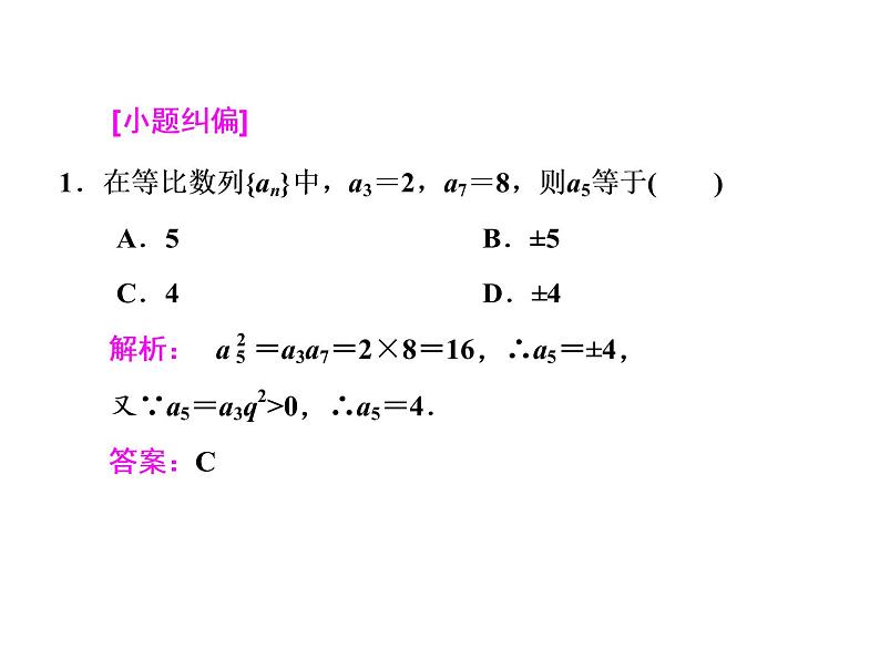
2021高考数学(文)大一轮复习课件 第五章 数列 第三节 等比数列及其前n项和
展开高考数学(文数)一轮复习课件 第五章 数列 第三节 等比数列及其前n项和(含详解): 这是一份高考数学(文数)一轮复习课件 第五章 数列 第三节 等比数列及其前n项和(含详解)
高考数学一轮复习第五章数列5.3等比数列及其前n项和课件文: 这是一份高考数学一轮复习第五章数列5.3等比数列及其前n项和课件文,共34页。
高考数学一轮复习第五章数列第3讲等比数列及其前n项和课件: 这是一份高考数学一轮复习第五章数列第3讲等比数列及其前n项和课件,共56页。PPT课件主要包含了知识梳理双基自测,a1qn-1,amqn-m,na1,错位相减法,考点突破互动探究,或-16,〔变式训练1〕,〔变式训练2〕,名师讲坛素养提升等内容,欢迎下载使用。

