解析打包25套北师大版选修2_2,文件包含2020_2021学年高中数学第一章推理与证明11归纳推理课后作业含解析北师大版选修2_2202102051185doc、2020_2021学年高中数学第一章推理与证明12类比推理课后作业含解析北师大版选修2_2202102051186doc、2020_2021学年高中数学第一章推理与证明2综合法与分析法课后作业含解析北师大版选修2_2202102051187doc、2020_2021学年高中数学第一章推理与证明3反证法课后作业含解析北师大版选修2_2202102051188doc、2020_2021学年高中数学第一章推理与证明4数学归纳法课后作业含解析北师大版选修2_2202102051189doc、2020_2021学年高中数学第一章推理与证明章末检测课后作业含解析北师大版选修2_2202102051190doc、2020_2021学年高中数学第三章导数应用11导数与函数的单调性课后作业含解析北师大版选修2_2202102051137doc、2020_2021学年高中数学第三章导数应用12函数的极值课后作业含解析北师大版选修2_2202102051138doc、2020_2021学年高中数学第三章导数应用21实际问题中导数的意义课后作业含解析北师大版选修2_2202102051139doc、2020_2021学年高中数学第三章导数应用22最大值最小值问题课后作业含解析北师大版选修2_2202102051140doc、2020_2021学年高中数学第三章导数应用章末检测课后作业含解析北师大版选修2_2202102051141doc、2020_2021学年高中数学第二章变化率与导数1变化的快慢与变化率课后作业含解析北师大版选修2_2202102051107doc、2020_2021学年高中数学第二章变化率与导数2导数的概念及其几何意义课后作业含解析北师大版选修2_2202102051108doc、2020_2021学年高中数学第二章变化率与导数3计算导数课后作业含解析北师大版选修2_2202102051109doc、2020_2021学年高中数学第二章变化率与导数4导数的四则运算法则课后作业含解析北师大版选修2_2202102051110doc、2020_2021学年高中数学第二章变化率与导数5简单复合函数的求导法则课后作业含解析北师大版选修2_2202102051111doc、2020_2021学年高中数学第二章变化率与导数章末检测课后作业含解析北师大版选修2_2202102051112doc、2020_2021学年高中数学第五章数系的扩充与复数的引入1数系的扩充与复数的引入课后作业含解析北师大版选修2_2202102051158doc、2020_2021学年高中数学第五章数系的扩充与复数的引入2复数的四则运算课后作业含解析北师大版选修2_2202102051159doc、2020_2021学年高中数学第五章数系的扩充与复数的引入章末检测课后作业含解析北师大版选修2_2202102051160doc、2020_2021学年高中数学第四章定积分1定积分的概念课后作业含解析北师大版选修2_2202102051154doc、2020_2021学年高中数学第四章定积分2微积分基本定理课后作业含解析北师大版选修2_2202102051155doc、2020_2021学年高中数学第四章定积分3定积分的简单应用课后作业含解析北师大版选修2_2202102051156doc、2020_2021学年高中数学第四章定积分章末检测课后作业含解析北师大版选修2_2202102051157doc、2020_2021学年高中数学综合检测课后作业含解析北师大版选修2_2202102051191doc等25份试卷配套教学资源,其中试卷共148页, 欢迎下载使用。

      高中数学北师大版 (2019)必修 第一册4.1 一元二次函数巩固练习:

      这是一份高中数学北师大版 (2019)必修 第一册4.1 一元二次函数巩固练习,共4页。试卷主要包含了选择题,填空题,解答题等内容,欢迎下载使用。

      2021学年1.2 集合的基本关系当堂检测题:

      这是一份2021学年1.2 集合的基本关系当堂检测题,共4页。试卷主要包含了选择题,填空题,解答题等内容,欢迎下载使用。

      资料下载及使用帮助
      版权申诉
      • 1.电子资料成功下载后不支持退换,如发现资料有内容错误问题请联系客服,如若属实,我们会补偿您的损失
      • 2.压缩包下载后请先用软件解压,再使用对应软件打开;软件版本较低时请及时更新
      • 3.资料下载成功后可在60天以内免费重复下载
      版权申诉
      若您为此资料的原创作者,认为该资料内容侵犯了您的知识产权,请扫码添加我们的相关工作人员,我们尽可能的保护您的合法权益。
      入驻教习网,可获得资源免费推广曝光,还可获得多重现金奖励,申请 精品资源制作, 工作室入驻。
      版权申诉二维码
      欢迎来到教习网
      • 900万优选资源,让备课更轻松
      • 600万优选试题,支持自由组卷
      • 高质量可编辑,日均更新2000+
      • 百万教师选择,专业更值得信赖
      微信扫码注册
      手机号注册
      手机号码

      手机号格式错误

      手机验证码 获取验证码 获取验证码

      手机验证码已经成功发送,5分钟内有效

      设置密码

      6-20个字符,数字、字母或符号

      注册即视为同意教习网「注册协议」「隐私条款」
      QQ注册
      手机号注册
      微信注册

      注册成功

      返回
      顶部
      学业水平 高考一轮 高考二轮 高考真题 精选专题 初中月考 教师福利
      添加客服微信 获取1对1服务
      微信扫描添加客服
      Baidu
      map