搜索
      上传资料 赚现金

      云南省曲靖市民族中学2025届九年级上学期期末模拟考试数学试卷(含解析)

      • 274.27 KB
      • 2025-12-31 12:06:18
      • 23
      • 0
      • 数学小海洋
      加入资料篮
      立即下载
      云南省曲靖市民族中学2025届九年级上学期期末模拟考试数学试卷(含解析)第1页
      高清全屏预览
      1/12
      云南省曲靖市民族中学2025届九年级上学期期末模拟考试数学试卷(含解析)第2页
      高清全屏预览
      2/12
      云南省曲靖市民族中学2025届九年级上学期期末模拟考试数学试卷(含解析)第3页
      高清全屏预览
      3/12
      还剩9页未读, 继续阅读

      云南省曲靖市民族中学2025届九年级上学期期末模拟考试数学试卷(含解析)

      展开

      这是一份云南省曲靖市民族中学2025届九年级上学期期末模拟考试数学试卷(含解析),共12页。试卷主要包含了本卷为试题卷等内容,欢迎下载使用。
      注意事项:
      1.本卷为试题卷.考生必须在答题卡上解题作答.答案应书写在答题卡的相应位置上,在试题卷、草稿纸上作答无效.
      2.考试结束后,请将试题卷和答题卡一并交回.
      一、选择题(本大题共12小题,每小题只有一个正确选项,每小题3分,共36分)
      1. 下列所给的汽车标志图案中,既是轴对称图形,又是中心对称图形的是( )
      A. B.
      C. D.
      答案:B
      解:A.是轴对称图形,不是中心对称图形,故本选项不符合题意;
      B.是轴对称图形,也是中心对称图形,故本选项符合题意;
      C.是轴对称图形,不是中心对称图形,故本选项不符合题意;
      D.是轴对称图形,不是中心对称图形,故本选项不符合题意.
      故选B.
      2. 解一元二次方程,最简单的方法是( )
      A. 因式分解法B. 配方法C. 公式法D. 直接开平方法
      答案:D
      解:,
      ,,
      ∴采用直接开平方法最简单.
      故选:D.
      3. 一元二次方程的根的情况是( )
      A. 有两个不相等的实数根B. 无实数根
      C. 有两个相等的实数根D. 无法确定
      答案:C
      解:,
      ∴一元二次方程有两个相等的实数根,
      故选:C.
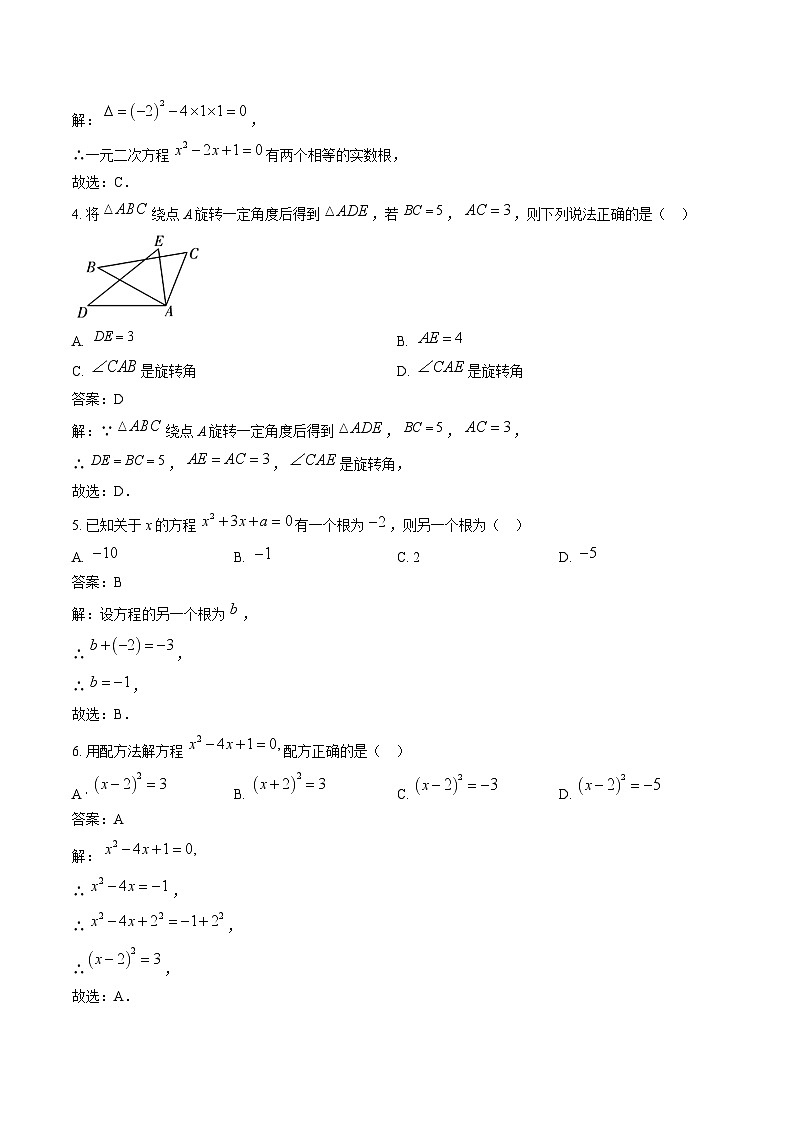
      4. 将绕点A旋转一定角度后得到,若,,则下列说法正确的是( )
      A. B.
      C. 是旋转角D. 是旋转角
      答案:D
      解:∵绕点A旋转一定角度后得到,,,
      ∴,,是旋转角,
      故选:D.
      5. 已知关于x的方程有一个根为,则另一个根为( )
      A. B. C. 2D.
      答案:B
      解:设方程的另一个根为,
      ∴,
      ∴,
      故选:B.
      6. 用配方法解方程配方正确的是( )
      A B. C. D.
      答案:A
      解:
      ∴,
      ∴,
      ∴,
      故选:A.
      7. 已知点关于原点的对称点在第一象限,则的取值范围在数轴上表示正确的是( )
      A. B.
      C. D.
      答案:C
      解:∵点关于原点的对称点在第一象限,
      ∴点在第三象限,
      ∴,
      解不等式①得,,
      解不等式②得,,
      在数轴上表示如下:

      故选:C.
      8. 设,,是抛物线图象上的三点,则的大小关系为( )
      A. B.
      C. D. 无法确定
      答案:A
      解:∵抛物线的开口向上,对称轴是直线,
      ∴当时,y随x的增大而增大,
      ∴关于称轴是直线的对称点是,
      ∵,
      ∴,
      故选:A.
      9. 小张的书法作品荣获学校书法比赛一等奖.作品尺寸如图所示:书法作品长5尺,宽3尺;将书法作品贴在一张矩形装裱纸的正中央,书法作品四周外露装裱纸的宽度相同;矩形装裱纸的面积为书法作品面积的2倍.设书法作品四周外露装裱纸的宽度为x尺,下面所列方程正确的是( )
      A. B.
      C. D.
      答案:A
      解:根据题意得:矩形装裱纸的长为尺,宽为尺,
      其面积为平方尺,
      根据题意得:

      故选:A.
      10. 将抛物线平移得到,下列平移方法正确的是( )
      A. 先向左平移3个单位,再向下平移1个单位
      B. 先向右平移3个单位,再向上平移1个单位
      C. 先向左平移1个单位,再向下平移3个单位
      D. 先向右平移1个单位,再向下平移3个单位
      答案:B
      解:抛物线的顶点坐标为,
      的顶点坐标为,
      抛物线先向右平移3个单位,再向上平移1个单位得到.
      故选:B.
      11. 菱形一条对角线长为8,边的长是方程的一个根,则菱形的周长为( )
      A. 16B. 20C. 16或20D. 32
      答案:B
      解:由题意可知,边的长是方程的一个根,
      解方程:,

