还剩27页未读,
继续阅读
成套系列资料,整套一键下载
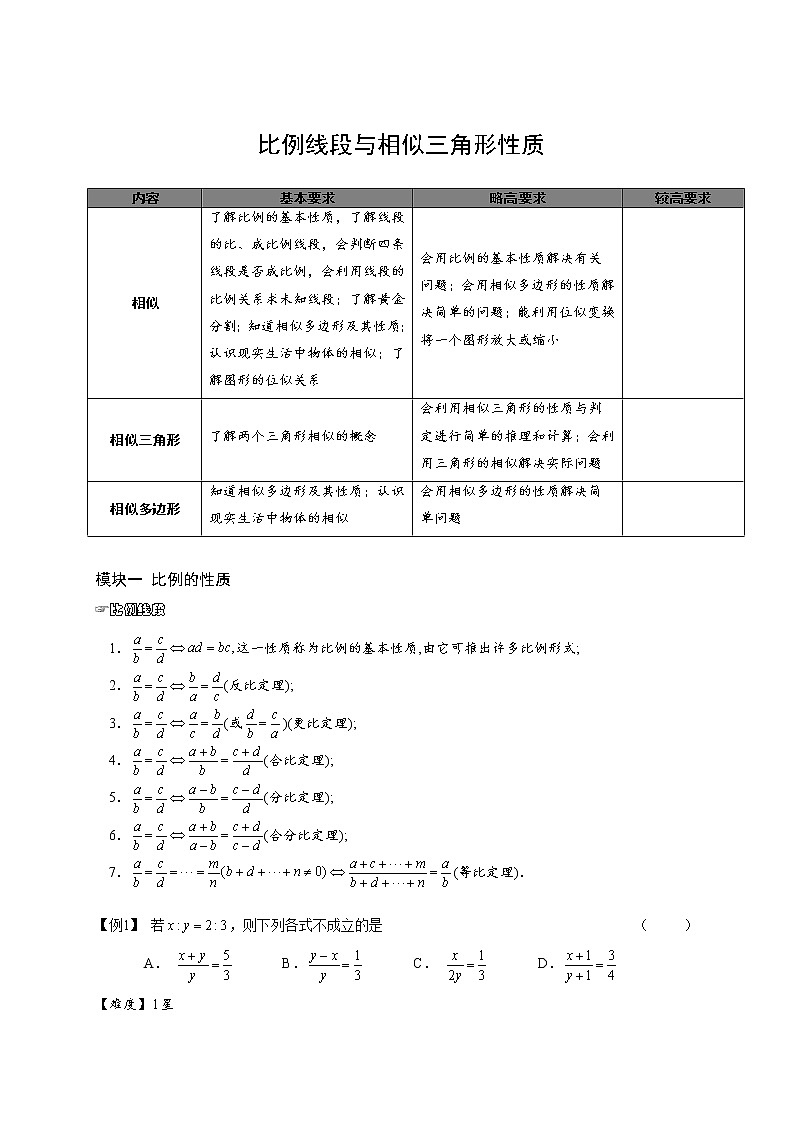
【精品讲义】人教版 九年级下册寒假同步课程(培优版)4比例与相似的性质.教师版
展开
比例线段与相似三角形性质
内容
基本要求
略高要求
较高要求
相似
了解比例的基本性质,了解线段的比、成比例线段,会判断四条线段是否成比例,会利用线段的比例关系求未知线段;了解黄金分割;知道相似多边形及其性质;认识现实生活中物体的相似;了解图形的位似关系
会用比例的基本性质解决有关问题;会用相似多边形的性质解决简单的问题;能利用位似变换将一个图形放大或缩小
相似三角形
了解两个三角形相似的概念
会利用相似三角形的性质与判定进行简单的推理和计算;会利用三角形的相似解决实际问题
相似多边形
知道相似多边形及其性质;认识现实生活中物体的相似
会用相似多边形的性质解决简单问题
模块一 比例的性质
☞比例线段
1.这一性质称为比例的基本性质,由它可推出许多比例形式;
2.(反比定理);
3.(或)(更比定理);
4.(合比定理);
5.(分比定理);
6.(合分比定理);
7.(等比定理).
【例1】 若,则下列各式不成立的是 ( )
A. B. C. D.
【难度】星
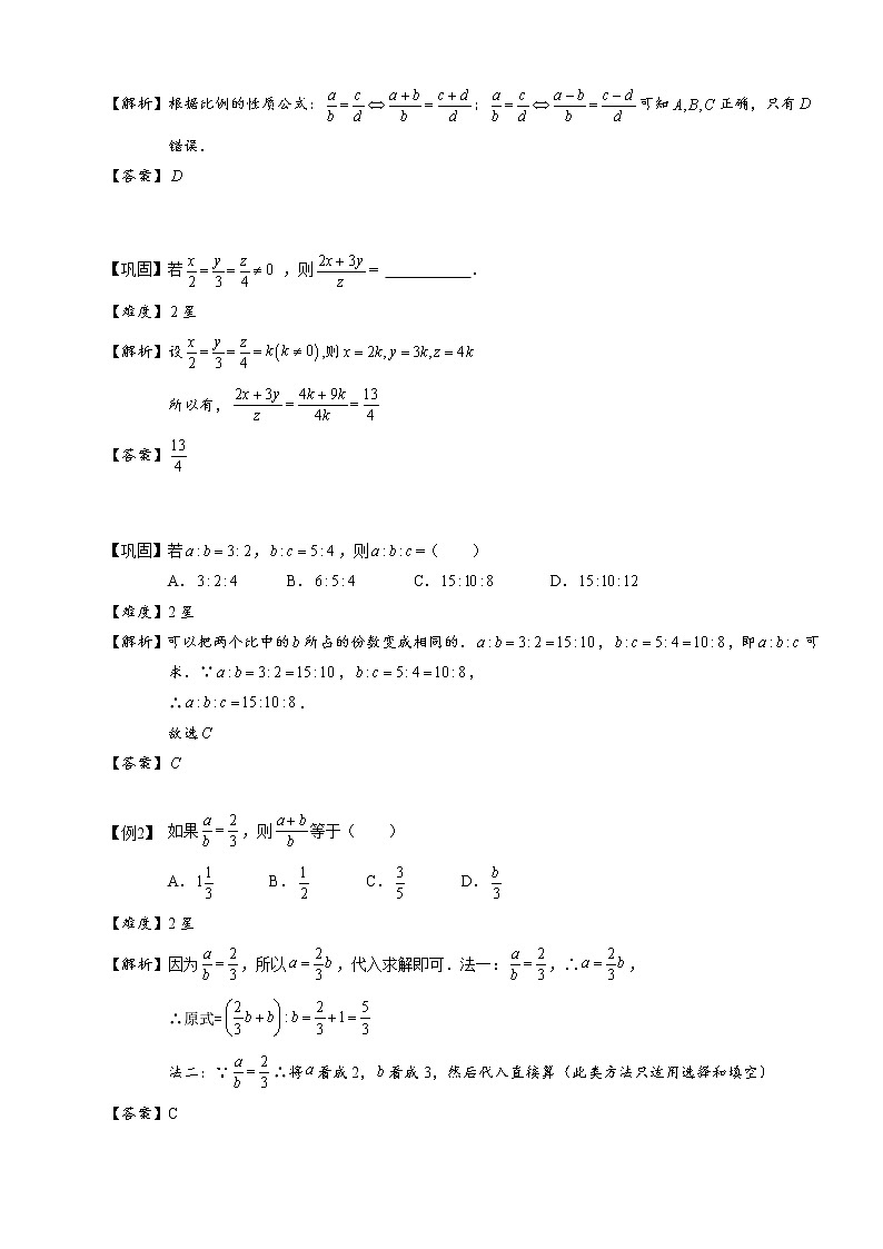
【解析】根据比例的性质公式:;可知正确,只有错误.
