










江西省赣州市2026届高三上学期期末考试数学试卷含答案(word版)
展开 这是一份江西省赣州市2026届高三上学期期末考试数学试卷含答案(word版),文件包含江西省赣州市2026届高三上学期期末考试数学答案docx、江西省赣州市2026届高三上学期期末考试数学答案pdf、江西省赣州市2026届高三上学期期末考试数学试卷docx、江西省赣州市2026届高三上学期期末考试数学pdf等4份试卷配套教学资源,其中试卷共29页, 欢迎下载使用。
1. 已知复数 z=2+3i1−i ( i 为虚数单位),则复数 z 在复平面内对应的点所在象限为
A. 第一象限 B. 第二象限 C. 第三象限 D. 第四象限
2. 已知集合 A={x∣x−1≤2} ,集合 B=x1x2≥1 ,则 A∩B=
A. (−∞,2] B. (0,5] C. 1,2 D. 1,5
3. 双曲线 C:x2a2−y2b2=1a>0,b>0 的一条渐近线方程为 y=3x ,且过点 2,3 ,则双曲线 C 的方程为
A. 2x2−y2=1B. x2−y23=1 C. 5x2−4y2=1D. x22−y26=1
4. 已知函数 fx=cs2x−π8−sin2x−π8 ,则
A. 函数 fx 的最小正周期为 π2 B. 函数 fx 在区间 π8,5π8 上单调递增
C. 函数 fx 的最大值为 2D. 函数 fx 的图象关于点 3π8,0 对称
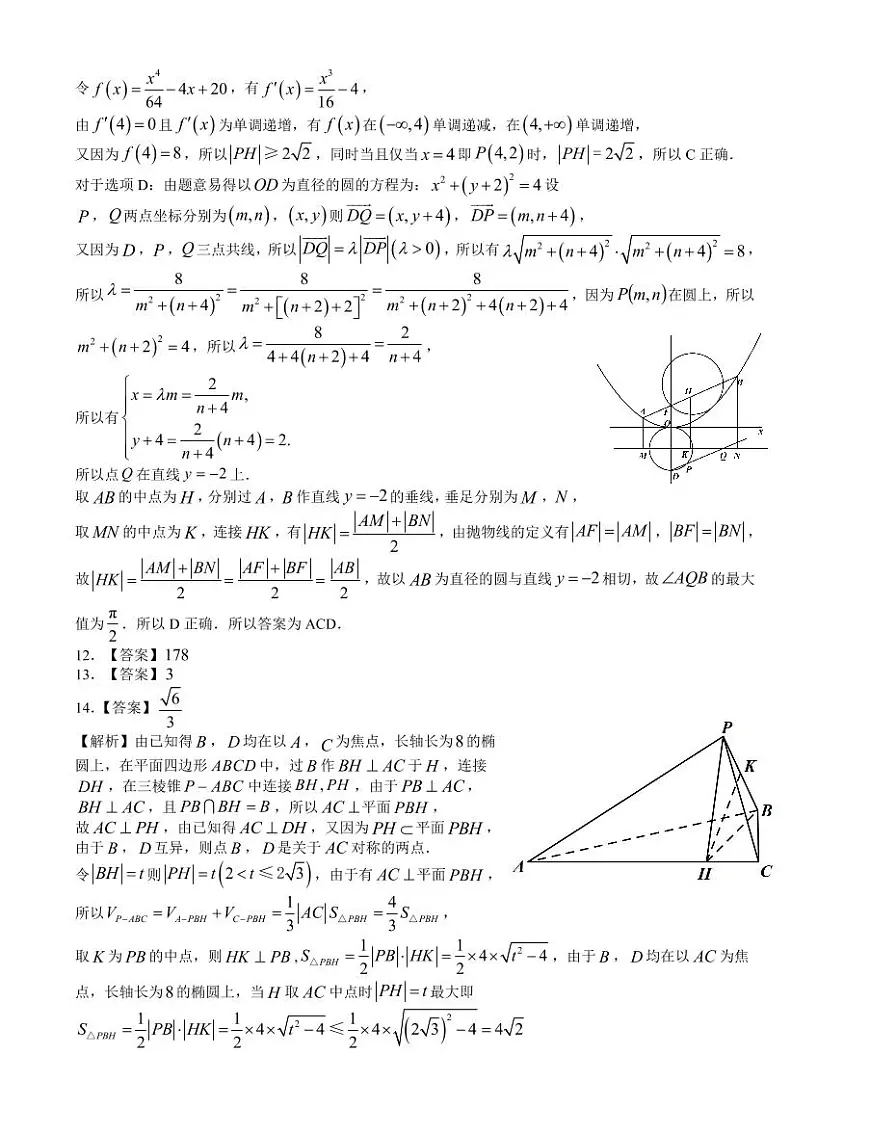
5. 设函数 fx=ex+12f′0x ,则曲线 y=fx 在点 0,f0 处的切线方程为
A. y=2x+1 B. y=2x−1 C. y=x+1 D. y=x−1
6. 已知等差数列 an 的前 n 项和为 Sn ,且满足 a2+a5=16 , S3=15 ,则下列说法错误的是
A. 数列 an 的通项公式为 an=2n+1 B. a3+a4=16
C. 前 9 项和 S9=99
D. 数列 Snn 是公差为 2 的等差数列
7. 已知平面上的非零向量 m,n ,定义运算: m⊗n=m⋅nnn⋅n ,对于平面上任意非零向量 a,b,c , 则
A. a⊗b=b⊗a B. 若 b 与 c 不垂直,则 a⊗b⊗c=a⊗b⊗c
C. a+b⊗c=a⊗c+b⊗c D. 若 a⊗c=b⊗c ,则 a=b
8. 已知 a=ln3−ln2,b=13e13,c=59 ,则
A. b>a>c B. b>c>a C. c>a>b D. c>b>a
二、选择题: 本题共 3 小题, 每小题 6 分, 共 18 分.在每小题给出的选项中, 有多项符合题目要求.全部选 对的得 6 分, 部分选对的得部分分, 有选错的得 0 分.
