搜索
      上传资料 赚现金

      河北省唐山市十校2025-2026学年高三上学期12月期中数学试题(含答案)

      • 1.47 MB
      • 2025-12-03 07:05:15
      • 22
      • 0
      • 教习网会员03
      加入资料篮
      立即下载
      查看完整配套(共2份)
      包含资料(2份) 收起列表
      试卷
      河北省唐山市十校2025-2026学年高三上学期12月期中考试数学试题.pdf
      预览
      答案
      数学答案Ⅱ.docx
      预览
      正在预览:河北省唐山市十校2025-2026学年高三上学期12月期中考试数学试题.pdf
      河北省唐山市十校2025-2026学年高三上学期12月期中考试数学试题第1页
      高清全屏预览
      1/2
      数学答案Ⅱ第1页
      高清全屏预览
      1/5
      数学答案Ⅱ第2页
      高清全屏预览
      2/5
      还剩1页未读, 继续阅读

      河北省唐山市十校2025-2026学年高三上学期12月期中数学试题(含答案)

      展开

      这是一份河北省唐山市十校2025-2026学年高三上学期12月期中数学试题(含答案),文件包含河北省唐山市十校2025-2026学年高三上学期12月期中考试数学试题pdf、数学答案Ⅱdocx等2份试卷配套教学资源,其中试卷共7页, 欢迎下载使用。
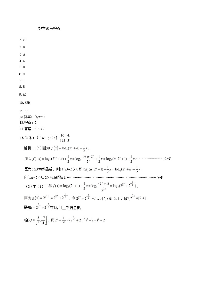
      1.C
      2.D
      3.A
      4.A
      5.B
      6.C
      7.B
      8.B
      9.AB
      10.ABD
      11.CD
      12.答案:(3,+∞)
      13.答案:2
      14.答案:-1-√2
      15.答案:(1)a=1;(2)
      解析:(1)因为
      ,………………………(2分)
      因为f(x)为偶函数,则f(-x)=f(x),即
      所以a·2×+1=2×+a,解得a=1.………………………………………………………………………(5分)
      (2)由(1)可
      ,因为x∈[2,4],所以易知在[2,4]上单调递增,
      所以
      即mt²-2mt-2m+l≥0对任意的恒成立,…………………………………………………(8分)
      当m=0时,mt²-2mt-2m+l≥0恒成立,………………………………………………………(9分)
      当m>0时,要使mt²-2mt-2m+l≥0恒成立,只需将代入满足即可,
      所以,所以,即;……………………………………(10分)
      当m

      相关试卷

      河北省唐山市2025-2026学年度高三上学期期末考试数学试题及答案:

      这是一份河北省唐山市2025-2026学年度高三上学期期末考试数学试题及答案,共8页。

      河北省唐山市第二中学2025-2026学年高三上学期12月月考数学试题:

      这是一份河北省唐山市第二中学2025-2026学年高三上学期12月月考数学试题,共4页。

      河北省唐山市第三中学2025-2026学年高三上学期12月月考数学试题:

      这是一份河北省唐山市第三中学2025-2026学年高三上学期12月月考数学试题,共4页。

      资料下载及使用帮助
      版权申诉
      • 1.电子资料成功下载后不支持退换,如发现资料有内容错误问题请联系客服,如若属实,我们会补偿您的损失
      • 2.压缩包下载后请先用软件解压,再使用对应软件打开;软件版本较低时请及时更新
      • 3.资料下载成功后可在60天以内免费重复下载
      版权申诉
      若您为此资料的原创作者,认为该资料内容侵犯了您的知识产权,请扫码添加我们的相关工作人员,我们尽可能的保护您的合法权益。
      入驻教习网,可获得资源免费推广曝光,还可获得多重现金奖励,申请 精品资源制作, 工作室入驻。
      版权申诉二维码
      期中专区
      • 精品推荐
      • 所属专辑9份
      欢迎来到教习网
      • 900万优选资源,让备课更轻松
      • 600万优选试题,支持自由组卷
      • 高质量可编辑,日均更新2000+
      • 百万教师选择,专业更值得信赖
      微信扫码注册
      手机号注册
      手机号码

      手机号格式错误

      手机验证码 获取验证码 获取验证码

      手机验证码已经成功发送,5分钟内有效

      设置密码

      6-20个字符,数字、字母或符号

      注册即视为同意教习网「注册协议」「隐私条款」
      QQ注册
      手机号注册
      微信注册

      注册成功

      返回
      顶部
      学业水平 高考一轮 高考二轮 高考真题 精选专题 初中月考 教师福利
      添加客服微信 获取1对1服务
      微信扫描添加客服
      Baidu
      map