【答案】
【巩固】若 ,则= .
【难度】星
【解析】设,则
所以有,
【答案】
【巩固】若,,则=( )
A. B. C. D.
【难度】2星
【解析】可以把两个比中的所占的份数变成相同的.,,即可求.∵,,
∴.
故选
【答案】
【例2】 如果,则等于( )
A. B. C. D.
【难度】2星
【解析】因为,所以,代入求解即可.法一:,∴,
∴原式=
法二:∵∴将看成2,看成3,然后代入直接算(此类方法只适用选择和填空)
【答案】C
【巩固】如果,那么等于( )
A. B. C. D.
【难度】2星
【解析】根据题意比例的合比性质,即可得出结果.
由题意, ,
∴
故选
【答案】
【拓展】若,则等于( )
A. B. C. D.
【难度】2星
【解析】设,那么,,然后代入所求的代数式即可求出结果.
设,
∴,,
∴.
【答案】B
【拓展】已知,且,则 =( )
A. B. C. D.
【难度】2星
【解析】根据比例的等比性质直接即可得解.
∵,
∴,
∴
【答案】
【例3】 若,则的值为( )
A. B. C.或 D.不存在
【难度】2星
【解析】根据比例的等比性质计算即可得出结果,注意条件的限制.
分情况进行:当时,根据等比性质,得;
当时,则,,
【答案】
【巩固】已知一张地图的比例尺是,若、两地的实际距离为,则画在地图上的距离是 .
【难度】星
【解析】根据公式:∵比例尺图上距离∶实际距离,设图上距离为
∴有
【答案】
【巩固】已知,则直线一定经过( )
A., B., C., D.,
【难度】2星
【解析】分情况讨论:
当时,根据比例的等比性质,得:,此时直线为,直线一定经过,,象限.
当时,即,则,此时直线为,即直线必过,,象限.
综合两种情况,则直线必过第,象限.
【答案】
【拓展】若,则一次函数的图象必定经过的象限是( )
A.第一、二象限 B.第一、二、三象限
C.第二、三、四象限 D.第三、四象限
【难度】2星
【解析】先根据等式求出的值,从而得到一次函数的解析式,再根据一次函数的性质分析经过的象限即可.(注意有两种情况).
【答案】由已知得;;,三式相加得:,
①当时,;
②当时,,.
∴一次函数为或
∵过第一、二、四象限;
过第一、二、三象限;
∴一次函数的图象必定经过的象限是第一、二象限.
故选
【拓展】某校每位学生上、下学期各选择一个社团,下表为该校学生上、下学期各社团的人数比例.若该校上、下学期的学生人数不变,相较于上学期,下学期各社团的学生人数变化,下列叙述何者正确?( )
舞蹈社
溜冰社
魔術社
上学期
下学期
A.舞蹈社不变,溜冰社减少
B.舞蹈社不变,溜冰社不变
C.舞蹈社增加,溜冰社减少
D.舞蹈社增加,溜冰社不变
【难度】2星
【解析】若甲∶乙∶丙,则甲占全部的,乙占全部的,丙占全部的.
【答案】由表得知上、下学期各社团人数占全部人数的比例如下:
舞蹈社
溜冰社
魔术社
上学期
下学期
∴舞蹈社增加,溜冰社不变.
故选
☞黄金分割点
如图,若线段上一点把线段分成两条线段和(),且使是和的比例中项(即)则称线段被点黄金分割,点叫线段的黄金分割点.
设,则,即有一元二次方程,根据公式法解得:
,因为,所以有,即, ,与的比叫做黄金比.
【例4】 如图所示,在黄金分割矩形中,分出一个正方形,求.
【难度】1星
【解析】∵,∴.
.
∵,
∴.
【答案】
【巩固】为平行四边形的边延长线上的一点,且为的黄金分割点,即,交于.已知,求的长.
【难度】星
【解析】∵
∴
又∵
∴,
∴
∴
【答案】
模块二 平行线分线段成比例定理
平行于三角形的一边,并且和其他两边相交的直线,所截得的三角形的三边与原三角形的三边对应成比例.
如图,,则.若将称为上,称为下,称为全,上述比例式可以形象地表示为.
当三条平行线退化成两条的情形时,就成了“”字型,“”字型.则有.
【例5】 如图,小明站在处看甲、乙两楼顶上的点和点三点在同一直线上,点分别在点的正下方,且三点在同一直线上,相距米,相距米,乙楼高米,则甲楼的高为(小明身高忽略不计) ( )
A.米 B. 米
C. 米 D. 米
【难度】星
【解析】 ∴
【答案】
【巩固】如图,在中,,,,.
