搜索
      上传资料 赚现金

      湖南师范大学附属中学2025-2026学年高一上学期1月期末考试数学试题(Word版附解析)

      • 1.2 MB
      • 2026-02-09 19:47:03
      • 57
      • 1
      • 教习网3275309
      加入资料篮
      立即下载
      查看完整配套(共2份)
      包含资料(2份) 收起列表
      解析
      湖南省长沙市湖南师范大学附属中学2025-2026学年高一上学期1月期末数学试题 Word版含解析.docx
      预览
      原卷
      湖南省长沙市湖南师范大学附属中学2025-2026学年高一上学期1月期末数学试题 Word版无答案.docx
      预览
      正在预览:湖南省长沙市湖南师范大学附属中学2025-2026学年高一上学期1月期末数学试题 Word版含解析.docx
      湖南省长沙市湖南师范大学附属中学2025-2026学年高一上学期1月期末数学试题  Word版含解析第1页
      1/17
      湖南省长沙市湖南师范大学附属中学2025-2026学年高一上学期1月期末数学试题  Word版含解析第2页
      2/17
      湖南省长沙市湖南师范大学附属中学2025-2026学年高一上学期1月期末数学试题  Word版含解析第3页
      3/17
      湖南省长沙市湖南师范大学附属中学2025-2026学年高一上学期1月期末数学试题  Word版无答案第1页
      1/4
      湖南省长沙市湖南师范大学附属中学2025-2026学年高一上学期1月期末数学试题  Word版无答案第2页
      2/4
      还剩14页未读, 继续阅读

      湖南师范大学附属中学2025-2026学年高一上学期1月期末考试数学试题(Word版附解析)

