搜索
      上传资料 赚现金

      湖北省襄阳四中2026届高三上学期1月质量检测五英语试题(含答案)

      • 122.89 KB
      • 2026-01-21 06:53:12
      • 15
      • 0
      • 教习网会员03
      加入资料篮
      立即下载
      湖北省襄阳四中2026届高三上学期1月质量检测五英语试题(含答案)第1页
      1/7
      湖北省襄阳四中2026届高三上学期1月质量检测五英语试题(含答案)第2页
      2/7
      湖北省襄阳四中2026届高三上学期1月质量检测五英语试题(含答案)第3页
      3/7
      还剩4页未读, 继续阅读

      湖北省襄阳四中2026届高三上学期1月质量检测五英语试题(含答案)

      展开

      这是一份湖北省襄阳四中2026届高三上学期1月质量检测五英语试题(含答案),共7页。试卷主要包含了选择题的作答,非选择题的作答等内容,欢迎下载使用。

      ★祝考试顺利★
      注意事项:
      1.答题前,先将自己的姓名、准考证号填写在试题卷和答题卡上,并将准考证号条形码粘贴在答题卡上的指定位置。
      2.选择题的作答:每小题选出答案后,用2B铅笔把答题卡上对应题目的答案标号涂黑。写在试题卷、草稿纸和答题卡上的非答题区域均无效。
      3.非选择题的作答:用签字笔直接答在答题卡上对应的答题区域内。写在试题卷、草稿纸和答题卡上的非答题区域均无效。
      4.考试结束后,请将本试题卷和答题卡一并上交。
      第一部分 听力(共两节,满分30分)
      做题时,先将答案标在试卷上。录音内容结束后,你将有两分钟的时间将试卷上的答案转涂到答题卡上。
      第一节(共5小题;每小题1.5分,满7.5分)
      听下面5段对话。每段对话后有一个小题,从题中所给的A、B、C三个选项中选出最佳选项。听完每段对话后,你都有10秒钟的时间来回答有关小题和阅读下一小题。每段对话读两遍。
      例: Hw much is the shirt?
      A. £19.15.B. £9.18.C. £9.15.
      答案是C。
      1. What is the man ding?
      A. Asking fr leave.B. Arranging a trip.C. Changing his shifts.
      2. Hw did Nancy feel abut her perfrmance tday?
      A. Disappinted.B. Relieved.C. Satisfied.
      3. What will the speakers d n Thursday?
      A. Receive freign guests.B. Visit a museum.C. Hld a party.
      4. Wh is prbably Maria?
      A. The man’s supplier.B. The man’s assistant.C. The man’s patient.
      5. What des the wman advise the man t d?
      A. Study in a cffee huse.B. Share ideas with her.C. Take a break.
      第二节 (共 15 小题;每小题 1.5 分,满分 22.5 分)
      听下面 5 段对话或独白。每段对话或独白后有几个小题,从题中所给的 A、B、C 三个选项中选出最佳选项。听每段对话或独白前,你将有时间阅读各个小题,每小题 5 秒钟;听完后,各小题将给出 5 秒钟的作答时间。每段对话或独白读两遍。
      听第6段材料,回答第6、7题。
      6. Hw much did the wman pay fr the tw blue shirts?
      A. £19.5.B. £39.C. £40.
      7. What will the wman d with the shirts?
      A. Buy them.B. Sell them.C. Return them.
      听第7段材料,回答第8、9题。
      8. Why has the meeting been delayed?
      A. Because f the faulty equipment.
      B. Because f Mr. Jhnsn’s lateness.
      C. Because f the unfinished presentatin.
      9. Where des the cnversatin prbably take place?
      A. In an ffice.B. In a cffee shp.C. At an airprt.
      听第8段材料,回答第10至12题。
      10. Why des the wman want t leave early?
      A. She needs time t adapt.B. She is eager t see her aunt.C. She plans t visit Frankfurt first.
      11. What des the wman care abut mst fr the flight?
      A. The time.B. The csts.C. The service.
      12. What des the wman think f the htel n Orchard Rad?
      A. It’s quite ld.B. It’s a bit expensive.C. It’s far frm the city center.
      听第 9 段材料,回答第13至16题。
      13. Why des the wman cme t the man?
      A. T cllect his research results.
      B. T invite him t a dinner party.
      C. T ask abut the prgress f his paper.
      14. What is the wman’s suggestin cncerning the secnd paragraph?
      A. Changing the tpic.B. Simplifying the language.C. Adding technical terms.
      15. When is the dinner party?
      A. On Thursday.B. On Friday.C. On Saturday.
      16. What is the prbable relatinship between the speakers?
      A. Classmates.B. Teacher and student.C. Researcher and assistant.
      听第 10 段材料,回答第 17 至 20 题。
      17. What is the main tpic f the talk?
      A. The migratin f animals.
      B. The effects f light pllutin.
      C. The disadvantages f living in cities.
      18. What percentage f peple in Nrth America fail t see the Milky Way?
      A. Abut 50%.B. Abut 60%.C. Abut 80%.
      19. What prblem are the sea turtles prbably facing when they migrate?
      A. Their sleep patterns becme abnrmal.
      B. They can’t find their habitats n beaches.
      C. They are disriented due t artificial lights.
      20. What is the first slutin the speaker mentined?
      A. Making relevant laws sn.
      B. Using dwnward facing streetlights.