(1)求的值;
(2)求的长.
【难度】星
【解析】∵,,,
∴
∴
∴
【答案】;
【例8】如图,在的边上任取两点和,过点作的平行线交于点,过点作 的平行线交于点,求证:.
【难度】星
【解析】略
【答案】∵
∴
又由得
∴即
【巩固】如图, 中,,有一内接正方形,连接交于, ,,求.
【难度】星
【解析】略
【答案】设正方形的边长为,则
∵
∴
解得
又在中 有,
∴
【巩固】如图,,且,若,求的长.
【难度】星
【解析】略
【答案】
又
【例5】如图,在平行四边形中,,,是上的任一点,过点作,与平行四边形的两条边分别交于点、,设,,则能反映与之间关系的图象是( )
A. B. C. D.
【难度】2星
【解析】根据平行四边形的性质得到,根据平行线分线段成比例定理得到和,代入求出与的关系式,根据函数的图象特点即可选出答案.
【答案】设交于,
∵四边形是平行四边形,
∴,当在上时,
∵,∴ ,∴,∴,
当在上时,
同法可得:,∴,∴,
∵两种情况都是一次函数,图象是直线.故选
【例6】 如图,已知梯形中,,对角线、分别交中位线于点、,且,那么等于 .
【难度】2星
【解析】∵根据平行线分线段成比例定理可得:、分别是和的中位线.
那么,.
∴
【答案】1∶3
【巩固】已知线段、,求作线段,使,正确的作法是( )
A. B.
C. D.
【难度】2星
【解析】对题中给出的等式进行变形,先作出已知线段、和,再根据平行线分线段成比例定理作出平行线,被截得的线段即为所求线段.
【答案】由题意, ∴,
∵线段没法先作出, ∴B选项错误,
根据平行线分线段成比例定理,只有符合.
故选
【拓展】在中,底边上的两点、把三等分,是上的中线,、分别交 于、两点,求证:.
【难度】5星
【解析】略
【答案】如图,过点作,交的延长线于,易证,;
同样得,可得,
设,,,则,,
由平行线分线段成比例定理可知:
;
,
∴,,
∴,
即
模块三 相似三角形的性质
☞对应角
相似三角形对应角相等
【例9】已知,是⊙O的直径,且是圆上一点,小聪透过平举的放大镜从正上方看到水平桌面上的三角形图案的(如图所示),那么下列关于与放大镜中的关系描述正确的是( )
【难度】星
【解析】略
【答案】∵是直径,
∴是直角,
∴,
用放大镜观察图形,镜中的图形与原图形相似,所以在镜中看的角大小没有改变,
∴.
故选
【巩固】如图,若,试找出图中所有的对应角、对应边,并用式子表示.
【难度】星
【解析】略
【答案】,,,
☞对应边
相似三角形对应边成比例
【例10】三角形三边之比为,与它相似的三角形最长边是,另两边之各是 ( )
A.15cm B. 18cm C. 21cm D. 24cm
【难度】3星
【解析】最长边为的三角形三边比例为
∵可设最长边为
∴另外两边和 故选
【答案】
【巩固】的三边长分别为、、,的两边长分别为和,若与 相似,则的第三条边长 .
【难度】星
【解析】∵的两边、与的两边1、对应成比例,即
∴的第三边长为.
【答案】
【拓展】已知的三边长分别为20、50、60,现要利用长度分别为30和60的细木条各一根,做一个三角形木架与相似,要求以其中一根为边,将另一根截成两段(允许有余料)作为另外两边,那么另外两边的长度(单位:)分别为多少?
【难度】星
【解析】根据相似三角形对应边成比例的性质.
首先,以60为一边时,另一端30需要结成两段,构成不了三角形.
其次,以30为一边时,对应着的三边,可以有相似比,,.当相似比为 时,其他两段需要用料,不符合题意.当相似比为时,其他两段长度分别为和,可以.当相似比为时,其他两段长度分别为和,可以截取.
【答案】和或者和.
☞中线、高线、角平分线
相似三角形的对应中线、高线、角平分线的比等于相似比
【例7】 如图与相似,是中边上的中线,是中边上的中线,试证明:(为相似比).
【难度】星
【解析】略
【答案】∵
∴
又∵是中边上的中线,是中边上的中线
∴
【巩固】已知与相似且对应中线的比为,则与的周长比为( ).
【难度】1星
【解析】由于相似三角形的对应中线和周长的比都等于相似比,由此可求出两三角形的周长比.
【答案】∵与相似且对应中线的比为,
∴它们的相似比为;
故与的周长比为
【巩固】若两个相似三角形的相似比是,则这两个三角形对应中线的比是( ).
【难度】1星
【解析】根据相似多边形的性质,对应边之比相等可得.
【答案】相似三角形对应中线的比等于相似比,因而对应中线的比是
【例8】 如图与相似,是中边上的高线,是中边上的高线,求证:(为相似比).
【难度】星
【解析】略
【答案】∵
∴,即有
又∵,
∴
【巩固】两个相似三角形的面积比与它们对应高之比之间的关系为 .
【难度】1星
【解析】利用两个相似三角形的面积比等于相似比的平方,对应高的比等于相似比即可求解.
【答案】∵,
∴
【巩固】如果两个相似三角形对应高的比为,那么这两个相似三角形的相似比为( ).
【难度】1星
【解析】相似三角形的一切对应线段(包括对应高)的比等于相似比,由此可求得这两相似三角形的相似比.
【答案】∵两个相似三角形对应高的比为,
∴它们的相似比为
【例9】 如图与相似,是中的角平分线,是中的角平分线,则有(为相似比).
【难度】星
【解析】略
【答案】∵
∴
又∵是中的角平分线,是中的角平分线
∴
∴
∴
∴
【巩固】两个相似三角形对应高之比为,那么它们对应中线之比为( )
A. B. C. D.
【难度】
【解析】两个相似三角形的相似比等于对应高的比,也等于对应中线的比.
【答案】∵两个相似三角形对应高之比为;
∴两个相似三角形的相似比为;
∴它们对应中线之比为.
故本选
☞周长比 、面积比
相似三角形的周长比等于相似比,面积比等于相似比的平方
【例10】 如图1,与相似,则有(为相似比).应用比例的等比性质有.
