搜索
      上传资料 赚现金

      15.2.2 分式的加减(课件) 2025-2026学年华东师大版(2024)数学八年级下册

      • 1.52 MB
      • 2026-03-02 10:57:54
      • 6
      • 0
      • 教习网会员1246781
      加入资料篮
      立即下载
      17983322第1页
      1/21
      17983322第2页
      2/21
      17983322第3页
      3/21
      17983322第4页
      4/21
      17983322第5页
      5/21
      17983322第6页
      6/21
      17983322第7页
      7/21
      17983322第8页
      8/21
      还剩13页未读, 继续阅读

      15.2.2 分式的加减(课件) 2025-2026学年华东师大版(2024)数学八年级下册

      展开

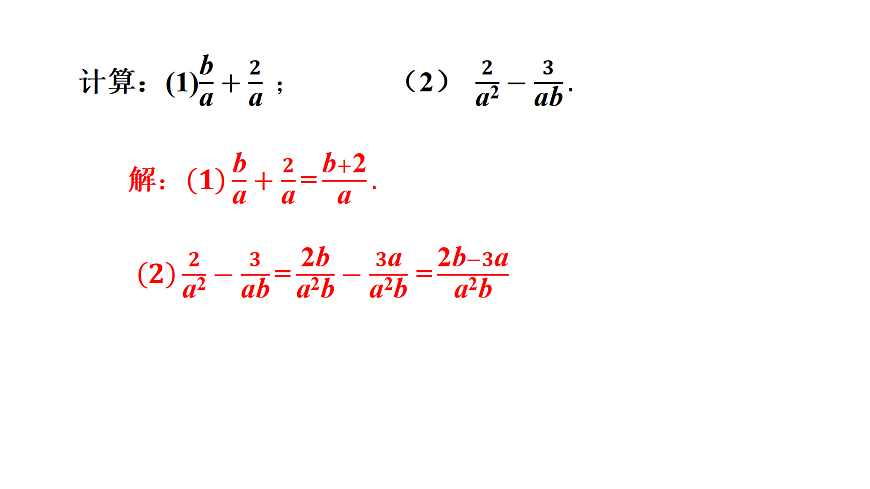
      这是一份初中数学2. 分式的加减图文课件ppt,共21页。PPT课件主要包含了做一做,分式的混合运算等内容,欢迎下载使用。
      1. 分式的乘除运算法则是什么? 分式的乘方法则呢?(请分别用式子表示)
      2.(1)甲工程队完成一项工程需n天,乙工程队要比甲多用3天才能完成这项工程,两队共同工作一天完成这项工程的几分之几?(只列算式)(2)某厂2023、2024、2025三年的生产总值分别为a,b,c(单位:万元,且a

      资料下载及使用帮助
      版权申诉
      • 1.电子资料成功下载后不支持退换,如发现资料有内容错误问题请联系客服,如若属实,我们会补偿您的损失
      • 2.压缩包下载后请先用软件解压,再使用对应软件打开;软件版本较低时请及时更新
      • 3.资料下载成功后可在60天以内免费重复下载
      版权申诉
      若您为此资料的原创作者,认为该资料内容侵犯了您的知识产权,请扫码添加我们的相关工作人员,我们尽可能的保护您的合法权益。
      入驻教习网,可获得资源免费推广曝光,还可获得多重现金奖励,申请 精品资源制作, 工作室入驻。
      版权申诉二维码
      初中数学华东师大版(2024)八年级下册(2024)电子课本 新教材

      2. 分式的加减

      版本: 华东师大版(2024)

      年级: 八年级下册(2024)

      切换课文
      • 同课精品
      • 所属专辑41份
      欢迎来到教习网
      • 900万优选资源,让备课更轻松
      • 600万优选试题,支持自由组卷
      • 高质量可编辑,日均更新2000+
      • 百万教师选择,专业更值得信赖
      微信扫码注册
      手机号注册
      手机号码

      手机号格式错误

      手机验证码 获取验证码 获取验证码

      手机验证码已经成功发送,5分钟内有效

      设置密码

      6-20个字符,数字、字母或符号

      注册即视为同意教习网「注册协议」「隐私条款」
      QQ注册
      手机号注册
      微信注册

      注册成功

      返回
      顶部
      中考一轮 精选专题 初中月考 教师福利
      添加客服微信 获取1对1服务
      微信扫描添加客服
      Baidu
      map