      C. Turning ff bright signs after midnight.
      第二部分 阅读(共两节,满分50分)
      第一节(共15小题;每小题2.5分,满37.5分)
      阅读下列短文,从每题所给的A、B、C和D四个选项中,选出最佳选项。
      A
      Cmpsting (堆肥制造) at Hme: What Is Cmpsting?
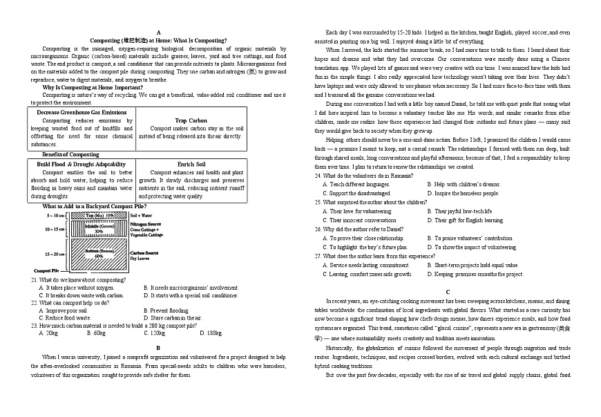
      Cmpsting is the managed, xygen-requiring bilgical decmpsitin f rganic materials by micrrganisms. Organic (carbn-based) materials include grasses, leaves, yard and tree cuttings, and fd waste. The end prduct is cmpst, a sil cnditiner that can prvide nutrients t plants. Micrrganisms feed n the materials added t the cmpst pile during cmpsting. They use carbn and nitrgen (氮) t grw and reprduce, water t digest materials, and xygen t breathe.
      Why Is Cmpsting at Hme Imprtant?
      Cmpsting is nature’s way f recycling. We can get a beneficial, value-added sil cnditiner and use it t prtect the envirnment.
      Benefits f Cmpsting
      What t Add t a Backyard Cmpst Pile?
      21. What d we knw abut cmpsting?
      A. It takes place withut xygen.B. It needs micrrganisms’ invlvement.
      C. It breaks dwn waste with carbn.D. It starts with a special sil cnditiner.
      22. What can cmpst help us d?
      A. Imprve pr sil.B. Prevent flding.
      C. Reduce fd waste.D. Stre carbn in the air.
      23. Hw much carbn material is needed t build a 200 kg cmpst pile?
      A. 20kg.B. 60kg.C. 120kg.D. 180kg.
      B
      When I was in university, I jined a nnprfit rganizatin and vlunteered fr a prject designed t help the ften-verlked cmmunities in Rmania. Frm special-needs adults t children wh were hmeless, vlunteers f this rganizatin sught t prvide safe shelter fr them.
      Each day I was surrunded by 15-20 kids. I helped in the kitchen, taught English, played sccer, and even assisted in painting n a big wall. I enjyed ding a little bit f everything.
      When I arrived, the kids started the summer break, s I had mre time t talk t them. I heard abut their hpes and dreams and what they had vercme. Our cnversatins were mstly dne using a Chinese translatin app. We played lts f games and were very creative with ur time. I was amazed hw the kids had fun in the simple things. I als really appreciated hw technlgy wasn’t taking ver their lives. They didn’t have laptps and were nly allwed t use phnes when necessary. S I had mre face-t-face time with them and I treasured all the genuine cnversatins we had.
      During ne cnversatin I had with a little by named Daniel, he tld me with quiet pride that seeing what I did here inspired him t becme a vluntary teacher like me. His wrds, and similar remarks frm ther children, made me realize hw these experiences had changed their utlks and future plans — many said they wuld give back t sciety when they grew up.
      Helping thers shuld never be a ne-and-dne actin. Befre I left, I prmised the children I wuld cme back — a prmise I meant t keep, nt a casual remark. The relatinships I frmed with them run deep, built thrugh shared meals, lng cnversatins and playful afternns; because f that, I feel a respnsibility t keep them ver time. I plan t return t renew the relatinships we created.
      24. What d the vlunteers d in Rmania?
      A. Teach different languages.B. Help with children’s dreams.
      C. Supprt the disadvantaged.D. Inspire the hmeless peple.
      25. What surprised the authr abut the children?
      A. Their lve fr vlunteering.B. Their jyful lw-tech life.
      C. Their inncent cnversatins.D. Their gift fr English learning.
      26. Why did the authr refer t Daniel?
      A. T prve their clse relatinship.B. T praise vlunteers’ cntributin.
      C. T highlight the by’s future plan.D. T shw the impact f vlunteering.
      27. What des the authr learn frm this experience?
      A. Service needs lasting cmmitment.B. Shrt-term prjects hld equal value.
      C. Leaving cmfrt znes aids grwth.D. Keeping prmises smths the prject.