图1
如图2,与相似,是中边上的高线,是中边上的高线,则有(为相似比).进而可得.
图2
【例11】 若,它们的面积比为,则的相似比为( )
A. B. C. D.
【答案】1星
【解析】由与它们的面积比为,根据相似三角形面积的比等于相似比的平方,即可求得与的相似比.
【答案】∵,它们的面积比为,
∴△ABC与△DEF的相似比为.
故选
【例12】 已知,它们的相似比是,的周长为,则的周长为( ).
【难度】1星
【解析】利用相似三角形的周长的比等于相似比列式求解.
【答案】∵的周长:的周长,的周长为;
∴的周长
【巩固】若两个相似三角形的面积之比为,则它们的周长之比为( )
A. B. C. D.
【难度】1星
【解析】略.
【答案】∵两个相似三角形的面积之比;
∴它们的相似比为;
∴它们的周长之比为
故选
【例13】 已知,且,则的面积与的面积之比为( )
A. B. C. D.
【难度】1星
【解析】利用相似三角形的面积比等于相似比的平方即可求.
【答案】∵,且相似比为;
∴其面积之比为;故选
【例14】 在和中,,,.如果的周长是,面积是,那么的周长、面积依次是 .
【难度】星
【解析】根据周长比等于相似比,面积比是相似比的平方.
【答案】;
【巩固】如图,已知分别是的边上的一点,,且,那么等于( )
A. B. C. D.
【难度】星
【解析】∵∴∴=
【答案】
【拓展】如图,在中,.若、、的面积分别为、、,则的面积为 .
【难度】星
【解析】由三角形的面积,可知,所以,即,
根据,所以.
【答案】
☞三角形相似的综合
【例15】 一张等腰三角形纸片,底边长,底边上的高的长为.现沿底边依交从下往上裁剪宽度均为的矩形纸条,如图所示.已知剪得的纸条中有一张是正方形,则这张正方形纸条是( )
A.第4张 B.第5张 C.第6张 D.第7张
【难度】星
【解析】如图,作于点,交第张纸条于点,则,∴ 即,解得
【答案】 .
【巩固】如图所示,路边有两根电线杆,其中,,用铁丝将两杆固定,求铁丝与铁丝的交点处距离地面的高度.
【难度】星
【解析】由两步相似倒出边与边之间的比例关系.
∵ ∴ ①
②
①+②:
∴
【答案】
【拓展】 如图,在中,为边的中点,为边上的任意一点,交于点.
(1)当时,求的值;
(2)当时,求的值;
(3)试猜想时的值,并证明你的猜想.
【难度】星
【解析】(1)当时,;
(2)当时,;
当时,.
(3)当时,,
证明方法比较多,选择两种介绍:
如上右图,过点作,交于点.
∵, ∴
∵ ∴,
∵ ∴
另一种解法就是梅氏定理,看被直线所截可知
,而,,故.
【答案】(1);(2)当时,;当时,(3)当时,
模块四 位似
位似图形:两个多边形不仅相似,而且对应顶点的连线相较于一点,对应边互相平行,像这样的两个图形叫做位似图形,这个点叫做位似中心.
位似变换的坐标:在平面直角坐标系中,如果位似变换是以原点为位似中心,相似比为,那么位似图形对应点的坐标的比等于或.
位似的性质:
(1)位似图形上任意一对对应点到位似中心的距离之比等于相似比.
(2)位似图形的对应线段的比等于相似比.
(3)位似图形的周长比等于相似比.
(4)位似图形的面积比等于相似比的平方.
【例16】 如图,下列各组图形中是位似图形的为 ( )
(1) (2) (3) (4)
A.(1)(2)(3)(4) B.(2)(4) C.(1)(2)(4) D.(1)(2)(3)
【难度】星
【解析】根据位似图形的定义:位似图形是指两个多边形不仅相似,而且对应顶点的连线相较于一点,对应边互相平行的两个图形,对应点连线的交点叫做位似中心.将每一个图形的对应点连接起来,看是否交于一点,这样排除,其次判断符合条件的图形是否是相似图形.所以答案选.
【答案】
【巩固】如图,小“鱼”与大“鱼”是位似图形,已知小“鱼”上一个“顶点”的坐标为,那么大“鱼”上对应“顶点”的坐标为 ( )
A. B.
C. D.
【难度】星
【解析】解此题运用的方法就是找特殊点.由图中可见,每个小正方形的边长为1,可推知小“鱼”较长的鳍的顶点坐标为,则位似图形中的对应点的坐标为,小“鱼”较短的鳍的顶点坐标为,则位似图形中的对应点的坐标为,由此可知,当某小“鱼”上某个“顶点”坐标为时,位似图形中的对应点的坐标为.
【答案】
【巩固】如图,正五边形是由正五边形经过位似变换得到的,,则下列结论正确的理 ( )
A. B.
C. D.
【难度】星
【解析】由两图形位似,有.
【答案】
【巩固】判断满足下列关系的与是否是位似图形,如果是,请指出位似中心.
(1)如图1所示,相交于点,且;
(2)如图2所示,相交于点,且.
【难度】星
【解析】根据位似图形的定义:两个多边形不仅相似,而且对应顶点的连线相交于一点,对应边互相平行,像这样的两个图形叫做位似图形,这个点叫做位似中心.
【答案】(1)与是位似图形,位似中心为点;
(2)与是位似图形,位似中心为点.
【例17】 七边形位似于七边形,它们的面积之比为,已知位似中心到点的距离为,那么到的距离为多少?
【难度】星
【解析】由面积比为,得位似七边形对应边的比为,所以位似比为,所以到的距离为.
【答案】
【巩固】如图,与是位似图形,点、、、、共线,点为位似中心.
(1)与平行吗?试说明理由;
(2)若,,求的长.
【难度】星
【解析】(1)由位似图形的性质
(2)∵两三角形是位似三角形
∴
又,所以,∴,
【答案】平行;
【拓展】如图,在平面直角形坐标系中,正方形都是由正方形经过位似变换得到的,点是位似中心.
(1)你能找出正方形以为位似中心,相似比是的位似图形吗?
