









广东省大湾区2026届高三上学期一模数学试卷含解析(word版+pdf版)
展开 这是一份广东省大湾区2026届高三上学期一模数学试卷含解析(word版+pdf版),文件包含2026届大湾区普通高中毕业年级联合模拟考试一数学答案docx、2026届大湾区普通高中毕业年级联合模拟考试一数学答案pdf、2026大湾区一模数学试题docx、2026大湾区一模数学试题pdf等4份试卷配套教学资源,其中试卷共45页, 欢迎下载使用。
1.【答案】D
【解析】 A=x∣x2−x−2≥0={x∣x≥2 或 x≤−1},A∩B={−2,−1,2} . 故选 D.
2.【答案】B
【解析】 −2−i1+i=−32+12i ,其对应的点为 −32,12 ,所在象限为第二象限. 故选 B.
3.【答案】B
【解析】因为 a,b 为非零向量, a+b=a+b 等价于 a,b 同向, a//b 等价于 a,b 共线. 故选 B.
4.【答案】A
【解析】由题意, m>0m>1 ,所以 m>1 ,所以 2m>m−1 ,则 2m−m−12m=34 ,解得 m=2 ,故选 A.
5.【答案】B
【解析】设 fx=3x−1,gx=31−x ,显然 gx=32−x−1=f2−x ,故 y=fx 与 y=gx 的图象关于直线 x=1 对称. 故选: B.
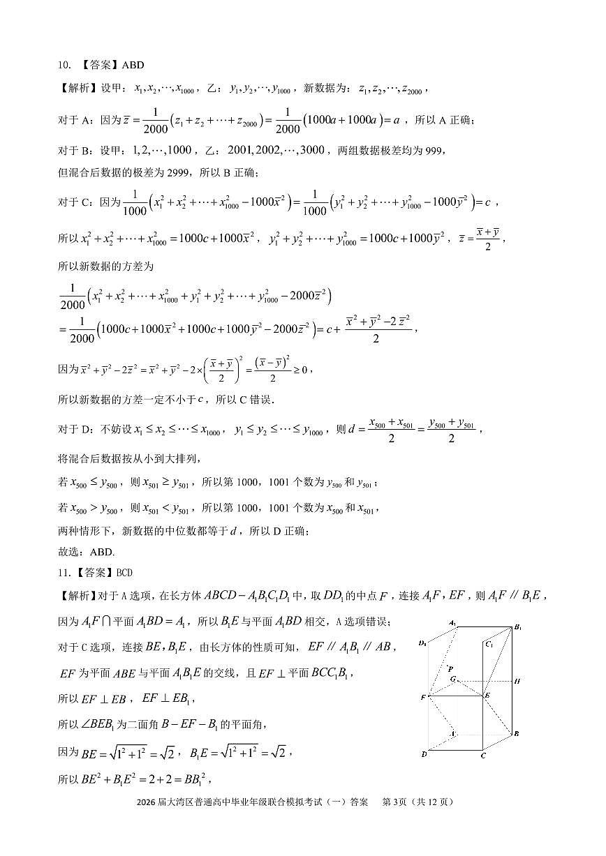
6.【答案】C
【解析】 a=1215 ,所以 0
相关试卷
这是一份广东省大湾区2026届高三上学期一模数学试卷含解析(word版+pdf版),文件包含2026届大湾区普通高中毕业年级联合模拟考试一数学答案docx、2026届大湾区普通高中毕业年级联合模拟考试一数学答案pdf、2026大湾区一模数学试题docx、2026大湾区一模数学试题pdf等4份试卷配套教学资源,其中试卷共45页, 欢迎下载使用。
这是一份广东省大湾区普通高中2026届高三上学期1月一模数学试题(PDF版附解析),文件包含广东省大湾区普通高中2026届高三上学期联合模拟考试一数学试题pdf、数学答案-2026大湾区一模pdf等2份试卷配套教学资源,其中试卷共20页, 欢迎下载使用。
这是一份广东省大湾区2025-2026学年高一上学期期末模拟数学试卷(Word版附解析),文件包含广东省大湾区2025-2026学年高一上学期期末模拟试题数学Word版含解析docx、广东省大湾区2025-2026学年高一上学期期末模拟试题数学docx、广东省大湾区2025-2026学年高一上学期期末模拟试题数学A3版docx等3份试卷配套教学资源,其中试卷共21页, 欢迎下载使用。
相关试卷 更多
- 1.电子资料成功下载后不支持退换,如发现资料有内容错误问题请联系客服,如若属实,我们会补偿您的损失
- 2.压缩包下载后请先用软件解压,再使用对应软件打开;软件版本较低时请及时更新
- 3.资料下载成功后可在60天以内免费重复下载
免费领取教师福利 