      C
      In recent years, an eye-catching cking mvement has been sweeping acrss kitchens, menus, and dining tables wrldwide: the cmbinatin f lcal ingredients with glbal flavrs. What started as a rare curisity has nw becme a significant trend shaping hw chefs design menus, hw diners experience meals, and hw fd systems are rganized. This trend, smetimes called “glcal cuisine”, represents a new era in gastrnmy (美食学) — ne where sustainability meets creativity and traditin meets innvatin.
      Histrically, the glbalizatin f cuisine fllwed the mvement f peple thrugh migratin and trade rutes. Ingredients, techniques, and recipes crssed brders, evlved with each cultural exchange and birthed hybrid cking traditins.
      But ver the past few decades, especially with the rise f air travel and glbal supply chains, glbal fd experiences have becme increasingly hmgenized. Sushi bars in Paris, pizza chains in Bangkk, and burger jints in Nairbi mirrr a wrld that is becming mre cnnected but als mre predictable.
      Hwever, as the envirnmental and ecnmic csts f such glbal fd systems cme int fcus, chefs and cnsumers begin questining the value f imprting ingredients frm thusands f miles away when lcal alternatives are ften available and fresher. This realizatin gives rise t the “lcavre mvement”, which emphasizes seasnal, reginal surcing t supprt lcal ecnmies and reduce carbn ftprints. Yet, rather than turning t the lcalizatin cmpletely, many chefs begin t cmbine lcal surcing with the excitement f glbal flavrs, leading t a unique and pwerful cking hybrid.
      This mdern apprach desn’t mean restricting creativity. On the cntrary, it encurages it. By asking “Hw can I recreate a Thai green curry using what’s available in Vermnt, the U.S.?” r “Can I build a Japanese ndle sup frm Pacific Nrthwest seaweed and mushrms?”, chefs are pushed t innvate. The limit f lcal surcing becmes fuel fr new, special interpretatins f belved glbal dishes.
      28. What des the underlined wrd “hmgenized” in paragraph 3 mean?
      A. Well-preserved. B. Inaccessible.C. Handmade. D. Unifrm.
      29. What impact is brught by imprting ingredients frm abrad accrding t the text?
      A. Decline f traditinal chefs.B. Wrse taste f glbal fds.
      C. Increased carbn ftprints.D. Higher pricing f lcal prduce.
      30. What d the questins in the last paragraph require chefs t d?
      A. Prmte lcal fds actively.B. Cunt n glbal supply chains.
      C. Get creative with their cking.D. Taste glbal dishes as travelers.
      31. What can be a suitable title fr the text?
      A. Pwerful Glbal Fd SystemsB. The Fall and Rise f Lcal Fd
      C. A New Menu Trend: GlbalizatinD. Lcal Ingredients, Glbal Flavrs
      D
      What if yu culd meet mst f yur daily needs — shpping, wrk, educatin, healthcare — within a 15-minute walk r bike ride frm yur hme? This is the exciting visin f the “15-minute city”, an urban planning cncept that gained glbal attentin years ag. Hwever, putting it int practice has sparked unexpected and fierce ppsitin.
      The cncept was ppularized by Mayr Anne Hidalg f Paris and based n the research f French schlar Carls Mren. It suggests a mve frm city planning centered mainly n cars t ne fcused n “chrnic-urbanism”. The gal is t return urban space t peple, with mre parks and streets fr walking. Advcates argue that this mdel addresses multiple crises all at the same time: climate change, scial islatin and public health.
      Despite its apparent benefits, ppnents have misrepresented the idea nline, framing it as a secret gvernment plan t cntrl peple’s free mvement. While these claims are baseless, they have gained supprt, influencing public pinin and making it harder fr cities like Oxfrd and Melburne t carry ut the cncept.
      The real issue, hwever, ges deeper than misinfrmatin. It pints t a fundamental prblem in urban innvatin: the difficulty f imagining a life less dependent n the private car. Fr decades, the car has symblized persnal freedm and status. Any plicy that seems t reduce car use, even if it aims t enhance verall quality f life, can make peple feel emtinally upset. This reflects what transprt experts call “car dependency”, a cultural and deep-rted habit that is hard t break.
      The situatin mirrrs past urban cnflicts. Fr instance, many peple ppsed creating walking-nly streets in city centers decades ag, but nw, such areas are mstly lved and valued. The experts f a recent study n sustainable transitin cnclude that the battle fr the 15-minute city is nt just abut planning; it’s abut messaging. Success depends nt nly n smart design but als n effectively cnveying its visin f a mre sustainable and human urban future.