(2)正方形是正方形的位似图形吗?如果是,求相似比;
(3)由正方形得到它的位似图形正方形,求相似比;
(4)我们把横坐标、纵坐标都为整数的点称为整点,观察图中每个正方形四条边上的整点个数.猜测:正方形以为位似中心,相似比为的位似图形的四条边上整点个数之和是多少?
【难度】星
【解析】(4)正方形四条边上整数点的个数为4,正方形四条边上整数点的个数为8,正方形四条边上整数点的个数为12,根据数学归纳法可推知,正方形四条边上整数点的个数为个,所以正方形四条边上整数点的个数为.
【答案】正方形;是,;;.
课堂检测
1. 已知:.求.
【难度】星
【解析】设,代入中得原式
【答案】
2. 如图所示,乐器上的一根弦,两个端点固定在乐器面板上,支撑点是靠近点的黄金分割点(即是与的比例中项),支撑点是靠近点的黄金分割点,则 , .
【难度】星
【解析】点是靠近点的黄金分割点,∴,即,又∵点是靠近点的黄金分割点,∴,∴
【答案】;
3. 如图,在中,为边的中点,为边上的任意一点,交于点.
(1)当时,求的值;
(2)当时,求的值;
(3)试猜想时的值,并证明你的猜想.
【难度】星
【解析】(1)当时,;
(2)当时,;
当时,.
(3)当时,,
证明方法比较多,选择两种介绍:
如上右图,过点作,交于点.
∵, ∴
∵ ∴,
∵ ∴
另一种解法就是梅氏定理,看被直线所截可知
,而,,故.
【答案】(1);(2)当时,;当时,;(3)当时,
总结复习
1.通过本堂课你学会了 .
2.掌握的不太好的部分 .
3.老师点评:① .
② .
③ .
课后作业
1. 已知:,求证:是的比例中项.
【难度】星
【解析】略
【答案】讲解此题时.老师可先引导学生回顾比例中项的定义:如果,那么是、的比例中项.由,
而
故是的比例中项.
2. 已知:,则 .
【难度】星
【解析】当时,由等比性质得;当时,即,则,综上所述,的值为或.
【答案】或
3. 已知,求的值.
【难度】星
【解析】解法一:设,则.∴.
解法二:由得.∴.
【答案】
4. 如图,在中,是的中点,是上一点,且,连接并延长,交的延长线于,则__ ___ __.
【难度】星
【解析】先介绍常规的解法:
如图,过点作或的平行线均可,不妨以左图为例来说明.
过点作,交于点.
∵, ∴
∵∴
∵∴
当然,过点、点作适当的平行线,均可作出此题,这里不再给出.
以上这些解法均属于常规解法,下面介绍特殊的解法:
看为直线所截,由梅涅劳斯定理可知,
又,,故
上述图形是一个经典的梅氏定理的基本图形,解类似的题时,梅氏定理的运用能够带来立竿见影的效果,很快得出答案,梅氏定理的证明见变式,先讲变式再介绍本解法.
【答案】
5.用一个倍的放大镜去观察一个三角形,下列说法中正确的是( )
①三角形的每个角都扩大倍; ②三角形的每条边都扩大倍;
③三角形的面积扩大倍; ④三角形的周长扩大倍.
.①② .①③ .②④ .②③
【难度】1星
【解析】略
【答案】①三角形的每个角不会变化,故错误;
②三角形的每条边都扩大倍,故正确
③三角形的面积会扩大倍,故错误;
④三角形的周长会扩大倍,故正确.
故选
内容
基本要求
略高要求
较高要求
相似
了解比例的基本性质,了解线段的比、成比例线段,会判断四条线段是否成比例,会利用线段的比例关系求未知线段;了解黄金分割;知道相似多边形及其性质;认识现实生活中物体的相似;了解图形的位似关系
会用比例的基本性质解决有关问题;会用相似多边形的性质解决简单的问题;能利用位似变换将一个图形放大或缩小
相似三角形
了解两个三角形相似的概念
会利用相似三角形的性质与判定进行简单的推理和计算;会利用三角形的相似解决实际问题
相似多边形
知道相似多边形及其性质;认识现实生活中物体的相似
会用相似多边形的性质解决简单问题
模块一 比例的性质
☞比例线段
1.这一性质称为比例的基本性质,由它可推出许多比例形式;
2.(反比定理);
3.(或)(更比定理);
4.(合比定理);
5.(分比定理);
6.(合分比定理);
7.(等比定理).
【例1】 若,则下列各式不成立的是 ( )
A. B. C. D.
【难度】星
【解析】根据比例的性质公式:;可知正确,只有错误.
【答案】
【巩固】若 ,则= .
【难度】星
【解析】设,则
所以有,
【答案】
【巩固】若,,则=( )
A. B. C. D.
【难度】2星
【解析】可以把两个比中的所占的份数变成相同的.,,即可求.∵,,
∴.
故选
【答案】
【例2】 如果,则等于( )
A. B. C. D.
【难度】2星
【解析】因为,所以,代入求解即可.法一:,∴,
∴原式=
法二:∵∴将看成2,看成3,然后代入直接算(此类方法只适用选择和填空)
【答案】C
【巩固】如果,那么等于( )
A. B. C. D.
【难度】2星
【解析】根据题意比例的合比性质,即可得出结果.
由题意, ,
∴
故选
【答案】
【拓展】若,则等于( )
A. B. C. D.
【难度】2星
【解析】设,那么,,然后代入所求的代数式即可求出结果.
设,
∴,,
∴.
【答案】B
【拓展】已知,且,则 =( )
A. B. C. D.
【难度】2星
【解析】根据比例的等比性质直接即可得解.
∵,
∴,
∴
【答案】
【例3】 若,则的值为( )
A. B. C.或 D.不存在
【难度】2星
【解析】根据比例的等比性质计算即可得出结果,注意条件的限制.
分情况进行:当时,根据等比性质,得;
当时,则,,
【答案】
【巩固】已知一张地图的比例尺是,若、两地的实际距离为,则画在地图上的距离是 .
【难度】星
【解析】根据公式:∵比例尺图上距离∶实际距离,设图上距离为
∴有
【答案】
【巩固】已知,则直线一定经过( )
A., B., C., D.,
【难度】2星
【解析】分情况讨论:
当时,根据比例的等比性质,得:,此时直线为,直线一定经过,,象限.