9. 在正方体 ABCD−A1B1C1D1 中, BG=λBD10≤λ≤1 ,则
A. 若 BD1⊥ 平面 ACG ,则 λ=13
B. 若 BB1// 平面 ACG ,则 λ=12
C. 若 λ=1 ,则直线 AG 与直线 C1D 所成的角为 π3
D. 若 λ=0 ,则直线 AG 与平面 AB1C 所成的角的正切值为 2
10. 已知数列 an 的前 n 项和为 Sn ,且满足 an=3Sn−3 ,对任意的 n∈N• ,都有 A≤2Sn−1Sn≤B 恒成立, 则
A. an=3×−12n B. Sn=1−−12n C. A 的最大值为 73 D. B 的最小值为 73
11. 已知抛物线 C:x2=2py 的焦点为 F0,2 ,过点 F 的直线与抛物线 C 相交于 A,B 两点, O0,0 . D0,−4 ,点 P 是以 OD 为直径的圆上的一个动点,在射线 DP 上取点 Q ,使得 DQ⋅DP=8 ,则
A. p=4
B. AF+9BF≥36
C. 抛物线 C 与圆 x−22+y−42=8 有且只有一个交点
D. ∠AQB 存在最大值
第 II 卷 (非选择题共 92 分)
三、填空题: 本大题共 3 小题, 每小题 5 分, 共计 15 分.
12. 样本数据84,8,110,42,152,304,178,130,251,130的 75% 分位数是_____.
13. 已知定义在 R 上的偶函数 fx 满足 f4+x=f4−x ,且 fx=2x,0≤xb>0 的离心率为 22 ,右焦点为 F ,上顶点为 B ,坐标原点为 O .
△BOF 的面积为 12 ,直线 BF 与椭圆 C 的另一个交点为 Ax0,y0 ,直线 x0x+2y0y−2=0 与直线 y=b 相交于点 P .
(1)求椭圆 C 的方程;
(2)证明: BF⊥FP ;
(3)若过 P 的直线 l 交椭圆 C 于 M , N 两点且与直线 BF 交于点 T (异于 F ),记 △FTN 与 △FTM 的面积分别为 S1,S2 ,试比较 S1S2 与 FNFM 的大小,并说明理由.
19. (本小题 17 分)
已知函数 fx=blnax−xb−a .
(1)当 a=b=1 时,求方程 fx=ex−1−x−2 的解;
(2)若 a∈1,+∞ , b∈0,1 ,证明: fx+2n+1−1 n∈N+ .正常工作
故障
合计
模拟太空
45
10
55
地面实验室
30
15
45
合计
75
25
100
Pχ2≥k
0.05
0.01
0.001
k
3.841
6.635
10.828
相关试卷
这是一份江西省赣州市2026届高三上学期期末考试数学试卷含答案(word版),文件包含江西省赣州市2026届高三上学期期末考试数学答案docx、江西省赣州市2026届高三上学期期末考试数学答案pdf、江西省赣州市2026届高三上学期期末考试数学试卷docx、江西省赣州市2026届高三上学期期末考试数学pdf等4份试卷配套教学资源,其中试卷共29页, 欢迎下载使用。
这是一份江西省赣州市2025一2026学年度第一学期高三年级期末考试数学试卷(含答案),文件包含数学试题卷pdf、数学试题卷答案pdf等2份试卷配套教学资源,其中试卷共8页, 欢迎下载使用。
这是一份江西省赣州市2023-2024学年高三上学期期末考试数学试卷(PDF版附答案),共9页。
相关试卷 更多
- 1.电子资料成功下载后不支持退换,如发现资料有内容错误问题请联系客服,如若属实,我们会补偿您的损失
- 2.压缩包下载后请先用软件解压,再使用对应软件打开;软件版本较低时请及时更新
- 3.资料下载成功后可在60天以内免费重复下载
免费领取教师福利 




.png)