      解得:,,
      ∵菱形的一条对角线长为8,
      ∴当时,,不能构成三角形,
      当时,,能构成三角形,
      ∴,
      ∴菱形的周长,
      故选:B.
      12. 如图是二次函数的图象,有下面四个结论:;;
      ;,其中正确的结论是
      A. B. C. D.
      答案:D
      ①根据抛物线开口方向得到,根据对称轴得到,根据抛物线与轴的交点在轴下方得到,所以,故①正确.
      ②时,由图像可知此时,即,故②正确.
      ③由对称轴,可得,所以错误,故③错误;
      ④当时,由图像可知此时,即,将③中变形为,代入可得,故④正确.
      故答案选D.
      二、填空题(本大题共6小题,每小题3分,共18分)
      13. 点关于原点的对称点的坐标为________.
      答案:
      解:∵点的坐标是,关于原点的对称点的点的横坐标互为相反数,纵坐标互为相反数,
      ∴点关于原点的对称点的坐标是,
      故答案为:.
      14. 一元二次方程:的解为:____________.
      答案:,
      解:,
      即,
      解得,.
      故答案为:,.
      15. 二次函数图象的顶点坐标是______.
      答案:(-1,-4)
      二次函数图象的顶点坐标是.
      16. 若关于的一元二次方程有实数根,则的取值范围是____________________.
      答案:且
      解:根据一元二次方程的定义,可得,
      解得,
      ∵方程有实数根,
      ∴,
      解得,
      ∴的取值范围是且.
      故答案为:且.
      17. 有一人患了流感,经过两轮传染后共有人患了流感,那么每轮传染中平均一个人传染给__________个人.
      答案:7
      设每轮传染中平均一个人传染给x个人,
      则根据题意可知:,
      解得:x=7或x=-9(舍去),
      故每轮传染中平均一个人传染给7个人.
      18. 如图,抛物线:经过平移得到抛物线:,抛物线的对称轴与两段抛物线所围成的阴影部分的面积是______ .
      答案:4
      因为=,所以阴影部分的面积是边长为2的正方形的面积,即2²=4,故答案为4.
      三、解答题(本大题共6小题,共46分)
      19. 解下列方程:
      (1);
      (2);
      (3).
      答案:(1),;
      (2),;
      (3),.
      【小问1详解】
      解:,
      ∴,
      整理得:,
      ∴,
      解得:,;
      【小问2详解】
      解:,
      ∴,
      ∴,
      ∴,
      ∴或,
      解得:,;
      【小问3详解】
      解:,
      ∴,
      ∴,
      ∴,
      ∴,
      ∴或,
      解得:,.
      20. 已知二次函数的顶点坐标为,且其图象经过点,求此二次函数的解析式.
      答案:
      解:∵二次函数的顶点坐标为,
      ∴可设抛物线解析式为,
      把代入得,
      解得,
      所以抛物线解析式为
      21. 收发微信红包已成为各类人群进行交流联系、增强感情的一种方式,如图所示是甜甜和她的妹妹在六一儿童节期间的对话:
      请问:2020年到2022年甜甜和她妹妹在“六一”收到红包的年增长率是多少?
      答案:2020年到2022年甜甜和她妹妹在“六一”收到红包的年增长率为.
      解:设甜甜和她妹妹在“六一”收到红包的年增长率是,依题意得:

      解得:(舍去),
      ∴,
      答:2020年到2022年甜甜和她妹妹在“六一”收到红包的年增长率为.
      22. 如图,E是正方形的边上一点,以点A为中心,把绕点A逆时针旋转得到,连接
      (1)求的度数;
      (2)若求的长.
      答案:(1);
      (2).
      【小问1详解】
      解:∵绕点A逆时针旋转得到,
      ∴;
      【小问2详解】
      解:∵四边形是正方形,
      ∴,
      ∴,
      由旋转可得:,
      ∵,
      ∴.
      23. 某商品进价为每件20元,售价为每件30元,每个月可卖出180件.如果每件商品的售价每上涨1元,则每个月就会少卖出10件,但每件售价不能高于35元,设每件商品的售价上在x元(x为整数),每个月的销售利润为y元。
      (1)求y与x的函数关系式,并直接写出自变量x的取值范围;
      (2)当x为何值时y的值为1920?
      (3)每件商品的售价为多少元时,每个月可获得最大利润?最大利润是多少?
      答案:(1)(,且x为整数)
      (2)
      (3)每件商品的售价为34元时,商品的利润最大,最大利润为1960元
      【小问1详解】
      解:
      (,且x为整数)
      【小问2详解】
      解:
      ,,
      解得或,
      ∵,
      ∴,
      ∴当时,y的值为1920;
      【小问3详解】
      解:由(1)知,.
      ∵,
      ∴开口向下
      ∴当时,y取最大值,元:
      ∴每件商品的售价为34元,
      答:每件商品的售价为34元时,商品的利润最大,最大利润为1960元.
      24. 如图,二次函数与x轴交于A,B两点,与y轴交于C点.已知,点A的坐标为(–1,0).
      (1)求这个二次函数图象的顶点坐标;
      (2)已知第一象限内的点D(m,m+1)在二次函数图象上,探究CD与x轴的位置关系;
      (3)在(2)的条件下,求点D关于直线BC的对称点的坐标.
      答案:(1)(,)
      (2)轴
      (3)(0,1)
      【小问1详解】
      ∵,
      ∴二次函数图象的顶点坐标为(,);
      【小问2详解】
      ∵第一象限内的点D(m,m+1)在二次函数图象上,
      ∴,
      解得,(不合题意,舍去),
      ∴D(3,4);
      当时,代入得,
      ∴C(0,4),
      ∴轴;
      【小问3详解】
      对于,
      令,则,解得,,
      ∴A(-1,0),B(-4,0);
      又∵C(0,4),
      ∴,
      ∴是等腰直角三角形,
      ∴,
      ∵轴,
      ∴轴,
      ∴,
      ∵点D关于直线BC的对称点为,
      ∴在轴上,如图所示,则
      ∴ ,
      ∴的坐标为(0,1).

      相关试卷 更多

      资料下载及使用帮助
      版权申诉
      • 1.电子资料成功下载后不支持退换,如发现资料有内容错误问题请联系客服,如若属实,我们会补偿您的损失
      • 2.压缩包下载后请先用软件解压,再使用对应软件打开;软件版本较低时请及时更新
      • 3.资料下载成功后可在60天以内免费重复下载
      版权申诉
      若您为此资料的原创作者,认为该资料内容侵犯了您的知识产权,请扫码添加我们的相关工作人员,我们尽可能的保护您的合法权益。
      入驻教习网,可获得资源免费推广曝光,还可获得多重现金奖励,申请 精品资源制作, 工作室入驻。
      版权申诉二维码
      欢迎来到教习网
      • 900万优选资源,让备课更轻松
      • 600万优选试题,支持自由组卷
      • 高质量可编辑,日均更新2000+
      • 百万教师选择,专业更值得信赖
      微信扫码注册
      手机号注册
      手机号码

      手机号格式错误

      手机验证码 获取验证码 获取验证码

      手机验证码已经成功发送,5分钟内有效

      设置密码

      6-20个字符,数字、字母或符号

      注册即视为同意教习网「注册协议」「隐私条款」
      QQ注册
      手机号注册
      微信注册

      注册成功

      返回
      顶部
      中考一轮 精选专题 初中月考 教师福利
      添加客服微信 获取1对1服务
      微信扫描添加客服
      Baidu
      map