当时,即,则,此时直线为,即直线必过,,象限.
综合两种情况,则直线必过第,象限.
【答案】
【拓展】若,则一次函数的图象必定经过的象限是( )
A.第一、二象限 B.第一、二、三象限
C.第二、三、四象限 D.第三、四象限
【难度】2星
【解析】先根据等式求出的值,从而得到一次函数的解析式,再根据一次函数的性质分析经过的象限即可.(注意有两种情况).
【答案】由已知得;;,三式相加得:,
①当时,;
②当时,,.
∴一次函数为或
∵过第一、二、四象限;
过第一、二、三象限;
∴一次函数的图象必定经过的象限是第一、二象限.
故选
【拓展】某校每位学生上、下学期各选择一个社团,下表为该校学生上、下学期各社团的人数比例.若该校上、下学期的学生人数不变,相较于上学期,下学期各社团的学生人数变化,下列叙述何者正确?( )
舞蹈社
溜冰社
魔術社
上学期
下学期
A.舞蹈社不变,溜冰社减少
B.舞蹈社不变,溜冰社不变
C.舞蹈社增加,溜冰社减少
D.舞蹈社增加,溜冰社不变
【难度】2星
【解析】若甲∶乙∶丙,则甲占全部的,乙占全部的,丙占全部的.
【答案】由表得知上、下学期各社团人数占全部人数的比例如下:
舞蹈社
溜冰社
魔术社
上学期
下学期
∴舞蹈社增加,溜冰社不变.
故选
☞黄金分割点
如图,若线段上一点把线段分成两条线段和(),且使是和的比例中项(即)则称线段被点黄金分割,点叫线段的黄金分割点.
设,则,即有一元二次方程,根据公式法解得:
,因为,所以有,即, ,与的比叫做黄金比.
【例4】 如图所示,在黄金分割矩形中,分出一个正方形,求.
【难度】1星
【解析】∵,∴.
.
∵,
∴.
【答案】
【巩固】为平行四边形的边延长线上的一点,且为的黄金分割点,即,交于.已知,求的长.
【难度】星
【解析】∵
∴
又∵
∴,
∴
∴
【答案】
模块二 平行线分线段成比例定理
平行于三角形的一边,并且和其他两边相交的直线,所截得的三角形的三边与原三角形的三边对应成比例.
如图,,则.若将称为上,称为下,称为全,上述比例式可以形象地表示为.
当三条平行线退化成两条的情形时,就成了“”字型,“”字型.则有.
【例5】 如图,小明站在处看甲、乙两楼顶上的点和点三点在同一直线上,点分别在点的正下方,且三点在同一直线上,相距米,相距米,乙楼高米,则甲楼的高为(小明身高忽略不计) ( )
A.米 B. 米
C. 米 D. 米
【难度】星
【解析】 ∴
【答案】
【巩固】如图,在中,,,,.
(1)求的值;
(2)求的长.
【难度】星
【解析】∵,,,
∴
∴
∴
【答案】;
【例8】如图,在的边上任取两点和,过点作的平行线交于点,过点作 的平行线交于点,求证:.
【难度】星
【解析】略
【答案】∵
∴
又由得
∴即
【巩固】如图, 中,,有一内接正方形,连接交于, ,,求.
【难度】星
【解析】略
【答案】设正方形的边长为,则
∵
∴
解得
又在中 有,
∴
【巩固】如图,,且,若,求的长.
【难度】星
【解析】略
【答案】
又
【例5】如图,在平行四边形中,,,是上的任一点,过点作,与平行四边形的两条边分别交于点、,设,,则能反映与之间关系的图象是( )
A. B. C. D.
【难度】2星
【解析】根据平行四边形的性质得到,根据平行线分线段成比例定理得到和,代入求出与的关系式,根据函数的图象特点即可选出答案.
【答案】设交于,
∵四边形是平行四边形,
∴,当在上时,
∵,∴ ,∴,∴,
当在上时,
同法可得:,∴,∴,
∵两种情况都是一次函数,图象是直线.故选
【例6】 如图,已知梯形中,,对角线、分别交中位线于点、,且,那么等于 .
【难度】2星
【解析】∵根据平行线分线段成比例定理可得:、分别是和的中位线.
那么,.
∴
【答案】1∶3
【巩固】已知线段、,求作线段,使,正确的作法是( )
A. B.
C. D.
【难度】2星
【解析】对题中给出的等式进行变形,先作出已知线段、和,再根据平行线分线段成比例定理作出平行线,被截得的线段即为所求线段.
【答案】由题意, ∴,
∵线段没法先作出, ∴B选项错误,
根据平行线分线段成比例定理,只有符合.
故选
【拓展】在中,底边上的两点、把三等分,是上的中线,、分别交 于、两点,求证:.
【难度】5星
【解析】略
【答案】如图,过点作,交的延长线于,易证,;
同样得,可得,
设,,,则,,
由平行线分线段成比例定理可知:
;
,
∴,,
∴,
即
模块三 相似三角形的性质
☞对应角
相似三角形对应角相等
【例9】已知,是⊙O的直径,且是圆上一点,小聪透过平举的放大镜从正上方看到水平桌面上的三角形图案的(如图所示),那么下列关于与放大镜中的关系描述正确的是( )
【难度】星
【解析】略
【答案】∵是直径,
∴是直角,
∴,
用放大镜观察图形,镜中的图形与原图形相似,所以在镜中看的角大小没有改变,
∴.
故选
【巩固】如图,若,试找出图中所有的对应角、对应边,并用式子表示.
【难度】星
【解析】略
【答案】,,,
☞对应边
相似三角形对应边成比例
【例10】三角形三边之比为,与它相似的三角形最长边是,另两边之各是 ( )
A.15cm B. 18cm C. 21cm D. 24cm
【难度】3星
【解析】最长边为的三角形三边比例为
∵可设最长边为
∴另外两边和 故选
【答案】
【巩固】的三边长分别为、、,的两边长分别为和,若与 相似,则的第三条边长 .
【难度】星
【解析】∵的两边、与的两边1、对应成比例,即
∴的第三边长为.