      展开

      这是一份湖南师范大学附属中学2025-2026学年高一上学期1月期末考试数学试题(Word版附解析),文件包含湖南省长沙市湖南师范大学附属中学2025-2026学年高一上学期1月期末数学试题Word版含解析docx、湖南省长沙市湖南师范大学附属中学2025-2026学年高一上学期1月期末数学试题Word版无答案docx等2份试卷配套教学资源,其中试卷共21页, 欢迎下载使用。
      时量:120分钟 满分:150分
      一、选择题(本题共8小题,每小题5分,共40分.在每小题给出的四个选项中,只有一项是符合题目要求的.)
      1. 已知集合,,则( )
      A. B. C. D.
      2. 命题“”的否定为( )
      A. B.
      C D.
      3. 已知函数是定义在区间上的函数,且在该区间上单调递增,则满足的x的取值范围是( )
      A. B. C. D.
      4. 在△ABC中,点D在边AB上,BD=2DA.记m,=n,则=( )
      A. 3m-2nB. -2m+3n
      C. 3m+2nD. 2m+3n
      5. 已知向量满足,则( )
      A. B. C. 0D. 1
      6. 已知,且,则的最小值是( )
      A 9B. 1C. 3D.
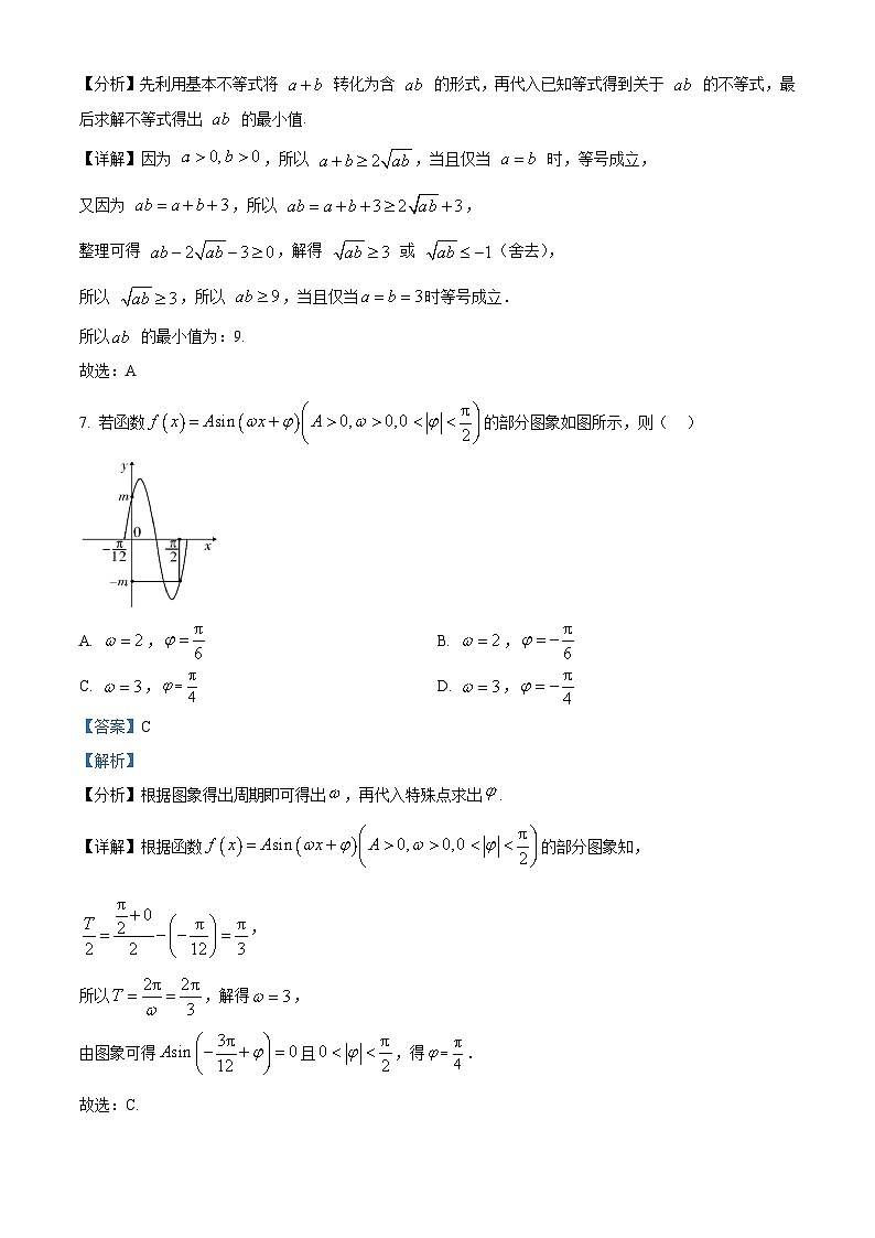
      7. 若函数部分图象如图所示,则( )
      A. ,B. ,
      C. ,D. ,
      8. 已知函数,则关于x的不等式的解集为( )
      A. B. C. D.
      二、选择题(本题共3小题,每小题6分,共18分.在每小题给出的选项中,有多项符合题目要求,全部选对的得6分,部分选对的得部分分,有选错的得0分.)
      9. 下列说法正确的是( )
      A. “”是“”的充分条件B. 若,则
      C. 若,则的最小值为2D. ,
      10. 已知函数,把函数的图象沿x轴向左平移个单位长度,得到函数的图象,则下列说法不正确的是( )
      A. 函数是奇函数B. 当时,函数的值域是
      C. 函数图象关于直线对称D. 函数在区间上单调递增
      11. 已知函数是定义在上的奇函数,是偶函数,当,,则下列说法中正确的有( )
      A. 函数的图象关于直线对称B. 4是函数的周期
      C. D. 方程恰有4个不同的根
      三、填空题(本题共3小题,每小题5分,共15分.)
      12. 已知幂函数的图象过点,则___________.
      13. ______
      14. 如图,有一块扇形草地,已知半径为,,现要在其中圈出一块矩形场地作为儿童乐园使用,其中点A,B在弧上,且线段平行于线段,则矩形的面积S最大值为______.
      四、解答题(本题共5小题,共77分.解答应写出文字说明、证明过程或演算步骤.)
      15. 已知.
      (1)利用诱导公式将化简,并求值;
      (2)若,求的值.
      16. 已知函数为奇函数.
      (1)求实数a的值;
      (2)设,若不等式对恒成立,求实数m的取值范围.
      17. 把物体放在冷空气中冷却,如果物体原来的温度是,室温是,那么后物体的温度(单位:)可由公式求得,其中a是一个随着物体与空气的接触情况而定的正常数,某日室温为,上午9点小泽使用某品牌电热养生壶烧1升水(假设加热时水温随时间变化为一次函数,且初始温度与室温一致),8分钟后水温达到,9点分时,壶中热水自然冷却到.
      (1)求9点起壶中水温(单位:)关于时间t(单位:分钟)的函数;
      (2)若当日小泽在1升水沸腾()时,恰好有事出门,于是将养生壶设定为保温状态,已知保温时养生壶会自动检测壶内水温,当壶内水温高于临界值时,设备不加热,当壶内水温不高于临界值时,开始加热至后停止,加热速度与正常烧水一致,问养生壶(在保温状态下)多长时间后第二次开始加热?(结果保留整数)
      (参考数据:,)
      18 已知,,函数.
      (1)求函数的解析式及图象的对称中心;
      (2)若,且,求的值;
      (3)设,若方程在上有解,求实数m的取值范围.
      19. 已知函数,.
      (1)证明:对,;
      (2)记,,证明:对,;
      (3)若,直线分别与函数,,图象的交点的横坐标为判断的大小关系,并证明.