      32. What can we learn abut “chrnic-urbanism” in paragraph 2?
      A. It gives mre space t peple. B. It aims t expand rad netwrks.
      C. It fcuses n car develpment. D. It helps imprve city envirnment.
      33. What d the ppnents think f the 15-minute city?
      A. Traffic-slwing. B. Mney-wasting. C. Freedm-limiting. D. Tech-demanding.
      34. What des paragraph 4 mainly talk abut?
      .A. The challenge f a less car-centered life. B. The significance f private cars.
      .C. The public’s reactins t a new plicy. D. The definitin f car dependency.
      35. What des the experts’ cnclusin imply in the last paragraph?
      .A. Public pinins are t hard t change. B. Sustainable transitin is the tp pririty.
      .C. Cmmunicatin matters as much as design. /D. Planning shuld send an innvative message.
      第二节(共5小题;每小题2.5分,满分12.5分)
      根据短文内容,从短文后的选项中选出能填入空白处的最佳选项。选项中有两项为多余选项。
      Yu dn’t have t quit sugar, g vegan (素食者) r run a marathn t see real change in yur health and well-being. 36 Little actins, dne cnsistently, are what create lasting change, says Wendy Wd, PhD, psychlgist and authr f Gd Habits, Bad Habits.
      The secret? It’s nt willpwer. It’s nt even gals. “The best way t turn a small change int a pwerful habit is nt t fcus n yur mtivatin, the reasns why yu want t d it r yur lng-term gals,” she says. Wait? 37 Aren’t gals suppsed t fuel us?
      “That is what everyne thinks. Hwever, research has shwn that making small changes t the envirnment, the cntext in which yu perfrm the behavir, is far mre pwerful. Gals aren’t bad. They certainly have a purpse, but ‘mtivatin’ wn’t last fr a lng time,” she says. “ 38 ”
      Fr example, d yu think yur gal f getting back int the same size jeans yu wre in high schl will inspire yu t hit the gym every day? Npe. What will? “Chse a gym that’s clse t yur huse, ideally less than 5 miles. 39 ” Wd says. “Even better if yu are ding an activity yu really enjy r meeting a gd friend there.”
      40 Better sleep, strnger muscles, calmer mds and a sharper mind. T help yu make this shift, we’ve runded up the simplest, mst science-backed micr-habits. They can transfrm yur physical, emtinal and mental health. N guilt, n verwhelm and n special requirement.
      A. Habits need t be easy and enjyable t stick.
      B. Instead, science supprts a “g small” apprach.
      C. The small changes will benefit a lt when taking rt.
      D. Is the pwerful habit a key t gaining physical health?
      E. Big lifestyle changes are necessary fr health imprvement.
      F. Isn’t mtivatin the whle pint f New Year’s reslutins?
      G. That was the strngest predictr f gym attendance in ur research.
      第三部分 语言运用(共两节,满分30分)
      第一节 (共15小题;每小题1分,满分15分)
      阅读下面短文,从短文后各题所给的A、B、C和D四个选项中,选出可以填入空白处的最佳选项。
      The August sun beat dwn withut mercy. My father and I dragged ur heavy backpacks thrugh the dusty hills. My thrat was dried, my legs weak. I was abut t 41 when he pinted a dusty finger tward the hrizn. “A 42 ,” he craked (嘶哑着说).
      A spark f hpe lit inside me. I 43 a fruit tree, its branches heavy with smething sweet. My muth 44 at the thught f a delicius apple. My father, mre practical, guessed a pear tree. Fueled by this 45 , we pushed n, ur tired legs finding new strength.
      But as we gt clser, my hpe faded. The tree was an ak (橡树), but its branches held nly 46 . Disappintment washed ver me. “It’s useless,” I muttered, 47 against the trunk.
      Just then, the sky darkened. A cl wind picked up, and heavy raindrps began t fall. “Under here!” my father 48 . We rushed beneath the ak’s wide branch as the sky pened up. The tree acted as a perfect umbrella, its thick leaves 49 us cmpletely.
      As dusk fell, a cldness filled the air. Seeing me tremble, my father 50 fallen branches frm arund the tree’s base. Sn, he had a small, crackling fire ging. We huddled clse, its 51 pushing back the cld.
      Using a thick layer f dry ak leaves, we made a sft 52 fr the night. Lying there, sheltered, I 53 the rain fall abve. The tree I had called 54 had given us shelter and a safe rest. Sme 55 are nt the nes yu seek, but the nes yu find.
      41. A. explainB. cmplainC. cmmandD. measure
      42. A. treeB. caveC. hutD. stream
      43. A. discveredB. rememberedC. designedD. imagined
      44. A. penedB. achedC. tightenedD. watered
      45. A. galB. visinC. rderD. excuse
      46. A. blssmsB. applesC. leavesD. pears
      47. A. sinkingB. beatingC. cryingD. kicking
