搜索
      上传资料 赚现金

      浙江省余杭临平富阳绍兴联考2025-2026学年第一学期七年级期中考试数学试卷(含答题卷、参考答案)

      • 1.04 MB
      • 2025-11-26 19:46:27
      • 21
      • 0
      • Math 范
      加入资料篮
      立即下载
      查看完整配套(共6份)
      包含资料(6份) 收起列表
      练习
      202510浙江省余杭临平富阳绍兴2025-2026学年第一学期联考七年级数学独立作业答题卷.docx
      预览
      试卷
      202510浙江省余杭临平富阳绍兴2025-2026学年第一学期联考七年级数学独立作业试题卷.docx
      预览
      练习
      202510浙江省余杭临平富阳绍兴2025-2026学年第一学期联考七年级数学独立作业答题卷.pdf
      预览
      试卷
      202510浙江省余杭临平富阳绍兴2025-2026学年第一学期联考七年级数学独立作业试题卷.pdf
      预览
      答案
      202510浙江省余杭临平富阳绍兴2025-2026学年第一学期联考七年级数学独立作业参考答案.docx
      预览
      答案
      202510浙江省余杭临平富阳绍兴2025-2026学年第一学期联考七年级数学独立作业参考答案.pdf
      预览
      正在预览:202510浙江省余杭临平富阳绍兴2025-2026学年第一学期联考七年级数学独立作业答题卷.docx
      202510浙江省余杭临平富阳绍兴2025-2026学年第一学期联考七年级数学独立作业答题卷第1页
      高清全屏预览
      1/4
      202510浙江省余杭临平富阳绍兴2025-2026学年第一学期联考七年级数学独立作业答题卷第2页
      高清全屏预览
      2/4
      202510浙江省余杭临平富阳绍兴2025-2026学年第一学期联考七年级数学独立作业试题卷第1页
      高清全屏预览
      1/4
      202510浙江省余杭临平富阳绍兴2025-2026学年第一学期联考七年级数学独立作业试题卷第2页
      高清全屏预览
      2/4
      202510浙江省余杭临平富阳绍兴2025-2026学年第一学期联考七年级数学独立作业答题卷第1页
      高清全屏预览
      1/4
      202510浙江省余杭临平富阳绍兴2025-2026学年第一学期联考七年级数学独立作业答题卷第2页
      高清全屏预览
      2/4
      202510浙江省余杭临平富阳绍兴2025-2026学年第一学期联考七年级数学独立作业试题卷第1页
      高清全屏预览
      1/4
      202510浙江省余杭临平富阳绍兴2025-2026学年第一学期联考七年级数学独立作业试题卷第2页
      高清全屏预览
      2/4
      202510浙江省余杭临平富阳绍兴2025-2026学年第一学期联考七年级数学独立作业参考答案第1页
      高清全屏预览
      1/3
      202510浙江省余杭临平富阳绍兴2025-2026学年第一学期联考七年级数学独立作业参考答案第1页
      高清全屏预览
      1/3
      还剩2页未读, 继续阅读

      浙江省余杭临平富阳绍兴联考2025-2026学年第一学期七年级期中考试数学试卷(含答题卷、参考答案)