      相关试卷

      湖南师范大学附属中学2025-2026学年高一上学期1月期末考试数学试题(Word版附解析):

      这是一份湖南师范大学附属中学2025-2026学年高一上学期1月期末考试数学试题(Word版附解析),文件包含湖南省长沙市湖南师范大学附属中学2025-2026学年高一上学期1月期末数学试题Word版含解析docx、湖南省长沙市湖南师范大学附属中学2025-2026学年高一上学期1月期末数学试题Word版无答案docx等2份试卷配套教学资源,其中试卷共21页, 欢迎下载使用。

      湖南师范大学附属中学2025-2026学年高一上学期期中考试数学试题(Word版附解析):

      这是一份湖南师范大学附属中学2025-2026学年高一上学期期中考试数学试题(Word版附解析),共14页。试卷主要包含了单选题,多选题,填空题,解答题等内容,欢迎下载使用。

      湖南师范大学附属中学2024-2025学年高一上学期期末考试数学试题(Word版附答案):

      这是一份湖南师范大学附属中学2024-2025学年高一上学期期末考试数学试题(Word版附答案),共12页。试卷主要包含了单项选择题,多项选择题,填空题,解答题等内容,欢迎下载使用。

      资料下载及使用帮助
      版权申诉
      • 1.电子资料成功下载后不支持退换,如发现资料有内容错误问题请联系客服,如若属实,我们会补偿您的损失
      • 2.压缩包下载后请先用软件解压,再使用对应软件打开;软件版本较低时请及时更新
      • 3.资料下载成功后可在60天以内免费重复下载
      版权申诉
      若您为此资料的原创作者,认为该资料内容侵犯了您的知识产权,请扫码添加我们的相关工作人员,我们尽可能的保护您的合法权益。
      入驻教习网,可获得资源免费推广曝光,还可获得多重现金奖励,申请 精品资源制作, 工作室入驻。
      版权申诉二维码
      期末专区
      • 精品推荐
      • 所属专辑7份
      欢迎来到教习网
      • 900万优选资源,让备课更轻松
      • 600万优选试题,支持自由组卷
      • 高质量可编辑,日均更新2000+
      • 百万教师选择,专业更值得信赖
      微信扫码注册
      手机号注册
      手机号码

      手机号格式错误

      手机验证码 获取验证码 获取验证码

      手机验证码已经成功发送,5分钟内有效

      设置密码

      6-20个字符,数字、字母或符号

      注册即视为同意教习网「注册协议」「隐私条款」
      QQ注册
      手机号注册
      微信注册

      注册成功

      返回
      顶部
      学业水平 高考一轮 高考二轮 高考真题 精选专题 初中月考 教师福利
      添加客服微信 获取1对1服务
      微信扫描添加客服
      Baidu
      map