      48. A. sighedB. whisperedC. arguedD. yelled
      49. A. refreshingB. shelteringC. attractingD. cnnecting
      50. A. gatheredB. burnedC. bughtD. arranged
      51. A. lightB. warmthC. smkeD. smell
      52. A. chairB. tentC. bedD. pillw
      53. A. thught fB. reflected nC. listened tD. wrried abut
      54. A. pricelessB. hpelessC. endlessD. valueless
      55. A. giftsB. lessnsC. chancesD. memries
      第二节 (共10小题;每小题1.5分,满分15分)
      阅读下面短文,在空白处填入1个适当的单词或括号内单词的正确形式。
      The 2025 Wrld Physical Educatin Alliance (联盟) Cnference, at 56 mre than 500 experts and schlars frm nearly 20 cuntries and regins gathered t discuss the future f glbal sprts educatin, cncluded in Cair, Egypt, n Saturday.
      In his vide address, Dai Liyi, vice-president f Shanghai-based East China Nrmal University, which hsted the cnference, said, “The alliance, which 57 (establish) tw years ag with a missin t prmte dialgue and cmmunicatin between civilizatins, is evlving 58 a Chinese initiative t a platfrm f glbal sharing.”
      Fathi Nada, president f the Egyptian Natinal Sprts Federatin, highlighted that the five-day event prvided Egypt with 59 internatinal perspective n sprts educatin and ffered a valuable pprtunity fr higher-level cultural cperatin between China and Egypt. “The cnference is expected 60 (serve) as a new starting pint t facilitate 61 (brad) and deeper develpment f sprts educatin in the Middle East, Africa, 62 arund the wrld,” he added.
      During the academic sessins f the event, experts and schlars frm 14 cuntries, including the United States, New Zealand, the United Kingdm, Turkiye, and Malaysia, engaged in discussins n a 63 (vary) f tpics, such as the inheritance (继承) f traditinal sprts culture, sprts educatin designed fr special grups, and the develpment f inclusive sprts. Several schlars presented lcal practice cases while 64 (illustrate) unique develpment paths fr sprts educatin in different cultural 65 (cntext).
      第四部分 写作(共两节,满分40分)
      第一节 (满分15分)
      假设你是高中生李华,你校英文报正在举办题为 “My Experience with an AI Learning Tl” 的征文活动。请你写一篇短文投稿,内容包括:
      1. AI学习工具简介;2. 该工具对你学习的影响。
      注意:1. 词数80左右;2. 可以适当增加细节,以使行文连贯;
      第二节 (满分25分)
      阅读下面短文,根据其内容和所给段落开头语续写两段,使之构成一篇完整的短文。
      When I landed in a small twn in New Zealand as an exchange student, I thught I was ready fr everything — new faces, language barriers, strange scial patterns and even hmesickness. Still, the smallest things made me feel ut f place.
      Luckily, the Wilsns, my hst family, did everything they culd t help me settle in — driving me arund, sharing meals, and even letting me use their kitchen when I missed Chinese fd. With their warmth and supprt, everything seemed t fall int place.
      But at schl, small mments felt bigger than I’d imagined. In ur first literature class, we discussed a Hemingway stry. Everyne jumped in actively, while I struggled t speak up. My desk-mate encuraged me, “Next time, just speak up.” I ndded, frcing a bitter smile.
      And just like that, I fund myself in anther cultural trap, Mrs. Wilsn’s birthday dinner. At the table, I answered plitely but kept mstly t myself. Mrs. Wilsn nticed my silence and gently asked, “Yu alright, sweet girl? Yu’ re s quiet tnight.” My face reddened. Was my silence seen as cld, rather than plite?
      That night, restless and wide awake, I wndered if I needed t laugh luder, speak faster; r hide parts f myself just t feel I belnged. Questins flded my mind, nne with answers.
      A few days later, ur teacher annunced there wuld be a Culture Festival next week. “Yu’ ll prepare a stand t share yur wn culture — fd, crafts, custms ... anything meaningful. Yu can nt nly display yur culture but als make it interactive, allwing peple t try new things, learn traditinal skills; r share stries and cultural symbls,” she said. The class lit up with excitement. I sat frzen, mind racing: hw culd I share my traditins in English? The thught made my stmach twisted (扭曲). Yet, I gathered myself with a deep breath and signed up. After that, I threw myself whleheartedly int preparatins, until the day finally came.
      注意: 1. 所续写短文的词数应为150左右; 2. 续写部分分为两段,每段的开头语已为你写好。
      襄阳四中2026届高三上学期质量检测(五)英语参考答案
      听力理解:1-5 AACBC 6-10 BCBAA11-15 ABCBC16-20 ABCCB
      阅读理解:21-23 BAC 24-27 CBDA28-31 DCCD 32-35 ACAC 36-40 BFAGC
      完形填空:41-45 BADDB 46-50 CADBA 51-55 BCCDA
      语法填空:56. which 57. was established58. frm 59. an /60. t serve
      61. brader 62. and 63. variety 64. illustrating 65. cntexts
      应用文:
      My Experience with an AI Learning Tl