      展开

      这是一份浙江省余杭临平富阳绍兴联考2025-2026学年第一学期七年级期中考试数学试卷(含答题卷、参考答案),文件包含202510浙江省余杭临平富阳绍兴2025-2026学年第一学期联考七年级数学独立作业答题卷docx、202510浙江省余杭临平富阳绍兴2025-2026学年第一学期联考七年级数学独立作业试题卷docx、202510浙江省余杭临平富阳绍兴2025-2026学年第一学期联考七年级数学独立作业答题卷pdf、202510浙江省余杭临平富阳绍兴2025-2026学年第一学期联考七年级数学独立作业试题卷pdf、202510浙江省余杭临平富阳绍兴2025-2026学年第一学期联考七年级数学独立作业参考答案docx、202510浙江省余杭临平富阳绍兴2025-2026学年第一学期联考七年级数学独立作业参考答案pdf等6份试卷配套教学资源,其中试卷共22页, 欢迎下载使用。
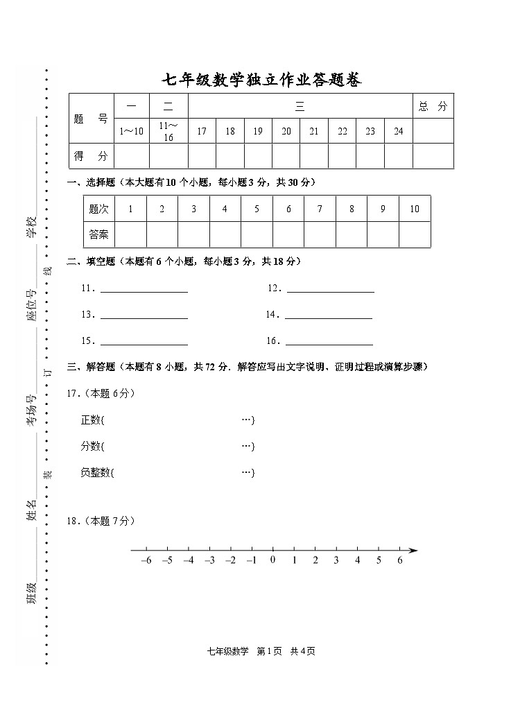
      一、选择题(本题有10小题,每小题3分,共30分。每小题只有一个选项是正确的,不选、多选、错选,均不给分)
      1.若向南走3米记作+3米,则-4米表示( ▲ )。
      A.向东走4米B.向西走4米
      C.向北走4米 D.向前走4米
      2.-15的相反数是( ▲ )。
      A.-15B.15 C.-5 D.5
      3.在-83,0,-3,|-2|四个有理数中,最小的数是( ▲ )。
      A.-83 B.0 C.-3 D.|-2|
      4.下列各数中,比-1大的数是( ▲ )。
      A.-2 B.-1.1 C.-1 D.0
      5.我们可用数轴直观研究有理数及其运算。如图,将物体从点B向右平移5个单位到点A,可以表示这一变化过程的算式为( ▲ )。
      A.-3-5B.-3+5
      C.2-5D.2+5
      6.若(-3)×□的运算结果为正数,则□内的数字可以为( ▲ )。
      A.-2B.1C.0D.3
      7.下列计算正确的是( ▲ )。
      A.(-6)-(+3)=3B.(-6)×3=-18
      C.(-6)÷3=2D.(-6)+(-3)=-3
      8.若-2减去一个有理数的差是-9,则这个有理数是( ▲ )。
      A.7B.-7C.-11D.11
      9.如图,有理数a、b在数轴上的对应点如图所示,则下列式子中正确的是( ▲ )。
      A.a+b>0B.a-b>0
      C.ab>0D.ab<1
      七年级数学 第1页 共4页(2025.10)
      10.如图所示,将圆的周长分为4个单位长度,在圆的4个分点处标上数字0,1,2,3。数轴上的1个单位长度与这个圆周长的14相等。先让圆周上数字0所对应的点与数轴上的数1所对应的点重合,再让圆沿着数轴按逆时针方向滚动,那么数轴上的数-2025将与圆周上的数字( ▲ )重合。
      A.0B.1
      C.2 D.3
      非选择题部分
      二、填空题(本题有6题,每小题3分,共18分)
      11.-12的倒数是 ▲ 。
      12.某种零件,标明要求是⌀20±0.02 mm(⌀表示直径,单位:毫米),经检查,一个零件的直径是19.9 mm,该零件 ▲ (填“合格”或“不合格”)。
      13.绝对值小于3的所有整数的积是 ▲ 。
      14.若两个负整数的乘积是6,则这两个负整数的和为 ▲ 。
      15.现定义同级的两种运算“⊕”“∗”:对于任意两个数,a⊕b=a+b-1,a∗b=a÷b-1,则5⊕8∗[3⊕(-5)]的结果是 ▲ 。
      16.点M,P,N在数轴上,点M,N表示的数分别是-13和5,点P在M,N之间,现以点P为折点,将数轴向右对折。若点M对折后对应的点为Q,并且点Q和点N的距离为4个单位长度,则点P表示的数是 ▲ 。
      三、解答题(本题有8小题,共72分,解答需写出必要的文字说明、演算步骤或证明过程)
      17.(本题6分)把下列各数填入它所属的范围内。
      -8.4,22,73,0.33,0,-35,-9。
      正数{ …}
      分数{ …}
      负整数{ …}
      18.(本题7分)在数轴上表示下列各数:0,-1.5,312,-6,+5,并将这些数用“<”号连接。
      七年级数学 第2页 共4页(2025.10)
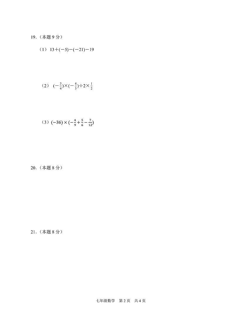
      19.(本题9分)计算:
      (1) 13+(-5)-(-21)-19
      (2) (-34)×(-43)÷2×12
      (3)(−36)×(−49+56−712)
      20.(本题8分)请仔细阅读下面的计算过程,并解答下面的问题。
      计算:(-125)÷(3-16-34)×(-6)
      解:原式=(-125)÷2512×(-6)……第一步
      =(-125)÷(-252)……第二步
      =10……第三步
      解答过程是否有错?若有,从第几步开始出错?原因是什么?最后请写出正确的计算过程。
      21.(本题8分)若|a|=5,|b|=3,且a+b<0,求a-b的值。
      22.(本题10分)某商家向农户订购了20箱苹果,以每箱25千克为标准质量装箱,超过的千克数用正数表示,不足的千克数用负数表示。结果记录如下:
      (1)在这20箱苹果中最重的一箱比最轻的一箱重多少千克?
      (2)与标准质量比较,20箱苹果总计超过或不足多少千克?
      七年级数学 第3页 共4页(2025.10)
      23.(本题12分)出租车司机小王某天上午营运都是在东西走向的某条大街上进行的,如果规定向东为正,向西为负,他这天上午的行程是(单位:千米):
      -5,-7,+10,-12,+15,+8,+3,-15,+12,-13。
      (1)将最后一名乘客送达目的地时,小王在出发点的什么方向?距出发点的距离是多少千米?
      (2)若汽车耗油量为0.6升/千米,出车时,邮箱有油61升,若小王将最后一名乘客送达目的地,再返回出发地,问小王今天下午是否需要加油?若要加油,至少需要加多少才能返回出发地?若不用加油,请说明理由。
      24.(本题12分)以2厘米为1个单位长度用直尺画数轴时,数轴上的点A,B,C刚好对着直尺上的刻度2,刻度8和刻度10,如图所示。设点A,B,C在数轴上所表示的数的和是p,该数轴的原点为O。
      (1)若点A所表示的数是-1,则点C所表示的数是 ▲ 。
      (2)若点A,B所表示的数互为相反数,求p的值。
      (3)若点C,O之间的距离为4厘米,求p的值。
      七年级数学 第4页 共4页(2025.10)与标准质量的差值(单位:千克)
      -2.1
      -2
      -1.5
      0
      1
      1.2
      2
      箱数
      1
      2
      4
      5
      3
      4
      1

