搜索
      上传资料 赚现金

      广东省珠海市第一中学2025-2026学年高一上学期第二次阶段考试数学试卷(Word版附解析)

      • 1.3 MB
      • 2026-01-19 17:05:26
      • 32
      • 0
      • 教习网3275309
      加入资料篮
      立即下载
      查看完整配套(共2份)
      包含资料(2份) 收起列表
      原卷
      广东省珠海市第一中学2025-2026学年高一上学期第二次阶段考试数学试卷(原卷版).docx
      预览
      解析
      广东省珠海市第一中学2025-2026学年高一上学期第二次阶段考试数学试卷 Word版含解析.docx
      预览
      正在预览:广东省珠海市第一中学2025-2026学年高一上学期第二次阶段考试数学试卷(原卷版).docx
      广东省珠海市第一中学2025-2026学年高一上学期第二次阶段考试数学试卷(原卷版)第1页
      高清全屏预览
      1/5
      广东省珠海市第一中学2025-2026学年高一上学期第二次阶段考试数学试卷(原卷版)第2页
      高清全屏预览
      2/5
      广东省珠海市第一中学2025-2026学年高一上学期第二次阶段考试数学试卷 Word版含解析第1页
      高清全屏预览
      1/19
      广东省珠海市第一中学2025-2026学年高一上学期第二次阶段考试数学试卷 Word版含解析第2页
      高清全屏预览
      2/19
      广东省珠海市第一中学2025-2026学年高一上学期第二次阶段考试数学试卷 Word版含解析第3页
      高清全屏预览
      3/19
      还剩3页未读, 继续阅读

      广东省珠海市第一中学2025-2026学年高一上学期第二次阶段考试数学试卷(Word版附解析)

      展开

      这是一份广东省珠海市第一中学2025-2026学年高一上学期第二次阶段考试数学试卷(Word版附解析),文件包含广东省珠海市第一中学2025-2026学年高一上学期第二次阶段考试数学试卷原卷版docx、广东省珠海市第一中学2025-2026学年高一上学期第二次阶段考试数学试卷Word版含解析docx等2份试卷配套教学资源,其中试卷共24页, 欢迎下载使用。
      命题:珠海市第一中学高一 数学备课组
      本试卷共 4 页,19 小题,满分 150 分.考试用时 120 分钟.
      注意事项:
      1.答题前,考生务必用黑色字迹的钢笔或签字笔将自己的姓名和考生号、考场号、座位号填写
      在答题卡上.并用 2B 铅笔将对应的信息点涂黑,不按要求填涂的,答卷无效.
      2.选择题每小题选出答案后,用 2B 铅笔把答题卡上对应题目选项的答案信息点涂黑,如需改
      动,用橡皮擦干净后,再选涂其他答案,答案不能答在试卷上.
      3.非选择题必须用黑色字迹钢笔或签字笔作答,答案必须写在答题卡各题目指定区域内相应位
      置上;如需改动,先划掉原来的答案,然后再写上新的答案,不准使用铅笔和涂改液.不按以
      上要求作答的答案无效.
      4.考生必须保持答题卡的整洁,考试结束后,只需将答题卡交回.
      一、选择题:本大题共 8 小题,每小题 5 分,共计 40 分.每小题给出的四个选项中,只有一个
      选项是正确的.请把正确的选项填涂在答题卡相应的位置上.
      1. 已知集合 , ,则 ( )
      A. B. C. D.
      2. ( )
      A. B. C. D.
      3. “ ”是“不等式 在 上恒成立”的( )
      A. 充分不必要条件 B. 必要不充分条件
      C. 充要条件 D. 既不充分也不必要条件
      4. 在平面直角坐标系 xOy 中,若角α的顶点为坐标原点,始边与 x 轴的非负半轴重合,终边经过点
      ,则 的值为( )
      A. B. C. D.
      第 1页/共 5页
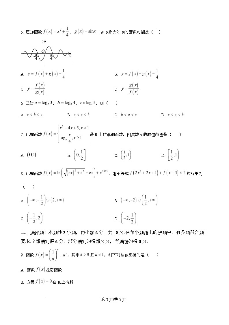
      5. 已知函数 , ,则图象为如图的函数可能是( )
      A. B.
      C. D.
      6 已知 , , ,则( )
      A B. C. D.
      7. 已知函数 是 R 上的单调函数,则实数 a 的取值范围是( )
      A B. C. D.
      8. 已知函数 ,则不等式 的解集为
      ( )
      A. B.
      C. D.
      二、选择题:本题共 3 小题,每小题 6 分,共 18 分.在每小题给出的选项中,有多项符合题目
      要求.全部选对得 6 分,部分选对的得部分分,有选错的得 0 分.
      9. 函数 ,其中 且 ,则下列结论正确的是( )
      A. 函数 是奇函数
      B. 方程 在 R 上有解
      第 2页/共 5页
      C. 函数 的图象过定点
      D. 当 时,函数 在其定义域上为增函数
      10. 下列选项正确的是( )
      A.
      B. 若 为第三象限角,则 不可能是第二象限角
      C. 若 ,且α为第二象限角,则
      D. 函数 区间 上单调递减
      11. 已知 为 上的奇函数,且当 时, .记 ,下列结论正确
      的是
      A. 为奇函数
      B. 若 一个零点为 ,且 ,则
      C. 在区间 的零点个数为 3 个
      D. 若 大于 1 的零点从小到大依次为 ,则
      三、填空题:本大题共 3 小题,每小题 5 分,共计 15 分.
      12. 一个扇形的弧长和面积都是 ,则这个扇形的圆心角的弧度数为______.
      13. 已知 且 ,则 ______.
      14. 已知函数 满足 ,若方程 有四个不相等的实
      数根,则实数 m 的取值范围为______
      四、解答题:本题共 5 小题,共 77 分.解答应写出文字说明、证明过程或演算步骤.
      15. 已知 , .
      (1)求 的值;
      第 3页/共 5页
      (2)求 的值.
      (3)求 的值.
      16. 已知函数 .
      (1)若 ,且 ,求 的值;
      (2)求函数 的最小正周期和最小值并写出 取最小值时自变量 x 的取值集合;
      (3)若 ,使不等式 能成立,求实数 m 的取值集合.
      17. 随着港珠澳大桥和深中通道的开通,珠海某村依托区位优势,大力发展民宿旅游产业.为增加村民收入,
      村集体计划投资改造一批精品民宿并于 2026 年初投入运营.据市场调研和成本核算:项目初期需投入固定成
      本 ( 如 基 础 设 施 升 级 等 ) 20 万 元 .此 外 , 装 修 及 维 护 x 栋 民 宿 的 变 动 成 本 为 万 元 , 且
      .调研数据显示,每间装修好的民宿预计 2026 年一年可带来稳
      定的 30 万元收入.
      (1)若装修 15 栋民宿,预计 2026 年一年的利润有多少万元?
      (2)请将该批民宿改造后的 2026 年年利润 (万元)表示为装修数量 (栋)的函数关系式:
      (3)为了实现 2026 年年利润最大化,该村应装修多少栋民宿?并求出年利润的最大值.
      (附:年利润=年收入-变动成本-固定成本)
      18. 已知函数 是偶函数.
      (1)求实数 的值.
      (2)当 时,函数 存在零点,求实数 a 的取值范围.
      19. 若函数 对定义域内的每一个值 ,在其定义域内都存在唯一的 ,使 成立,
      则称该函数为“依赖函数”.
      第 4页/共 5页
      (1)判断函数 是否为“依赖函数”,并说明理由;
      (2)若函数 在定义域 ( )上为“依赖函数”,求 的取值范围;
      (3)已知函数 在定义域 上为“依赖函数”.若存在实数 ,使得对任
      意的 ,不等式 恒成立,求实数 的最大值.
      第 5页/共 5页

