搜索
      上传资料 赚现金

      2025-2026学年深圳罗湖区高一(上)期末数学试题+答案

      • 831.71 KB
      • 2026-02-01 14:06:50
      • 39
      • 0
      • 教习网2844823
      加入资料篮
      立即下载
      查看完整配套(共3份)
      包含资料(3份) 收起列表
      试卷
      2025-2026学年深圳罗湖区高一(上)期末数学试题.pdf
      预览
      答案
      2025-2026学年深圳罗湖区高一(上)期末数学答案.docx
      预览
      答案
      2025-2026学年深圳罗湖区高一(上)期末数学答案.pdf
      预览
      正在预览:2025-2026学年深圳罗湖区高一(上)期末数学试题.pdf
      2025-2026学年深圳罗湖区高一(上)期末数学试题第1页
      高清全屏预览
      1/4
      2025-2026学年深圳罗湖区高一(上)期末数学试题第2页
      高清全屏预览
      2/4
      2025-2026学年深圳罗湖区高一(上)期末数学答案第1页
      高清全屏预览
      1/6
      2025-2026学年深圳罗湖区高一(上)期末数学答案第2页
      高清全屏预览
      2/6
      2025-2026学年深圳罗湖区高一(上)期末数学答案第3页
      高清全屏预览
      3/6
      2025-2026学年深圳罗湖区高一(上)期末数学答案第1页
      高清全屏预览
      1/6
      2025-2026学年深圳罗湖区高一(上)期末数学答案第2页
      高清全屏预览
      2/6
      2025-2026学年深圳罗湖区高一(上)期末数学答案第3页
      高清全屏预览
      3/6
      还剩2页未读, 继续阅读

      2025-2026学年深圳罗湖区高一(上)期末数学试题+答案

      展开

      这是一份2025-2026学年深圳罗湖区高一(上)期末数学试题+答案,文件包含2025-2026学年深圳罗湖区高一上期末数学试题pdf、2025-2026学年深圳罗湖区高一上期末数学答案docx、2025-2026学年深圳罗湖区高一上期末数学答案pdf等3份试卷配套教学资源,其中试卷共16页, 欢迎下载使用。
      本试卷共4页,19小题,满分150分。考试用时120分钟。
      一、选择题:本题共8小题,每小题5分,共40分。在每小题给出的四个选项中,只有一项是符合题目要求的。
      8.解: 由条件,因为,则,又在上单调,
      于是,则,解得,故选A.
      二、选择题:本题共3小题,每小题6分,共18分。在每小题给出的选项中,有多项符合题目要求。全部选对的得6分,部分选对的得部分分,有选错的得0分。
      11.解:令,可得,因为不恒为0,所以,选项A正确;由已知函数满足条件,但不是奇函数,选项C错误;若,令,有,于是,所以,因此是周期为4的周期函数,此时,因为,选项B错误,因为,选项D正确,故选AD.
      三、填空题:本题共3小题,每小题5分,共15分。
      12. 13. 14.
      14.解:由条件,解得,所以,当且仅当时取等号,所以的最大值为.
      四、解答题:本题共5小题,共77分。解答应写出文字说明、证明过程或演算步骤。
      15.(13分)
      已知函数.
      (1)若,求;(2)若,求的值.
      解:(1)由条件;
      若,6分
      (2)当时,
      .13分
      16.(15分)
      已知函数.
      (1)若的解集为,求不等式的解集;
      (2)若且在上恒成立,求实数的取值范围.
      解:(1)由题设知且的两根为,.
      所以,,可得:,,
      可化为:,即,解得:,
      所以不等式的解集为7分
      (2)由可得,,消去可得,对任意的恒成立,
      (i)当,即时,不等式变为恒成立,满足题意;
      (ii)当,即时,不等式,对任意的恒成立,
      当且仅当,解得;
      综上所述,实数的取值范围.15分
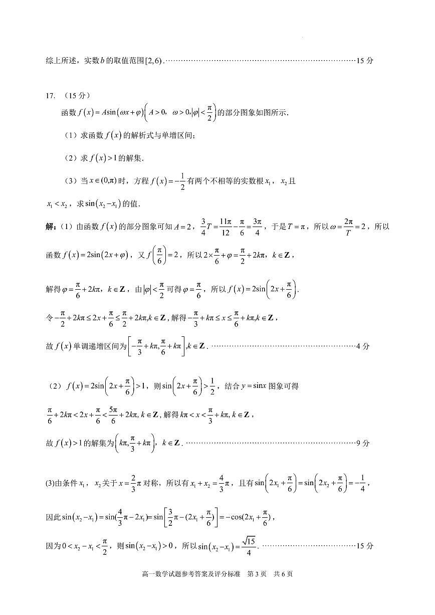
      17.(15分)
      函数的部分图象如图所示.
      (1)求函数的解析式与单增区间;
      (2)求的解集.
      (3)当时,方程有两个不相等的实数根,且,求的值.
      解:(1)由函数的部分图象可知,,于是,所以,所以函数,又,所以,
      解得,由可得,所以.
      令,解得,
      故单调递增区间为.4分
      (2),则,结合图象可得,解得,
      故的解集为.9分
      (3)由条件,关于对称,所以有,且有,
      因此,
      因为,则,所以.15分
      18.(17分)
      已知函数
      (1)计算的值;
      (2)判断函数在上的单调性,并根据定义证明你的判断;
      (3)函数的图象关于点成中心对称图形的充要条件是为奇函数.依据上述结论,证明:的图象成中心对称图形,并求出对称中心.
      解:(1).4分
      (2)函数在上单调递减.证明如下:
      由条件.任取,且,
      因为,所以,
      所以,即,故函数在上单调递减.10分
      (3)证明:设,则.
      因为函数定义域为,且,
      所以为奇函数,图象关于原点对称,故的图象关于点成中心对称图形.17分
      19.(17分)
      对于函数,若在定义域内存在实数,满足,则称为上的“局部奇函数”.
      (1)判断函数是否为上的“局部奇函数”,请说明理由;
      (2)若定义在区间上的函数为“局部奇函数”,求实数的取值范围;
      (3)若函数为上的“局部奇函数”,求实数的取值范围.
      解:(1)假设存在,满足,即,解得,
      因此方程有解,
      所以函数为上的“局部奇函数”.3分
      (2)只需研究方程的解.
      (i)当时,,
      此时, 于是,
      当时 有,因此;
      (ii)当时, ,
      此时方程无解,不满足题意;
      (iii)当时,,
      此时,于是,
      当时 有, 因此;
      综上所述,实数的取值范围为.10分
      (3)由题意,方程在上有解,
      即在上有解,
      即在上有解,记,此时,
      于是在区间上有解,记,
      (i)当时, 在区间上有解,
      由,有,解得;
      (ii)当时,方程在区间上有解,
      当且仅当, 解得;
      综上所述,实数的取值范围为17分
      题号
      1
      2
      3
      4
      5
      6
      7
      8
      答案
      D
      D
      C
      C
      B
      A
      B
      A
      题号
      9
      10
      11
      答案
      ACD
      ABD
      AD