【答案】
【拓展】已知的三边长分别为20、50、60,现要利用长度分别为30和60的细木条各一根,做一个三角形木架与相似,要求以其中一根为边,将另一根截成两段(允许有余料)作为另外两边,那么另外两边的长度(单位:)分别为多少?
【难度】星
【解析】根据相似三角形对应边成比例的性质.
首先,以60为一边时,另一端30需要结成两段,构成不了三角形.
其次,以30为一边时,对应着的三边,可以有相似比,,.当相似比为 时,其他两段需要用料,不符合题意.当相似比为时,其他两段长度分别为和,可以.当相似比为时,其他两段长度分别为和,可以截取.
【答案】和或者和.
☞中线、高线、角平分线
相似三角形的对应中线、高线、角平分线的比等于相似比
【例7】 如图与相似,是中边上的中线,是中边上的中线,试证明:(为相似比).
【难度】星
【解析】略
【答案】∵
∴
又∵是中边上的中线,是中边上的中线
∴
【巩固】已知与相似且对应中线的比为,则与的周长比为( ).
【难度】1星
【解析】由于相似三角形的对应中线和周长的比都等于相似比,由此可求出两三角形的周长比.
【答案】∵与相似且对应中线的比为,
∴它们的相似比为;
故与的周长比为
【巩固】若两个相似三角形的相似比是,则这两个三角形对应中线的比是( ).
【难度】1星
【解析】根据相似多边形的性质,对应边之比相等可得.
【答案】相似三角形对应中线的比等于相似比,因而对应中线的比是
【例8】 如图与相似,是中边上的高线,是中边上的高线,求证:(为相似比).
【难度】星
【解析】略
【答案】∵
∴,即有
又∵,
∴
【巩固】两个相似三角形的面积比与它们对应高之比之间的关系为 .
【难度】1星
【解析】利用两个相似三角形的面积比等于相似比的平方,对应高的比等于相似比即可求解.
【答案】∵,
∴
【巩固】如果两个相似三角形对应高的比为,那么这两个相似三角形的相似比为( ).
【难度】1星
【解析】相似三角形的一切对应线段(包括对应高)的比等于相似比,由此可求得这两相似三角形的相似比.
【答案】∵两个相似三角形对应高的比为,
∴它们的相似比为
【例9】 如图与相似,是中的角平分线,是中的角平分线,则有(为相似比).
【难度】星
【解析】略
【答案】∵
∴
又∵是中的角平分线,是中的角平分线
∴
∴
∴
∴
【巩固】两个相似三角形对应高之比为,那么它们对应中线之比为( )
A. B. C. D.
【难度】
【解析】两个相似三角形的相似比等于对应高的比,也等于对应中线的比.
【答案】∵两个相似三角形对应高之比为;
∴两个相似三角形的相似比为;
∴它们对应中线之比为.
故本选
☞周长比 、面积比
相似三角形的周长比等于相似比,面积比等于相似比的平方
【例10】 如图1,与相似,则有(为相似比).应用比例的等比性质有.
图1
如图2,与相似,是中边上的高线,是中边上的高线,则有(为相似比).进而可得.
图2
【例11】 若,它们的面积比为,则的相似比为( )
A. B. C. D.
【答案】1星
【解析】由与它们的面积比为,根据相似三角形面积的比等于相似比的平方,即可求得与的相似比.
【答案】∵,它们的面积比为,
∴△ABC与△DEF的相似比为.
故选
【例12】 已知,它们的相似比是,的周长为,则的周长为( ).
【难度】1星
【解析】利用相似三角形的周长的比等于相似比列式求解.
【答案】∵的周长:的周长,的周长为;
∴的周长
【巩固】若两个相似三角形的面积之比为,则它们的周长之比为( )
A. B. C. D.
【难度】1星
【解析】略.
【答案】∵两个相似三角形的面积之比;
∴它们的相似比为;
∴它们的周长之比为
故选
【例13】 已知,且,则的面积与的面积之比为( )
A. B. C. D.
【难度】1星
【解析】利用相似三角形的面积比等于相似比的平方即可求.
【答案】∵,且相似比为;
∴其面积之比为;故选
【例14】 在和中,,,.如果的周长是,面积是,那么的周长、面积依次是 .
【难度】星
【解析】根据周长比等于相似比,面积比是相似比的平方.
【答案】;
【巩固】如图,已知分别是的边上的一点,,且,那么等于( )
A. B. C. D.
【难度】星
【解析】∵∴∴=
【答案】
【拓展】如图,在中,.若、、的面积分别为、、,则的面积为 .
【难度】星
【解析】由三角形的面积,可知,所以,即,
根据,所以.
【答案】
☞三角形相似的综合
【例15】 一张等腰三角形纸片,底边长,底边上的高的长为.现沿底边依交从下往上裁剪宽度均为的矩形纸条,如图所示.已知剪得的纸条中有一张是正方形,则这张正方形纸条是( )
A.第4张 B.第5张 C.第6张 D.第7张
【难度】星
【解析】如图,作于点,交第张纸条于点,则,∴ 即,解得
【答案】 .
【巩固】如图所示,路边有两根电线杆,其中,,用铁丝将两杆固定,求铁丝与铁丝的交点处距离地面的高度.
【难度】星
【解析】由两步相似倒出边与边之间的比例关系.
∵ ∴ ①
②
①+②:
∴
【答案】
【拓展】 如图,在中,为边的中点,为边上的任意一点,交于点.
(1)当时,求的值;
(2)当时,求的值;
(3)试猜想时的值,并证明你的猜想.
【难度】星
【解析】(1)当时,;
(2)当时,;
当时,.
(3)当时,,
证明方法比较多,选择两种介绍:
如上右图,过点作,交于点.
∵, ∴
∵ ∴,
∵ ∴
另一种解法就是梅氏定理,看被直线所截可知
,而,,故.
【答案】(1);(2)当时,;当时,(3)当时,
模块四 位似
位似图形:两个多边形不仅相似,而且对应顶点的连线相较于一点,对应边互相平行,像这样的两个图形叫做位似图形,这个点叫做位似中心.
位似变换的坐标:在平面直角坐标系中,如果位似变换是以原点为位似中心,相似比为,那么位似图形对应点的坐标的比等于或.
位似的性质:
(1)位似图形上任意一对对应点到位似中心的距离之比等于相似比.
(2)位似图形的对应线段的比等于相似比.