      相关试卷

      广东省珠海市第一中学2025-2026学年高一上学期第二次阶段考试数学试卷(Word版附解析):

      这是一份广东省珠海市第一中学2025-2026学年高一上学期第二次阶段考试数学试卷(Word版附解析),文件包含广东省珠海市第一中学2025-2026学年高一上学期第二次阶段考试数学试卷原卷版docx、广东省珠海市第一中学2025-2026学年高一上学期第二次阶段考试数学试卷Word版含解析docx等2份试卷配套教学资源,其中试卷共24页, 欢迎下载使用。

      广东省珠海市第一中学2025-2026学年高一上学期第二次阶段考试数学试卷(Word版附解析):

      这是一份广东省珠海市第一中学2025-2026学年高一上学期第二次阶段考试数学试卷(Word版附解析),文件包含广东省珠海市第一中学2025-2026学年高一上学期第二次阶段考试数学试卷原卷版docx、广东省珠海市第一中学2025-2026学年高一上学期第二次阶段考试数学试卷Word版含解析docx等2份试卷配套教学资源,其中试卷共24页, 欢迎下载使用。

      广东省珠海市第一中学2025-2026学年高二上学期期中考试数学试卷试卷(Word版附解析):

      这是一份广东省珠海市第一中学2025-2026学年高二上学期期中考试数学试卷试卷(Word版附解析),文件包含广东省珠海市第一中学2025-2026学年高二上学期期中考试数学试卷Word版含解析docx、广东省珠海市第一中学2025-2026学年高二上学期期中考试数学试卷Word版无答案docx等2份试卷配套教学资源,其中试卷共30页, 欢迎下载使用。

      资料下载及使用帮助
      版权申诉
      • 1.电子资料成功下载后不支持退换,如发现资料有内容错误问题请联系客服,如若属实,我们会补偿您的损失
      • 2.压缩包下载后请先用软件解压,再使用对应软件打开;软件版本较低时请及时更新
      • 3.资料下载成功后可在60天以内免费重复下载
      版权申诉
      若您为此资料的原创作者,认为该资料内容侵犯了您的知识产权,请扫码添加我们的相关工作人员,我们尽可能的保护您的合法权益。
      入驻教习网,可获得资源免费推广曝光,还可获得多重现金奖励,申请 精品资源制作, 工作室入驻。
      版权申诉二维码
      欢迎来到教习网
      • 900万优选资源,让备课更轻松
      • 600万优选试题,支持自由组卷
      • 高质量可编辑,日均更新2000+
      • 百万教师选择,专业更值得信赖
      微信扫码注册
      手机号注册
      手机号码

      手机号格式错误

      手机验证码 获取验证码 获取验证码

      手机验证码已经成功发送,5分钟内有效

      设置密码

      6-20个字符,数字、字母或符号

      注册即视为同意教习网「注册协议」「隐私条款」
      QQ注册
      手机号注册
      微信注册

      注册成功

      返回
      顶部
      学业水平 高考一轮 高考二轮 高考真题 精选专题 初中月考 教师福利
      添加客服微信 获取1对1服务
      微信扫描添加客服
      Baidu
      map