      As AI bms, AI-pwered learning tls have becme invaluable cmpanins in my academic jurney. The ne I use mst is “Duba”, an app that integrates functins like intelligent questin analysis, instant translatin and persnalized practice.
      This tl has prfundly transfrmed my learning methds. When I get stuck n challenging math prblems, it breaks dwn the slutins step by step, helping me grasp key lgic instead f merely prviding answers. Fr English learning, its translatin feature clarifies tricky phrases with examples while the prnunciatin functin enhances my spken English. Additinally, it tracks my learning prgress, identifies my weak pints and recmmends targeted exercises, saving me time n srting ut review materials and letting me fcus n imprvement.
      Hwever, I always use it as a tl, nt a substitute fr independent thinking. Thanks t this intelligent assistant, I am nt nly learning mre efficiently but als fstering the ability t becme a self-directed and lifelng learner.
      读后续写:
      At the Culture Festival, I std behind my stand, nervus but ready. Taking a deep breath, I nce again neatly arranged all the well-prepared items: red paper, sharp scissrs, and several finished paper-cuttings. Sn, students and teachers gathered arund, their eyes twinkling with curisity. I greeted them with a smile and demnstrated: fld, cut, unfld — and a delicate butterfly spread its wings. A wave f surprise rippling thrugh the crwd, I explained that paper-cutting symblizes wishes fr happiness and gd frtune in Chinese culture. Eager t participate, a by stepped frward, his enthusiastic attempt sparking applause frm the crwd. With mre peple jining eagerly, I mved amng them, guided their hands and praised their effrts, weaving a shared mment f laughter and bsting my cnfidence.
      Frm that day n, my wrld here started t change. Classmates ften came t me with questins abut China — frm Spring Festival t calligraphy. In literature class, I shared hw Chinese pems express emtins, linking them t Hemingway’s style. At the Wilsns’, I taught them hw t use chpsticks and tld stries abut custms in my hmetwn. I n lnger hid r pretended, but tried t share my wn stry, which was warmly embraced as a genuine eye-pener. The cultural trap that nce made me feel awkward vanished, replaced by a sense f belnging and mutual understanding. This warmth, wven int the everyday rhythm f my life, led me t a prfund realizatin: I had nt nly brken free frm cultural shck but als fund my place in a shared stry — ne written by many vices, yet pen enugh t hld my wn.
      *On my stand lay a simple tea set, several teacups, biled water and a bag f tea. Sn, students and teachers, attracted by this delicate tea set, surrunded my stand, wndering what I’d like t d. Nticing curisity written all ver their faces, I tk a deep breath and began the tea ceremny — warm the teapt, add tea leaves, pur water and brew. Several minutes later, sthing arma drifted thrugh the air. Befre I served them, I gently suggested that we all take a quiet mment and sip tea slwly.
      听力原文:
      Text 1
      M: Mrs. Andersn, I’m thinking abut taking sme time ff. I really need a break frm wrk.
      W: Oh, the bss was just asking if yu are available fr next week’s shifts. Are yu sure?
      M: Abslutely. I’ll finally take that trip I’ve been pstpning.
      Text 2
      W: Did yu see the lk n Nancy’s face when she heard the news?
      M: Yeah, she didn’t expect t take secnd place. It was nt the result she had hped t achieve.
      Text 3
      M: Hey, Fina. Is it alright if I cme arund nw t discuss the details f ur farewell party n Thursday?
      W: Oh, I’ll shw the freign guests arund the histry museum in an hur. Hw abut we d it tmrrw?
      Text 4
      M: Maria, did yu track the shipment f urgent medical supplies?
      W: Yes. The parcel is expected t arrive this afternn.
      M: Perfect! I’ll let my patients knw that.
      W: Well, yu have a meeting at the City Hall at 3:00 p.m. Wuld yu like me t arrange a car fr yu?
      Text 5
      M: I’m anxius t knw why I can’t figure ut the math prblem. I’ve been wrking n it fr almst an hur.
      W: Why nt stp t grab a cffee r take a walk? That may help yu spark new ideas.
      M: Maybe yu’re right.
      Text 6
      W: Excuse me, the sign there says “Buy ne, Get ne free”, but yu charged me the full price fr these tw blue shirts.
      M: Let me check ... Hmm, the prmtin nly applies t items that are priced at ver £20 each.
      W: Oh, I see. Mine were £19.5 each. I can’t believe 50 pennies made a difference!
      M: Yeah, there is fine print n every ffer. D yu want t change them?