      相关试卷

      2025-2026学年深圳罗湖区高一(上)期末数学试题+答案:

      这是一份2025-2026学年深圳罗湖区高一(上)期末数学试题+答案,文件包含2025-2026学年深圳罗湖区高一上期末数学试题pdf、2025-2026学年深圳罗湖区高一上期末数学答案docx、2025-2026学年深圳罗湖区高一上期末数学答案pdf等3份试卷配套教学资源,其中试卷共16页, 欢迎下载使用。

      2025-2026学年深圳罗湖区高一(上)期末数学试题+答案:

      这是一份2025-2026学年深圳罗湖区高一(上)期末数学试题+答案,文件包含2025-2026学年深圳罗湖区高一上期末数学试题pdf、2025-2026学年深圳罗湖区高一上期末数学答案docx、2025-2026学年深圳罗湖区高一上期末数学答案pdf等3份试卷配套教学资源,其中试卷共16页, 欢迎下载使用。

      2025-2026学年广东省深圳市罗湖区高一上学期期末数学试卷(含答案):

      这是一份2025-2026学年广东省深圳市罗湖区高一上学期期末数学试卷(含答案),共10页。

      资料下载及使用帮助
      版权申诉
      • 1.电子资料成功下载后不支持退换,如发现资料有内容错误问题请联系客服,如若属实,我们会补偿您的损失
      • 2.压缩包下载后请先用软件解压,再使用对应软件打开;软件版本较低时请及时更新
      • 3.资料下载成功后可在60天以内免费重复下载
      版权申诉
      若您为此资料的原创作者,认为该资料内容侵犯了您的知识产权,请扫码添加我们的相关工作人员,我们尽可能的保护您的合法权益。
      入驻教习网,可获得资源免费推广曝光,还可获得多重现金奖励,申请 精品资源制作, 工作室入驻。
      版权申诉二维码
      欢迎来到教习网
      • 900万优选资源,让备课更轻松
      • 600万优选试题,支持自由组卷
      • 高质量可编辑,日均更新2000+
      • 百万教师选择,专业更值得信赖
      微信扫码注册
      手机号注册
      手机号码

      手机号格式错误

      手机验证码 获取验证码 获取验证码

      手机验证码已经成功发送,5分钟内有效

      设置密码

      6-20个字符,数字、字母或符号

      注册即视为同意教习网「注册协议」「隐私条款」
      QQ注册
      手机号注册
      微信注册

      注册成功

      返回
      顶部
      学业水平 高考一轮 高考二轮 高考真题 精选专题 初中月考 教师福利
      添加客服微信 获取1对1服务
      微信扫描添加客服
      Baidu
      map