      相关试卷

      浙江省余杭临平富阳绍兴联考2025-2026学年第一学期七年级期中考试数学试卷(含答题卷、参考答案):

      这是一份浙江省余杭临平富阳绍兴联考2025-2026学年第一学期七年级期中考试数学试卷(含答题卷、参考答案),文件包含202510浙江省余杭临平富阳绍兴2025-2026学年第一学期联考七年级数学独立作业答题卷docx、202510浙江省余杭临平富阳绍兴2025-2026学年第一学期联考七年级数学独立作业试题卷docx、202510浙江省余杭临平富阳绍兴2025-2026学年第一学期联考七年级数学独立作业答题卷pdf、202510浙江省余杭临平富阳绍兴2025-2026学年第一学期联考七年级数学独立作业试题卷pdf、202510浙江省余杭临平富阳绍兴2025-2026学年第一学期联考七年级数学独立作业参考答案docx、202510浙江省余杭临平富阳绍兴2025-2026学年第一学期联考七年级数学独立作业参考答案pdf等6份试卷配套教学资源,其中试卷共22页, 欢迎下载使用。

      浙江省余杭临平富阳绍兴联考2025-2026学年第一学期八年级期中考试数学试卷(含答题卷、参考答案):

      这是一份浙江省余杭临平富阳绍兴联考2025-2026学年第一学期八年级期中考试数学试卷(含答题卷、参考答案),文件包含202510浙江省余杭临平富阳绍兴2025-2026学年第一学期联考八年级数学独立作业试题卷docx、202510浙江省余杭临平富阳绍兴2025-2026学年第一学期联考八年级数学独立作业试题卷pdf、202510浙江省余杭临平富阳绍兴2025-2026学年第一学期联考八年级数学独立作业参考答案docx、202510浙江省余杭临平富阳绍兴2025-2026学年第一学期联考八年级数学独立作业答题卷docx、202510浙江省余杭临平富阳绍兴2025-2026学年第一学期联考八年级数学独立作业参考答案pdf、202510浙江省余杭临平富阳绍兴2025-2026学年第一学期联考八年级数学独立作业答题卷pdf等6份试卷配套教学资源,其中试卷共28页, 欢迎下载使用。

      2021年浙江省绍兴市七年级上学期数学期中联考试卷附答案:

      这是一份2021年浙江省绍兴市七年级上学期数学期中联考试卷附答案,共11页。试卷主要包含了选择题,填空题,解答题等内容,欢迎下载使用。

      资料下载及使用帮助
      版权申诉
      • 1.电子资料成功下载后不支持退换,如发现资料有内容错误问题请联系客服,如若属实,我们会补偿您的损失
      • 2.压缩包下载后请先用软件解压,再使用对应软件打开;软件版本较低时请及时更新
      • 3.资料下载成功后可在60天以内免费重复下载
      版权申诉
      若您为此资料的原创作者,认为该资料内容侵犯了您的知识产权,请扫码添加我们的相关工作人员,我们尽可能的保护您的合法权益。
      入驻教习网,可获得资源免费推广曝光,还可获得多重现金奖励,申请 精品资源制作, 工作室入驻。
      版权申诉二维码
      欢迎来到教习网
      • 900万优选资源,让备课更轻松
      • 600万优选试题,支持自由组卷
      • 高质量可编辑,日均更新2000+
      • 百万教师选择,专业更值得信赖
      微信扫码注册
      手机号注册
      手机号码

      手机号格式错误

      手机验证码 获取验证码 获取验证码

      手机验证码已经成功发送,5分钟内有效

      设置密码

      6-20个字符,数字、字母或符号

      注册即视为同意教习网「注册协议」「隐私条款」
      QQ注册
      手机号注册
      微信注册

      注册成功

      返回
      顶部
      中考一轮 精选专题 初中月考 教师福利
      添加客服微信 获取1对1服务
      微信扫描添加客服
      Baidu
      map