      W: Yes. S, will I have t return them first?
      M: I’m afraid s. The purchase has already been prcessed.
      W: Okay. Oh, I wish I’d registered the fine print earlier.
      Text 7
      M: It’s already 9:30 a.m., and the meeting has been delayed fr half an hur.
      W: Mr. Jhnsn’s flight didn’t tuch dwn until 8:30 a.m., s he’s running late. We can’t start the meeting withut him.
      M: I was wndering hw lng we still have t wait. I’m abut t grab a cffee in the break rm.
      W: Hw abut suggesting he attend the meeting nline instead?
      M: Online? But what abut the presentatin?
      W: Actually, the main screen in the meeting rm is acting up again. The repairman was called up t fix it. Even if he arrives, we wn’t be able t display the presentatin n the screen.
      M: Then what are we waiting fr?
      Text 8
      M: Speaking f ur trip t Singapre next mnth, I was thinking f setting ff n Octber 2nd.
      W: Well, I’d prefer t set ut a bit earlier, maybe the 1st. That way, we can have a day t rest and switch t lcal time after we arrive.
      M: That sunds gd. I’ve lked up a few flight ptins. We can bk a direct flight, but it’s a bit expensive, arund $1,200. Or there’s a cnnecting flight fr $900. We’ll have a ne-night stpver in Frankfurt..
      W: Uh ... I think the direct flight wuld be better. It’ll save us quite a few hurs.
      M: Agreed. I’ll bk the direct flight fr us. What abut the accmmdatin in Singapre?
      W: Let’s chse a quite mdern htel with gd service near my aunt’s huse. I’ve fund ne n Orchard Rad. Its rates range frm $150 t $180 a night. It’s ver ur budget, but it’s very central.
      M: Sunds perfect. I’ll take care f the bking.
      Text 9
      W: Hell, Alex. What have yu been up t?
      M: Nthing special. A little busy, thugh.
      W: Well, I just wanted t remind yu that the deadline fr the paper is Friday, September 25th. Have yu added the finishing tuches t the abstract?
      M: It’s nearly dne, but I’m still nt sure abut the secnd paragraph.
      W: Well, Mr. McDaniel thinks the abstract shuld highlight the main findings. Maybe yu can cut ut sme f the cmplex terms in the secnd part. Keep it straightfrward.
      M: Understd. I used mre technical terms, but I see yur pint. I’ll revise sme f them. What abut the frmat f the paper?
      W: Mr. McDaniel said ur paper shuld be set in Times New Rman, size 12 and duble-spaced.
      M: Gt it. I’ll send it t Mr. McDaniel’s mailbx n Thursday.
      W: Excellent. Plus, dn’t frget the dinner party n the 26th. It’s a great chance t meet ther researchers and prfessrs in ur field. Yu never knw what cnnectins yu might make.
      Text 10
      When was the last time yu lked up and saw a clear sky full f stars? If yu live in a big city, the answer is prbably: a lng time ag. The reasn fr this is light pllutin. Streetlights, billbards and even the lights in ur huses blck ur view f the night sky and mask the stars. Accrding t a study, 60% f Eurpeans and almst fur-fifths f peple in Nrth America cannt see the Milky Way at night. Bright lights dn’t just make us miss a nice view. They als affect animals, cnfusing them when they migrate. Fr example, sea turtles, which navigate by the mn, ften becme disriented due t artificial lights n beaches. Birds that migrate at night are als thrwn ff curse by city lights, smetimes flying int buildings r changing their migratin patterns altgether. And this type f pllutin is bad fr human health by disrupting human sleep patterns. Luckily, there are slutins. First, cities can install streetlights that pint dwnward instead f spreading light in all directins. Then, shps can turn ff bright signs after midnight. Last, we culd fllw the Czech Republic’s example and intrduce a law against light pllutin. We may see the starry night sky nce again if we take actin nw.
      Decrease Greenhuse Gas Emissins
      Cmpsting reduces emissins by keeping wasted fd ut f landfills and ffsetting the need fr sme chemical substances.
      Trap Carbn
      Cmpst makes carbn stay in the sil instead f being released int the air directly.
      Build Fld & Drught Adaptability
      Cmpst enables the sil t better absrb and hld water, helping t reduce flding in heavy rains and maintain water during drughts.
      Enrich Sil
      Cmpst enhances sil health and plant grwth. It slwly discharges and preserves nutrients in the sil, reducing nutrient runff and prtecting water quality.
      My Experience with an AI Learning Tl
      At the Culture Festival, I std behind my stand, nervus but ready.
      Frm that day n, my wrld here started t change.