(3)位似图形的周长比等于相似比.
(4)位似图形的面积比等于相似比的平方.
【例16】 如图,下列各组图形中是位似图形的为 ( )
(1) (2) (3) (4)
A.(1)(2)(3)(4) B.(2)(4) C.(1)(2)(4) D.(1)(2)(3)
【难度】星
【解析】根据位似图形的定义:位似图形是指两个多边形不仅相似,而且对应顶点的连线相较于一点,对应边互相平行的两个图形,对应点连线的交点叫做位似中心.将每一个图形的对应点连接起来,看是否交于一点,这样排除,其次判断符合条件的图形是否是相似图形.所以答案选.
【答案】
【巩固】如图,小“鱼”与大“鱼”是位似图形,已知小“鱼”上一个“顶点”的坐标为,那么大“鱼”上对应“顶点”的坐标为 ( )
A. B.
C. D.
【难度】星
【解析】解此题运用的方法就是找特殊点.由图中可见,每个小正方形的边长为1,可推知小“鱼”较长的鳍的顶点坐标为,则位似图形中的对应点的坐标为,小“鱼”较短的鳍的顶点坐标为,则位似图形中的对应点的坐标为,由此可知,当某小“鱼”上某个“顶点”坐标为时,位似图形中的对应点的坐标为.
【答案】
【巩固】如图,正五边形是由正五边形经过位似变换得到的,,则下列结论正确的理 ( )
A. B.
C. D.
【难度】星
【解析】由两图形位似,有.
【答案】
【巩固】判断满足下列关系的与是否是位似图形,如果是,请指出位似中心.
(1)如图1所示,相交于点,且;
(2)如图2所示,相交于点,且.
【难度】星
【解析】根据位似图形的定义:两个多边形不仅相似,而且对应顶点的连线相交于一点,对应边互相平行,像这样的两个图形叫做位似图形,这个点叫做位似中心.
【答案】(1)与是位似图形,位似中心为点;
(2)与是位似图形,位似中心为点.
【例17】 七边形位似于七边形,它们的面积之比为,已知位似中心到点的距离为,那么到的距离为多少?
【难度】星
【解析】由面积比为,得位似七边形对应边的比为,所以位似比为,所以到的距离为.
【答案】
【巩固】如图,与是位似图形,点、、、、共线,点为位似中心.
(1)与平行吗?试说明理由;
(2)若,,求的长.
【难度】星
【解析】(1)由位似图形的性质
(2)∵两三角形是位似三角形
∴
又,所以,∴,
【答案】平行;
【拓展】如图,在平面直角形坐标系中,正方形都是由正方形经过位似变换得到的,点是位似中心.
(1)你能找出正方形以为位似中心,相似比是的位似图形吗?
(2)正方形是正方形的位似图形吗?如果是,求相似比;
(3)由正方形得到它的位似图形正方形,求相似比;
(4)我们把横坐标、纵坐标都为整数的点称为整点,观察图中每个正方形四条边上的整点个数.猜测:正方形以为位似中心,相似比为的位似图形的四条边上整点个数之和是多少?
【难度】星
【解析】(4)正方形四条边上整数点的个数为4,正方形四条边上整数点的个数为8,正方形四条边上整数点的个数为12,根据数学归纳法可推知,正方形四条边上整数点的个数为个,所以正方形四条边上整数点的个数为.
【答案】正方形;是,;;.
课堂检测
1. 已知:.求.
【难度】星
【解析】设,代入中得原式
【答案】
2. 如图所示,乐器上的一根弦,两个端点固定在乐器面板上,支撑点是靠近点的黄金分割点(即是与的比例中项),支撑点是靠近点的黄金分割点,则 , .
【难度】星
【解析】点是靠近点的黄金分割点,∴,即,又∵点是靠近点的黄金分割点,∴,∴
【答案】;
3. 如图,在中,为边的中点,为边上的任意一点,交于点.
(1)当时,求的值;
(2)当时,求的值;
(3)试猜想时的值,并证明你的猜想.
【难度】星
【解析】(1)当时,;
(2)当时,;
当时,.
(3)当时,,
证明方法比较多,选择两种介绍:
如上右图,过点作,交于点.
∵, ∴
∵ ∴,
∵ ∴
另一种解法就是梅氏定理,看被直线所截可知
,而,,故.
【答案】(1);(2)当时,;当时,;(3)当时,
总结复习
1.通过本堂课你学会了 .
2.掌握的不太好的部分 .
3.老师点评:① .
② .
③ .
课后作业
1. 已知:,求证:是的比例中项.
【难度】星
【解析】略
【答案】讲解此题时.老师可先引导学生回顾比例中项的定义:如果,那么是、的比例中项.由,
而
故是的比例中项.
2. 已知:,则 .
【难度】星
【解析】当时,由等比性质得;当时,即,则,综上所述,的值为或.
【答案】或
3. 已知,求的值.
【难度】星
【解析】解法一:设,则.∴.
解法二:由得.∴.
【答案】
4. 如图,在中,是的中点,是上一点,且,连接并延长,交的延长线于,则__ ___ __.
【难度】星
【解析】先介绍常规的解法:
如图,过点作或的平行线均可,不妨以左图为例来说明.
过点作,交于点.
∵, ∴
∵∴
∵∴
当然,过点、点作适当的平行线,均可作出此题,这里不再给出.
以上这些解法均属于常规解法,下面介绍特殊的解法:
看为直线所截,由梅涅劳斯定理可知,
又,,故
上述图形是一个经典的梅氏定理的基本图形,解类似的题时,梅氏定理的运用能够带来立竿见影的效果,很快得出答案,梅氏定理的证明见变式,先讲变式再介绍本解法.
【答案】
5.用一个倍的放大镜去观察一个三角形,下列说法中正确的是( )
①三角形的每个角都扩大倍; ②三角形的每条边都扩大倍;
③三角形的面积扩大倍; ④三角形的周长扩大倍.
.①② .①③ .②④ .②③
【难度】1星
【解析】略
【答案】①三角形的每个角不会变化,故错误;
②三角形的每条边都扩大倍,故正确
③三角形的面积会扩大倍,故错误;
④三角形的周长会扩大倍,故正确.
故选
相关资料
更多