      相关试卷

      湖北省襄阳四中2026届高三上学期1月质量检测五英语试题(含答案):

      这是一份湖北省襄阳四中2026届高三上学期1月质量检测五英语试题(含答案),共7页。试卷主要包含了选择题的作答,非选择题的作答等内容,欢迎下载使用。

      英语-湖北省襄阳四中2026届高三年级上学期1月质量检测五试题及答案:

      这是一份英语-湖北省襄阳四中2026届高三年级上学期1月质量检测五试题及答案,共7页。试卷主要包含了选择题的作答,非选择题的作答等内容,欢迎下载使用。

      英语丨湖北省襄阳四中2026届高三上学期1月质量检测五试卷及答案:

      这是一份英语丨湖北省襄阳四中2026届高三上学期1月质量检测五试卷及答案,共7页。

      英语朗读宝
      资料下载及使用帮助
      版权申诉
      • 1.电子资料成功下载后不支持退换,如发现资料有内容错误问题请联系客服,如若属实,我们会补偿您的损失
      • 2.压缩包下载后请先用软件解压,再使用对应软件打开;软件版本较低时请及时更新
      • 3.资料下载成功后可在60天以内免费重复下载
      版权申诉
      若您为此资料的原创作者,认为该资料内容侵犯了您的知识产权,请扫码添加我们的相关工作人员,我们尽可能的保护您的合法权益。
      入驻教习网,可获得资源免费推广曝光,还可获得多重现金奖励,申请 精品资源制作, 工作室入驻。
      版权申诉二维码
      月考专区
      • 精品推荐
      • 所属专辑8份
      欢迎来到教习网
      • 900万优选资源,让备课更轻松
      • 600万优选试题,支持自由组卷
      • 高质量可编辑,日均更新2000+
      • 百万教师选择,专业更值得信赖
      微信扫码注册
      手机号注册
      手机号码

      手机号格式错误

      手机验证码 获取验证码 获取验证码

      手机验证码已经成功发送,5分钟内有效

      设置密码

      6-20个字符,数字、字母或符号

      注册即视为同意教习网「注册协议」「隐私条款」
      QQ注册
      手机号注册
      微信注册

      注册成功

      返回
      顶部
      学业水平 高考一轮 高考二轮 高考真题 精选专题 初中月考 教师福利
      添加客服微信 获取1对1服务
      微信扫描添加客服
      Baidu
      map