搜索
      上传资料 赚现金

      四川省乐山市第一中学2026届高三上学期10月月考数学试卷(Word版附解析)

      • 1.13 MB
      • 2025-11-06 15:01:24
      • 12
      • 0
      • 教习网3275309
      加入资料篮
      立即下载
      查看完整配套(共2份)
      包含资料(2份) 收起列表
      原卷
      四川省乐山市第一中学2026届高三上学期10月月考数学试卷(原卷版).docx
      预览
      解析
      四川省乐山市第一中学2026届高三上学期10月月考数学试卷 Word版含解析.docx
      预览
      正在预览:四川省乐山市第一中学2026届高三上学期10月月考数学试卷(原卷版).docx
      四川省乐山市第一中学2026届高三上学期10月月考数学试卷(原卷版)第1页
      1/4
      四川省乐山市第一中学2026届高三上学期10月月考数学试卷(原卷版)第2页
      2/4
      四川省乐山市第一中学2026届高三上学期10月月考数学试卷 Word版含解析第1页
      1/17
      四川省乐山市第一中学2026届高三上学期10月月考数学试卷 Word版含解析第2页
      2/17
      四川省乐山市第一中学2026届高三上学期10月月考数学试卷 Word版含解析第3页
      3/17
      还剩2页未读, 继续阅读

      四川省乐山市第一中学2026届高三上学期10月月考数学试卷(Word版附解析)

      展开

      这是一份四川省乐山市第一中学2026届高三上学期10月月考数学试卷(Word版附解析),文件包含四川省乐山市第一中学2026届高三上学期10月月考数学试卷原卷版docx、四川省乐山市第一中学2026届高三上学期10月月考数学试卷Word版含解析docx等2份试卷配套教学资源,其中试卷共21页, 欢迎下载使用。
      一、单选题
      1. 已知集合 , ,则 ( )
      A. B. C. D.
      【答案】D
      【解析】
      【分析】解对数不等式求集合 ,解一元一次不等式求集合 ,再应用集合的并运算求集合.
      【详解】由 ,所以 ,
      由 ,所以 ,
      所以 .
      故选:D
      2. 在复平面内,复数 对应的点的坐标为 ,则复数 的虚部为( )
      A. i B. -i C. 1 D. -1
      【答案】D
      【解析】
      【分析】由复数的几何意义求得复数 的代数形式,进而求得 由复数除法的运算法则,求得复数 ,从
      而得到其虚部.
      【详解】因为复数 对应的点的坐标为 ,所以 ,所以 .
      所以 .
      所以复数 的虚部为 .
      故选:D .
      3. 若 ,则 ( )
      第 1页/共 17页
      A. B. C. D.
      【答案】B
      【解析】
      【分析】利用二倍角公式和弦化切思想即可求解.
      【详解】因为 ,所以 ,
      因为 ,所以 .
      所以 .
      故选:B
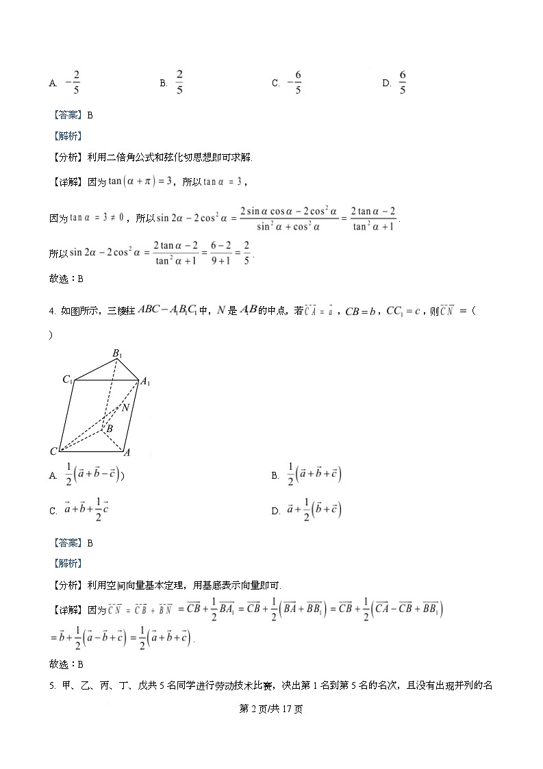
      4. 如图所示,三棱柱 中, 是 的中点,若 , , ,则 =(

      A. ) B.
      C. D.
      【答案】B
      【解析】
      【分析】利用空间向量基本定理,用基底表示向量即可.
      【详解】因为
      .
      故选:B
      5. 甲、乙、丙、丁、戊共 5 名同学进行劳动技术比赛,决出第 1 名到第 5 名的名次,且没有出现并列的名
      第 2页/共 17页
      次.甲和乙去询问成绩,回答者对甲说:“很遗憾,你没有得到冠军.”对乙说:“你虽然不是最差的,但你的名次
      没有甲的好.”从这两个回答分析,5 人的名次排列情况的种数为( )
      A. 12 B. 18 C. 27 D. 36
      【答案】B
      【解析】
      【分析】根据题意可知共有乙得第 4 名和乙得第 3 名两种情况,分别求出各种情况 种类数,从而可求解.
      【详解】由题意可知共有乙得第 4 名和乙得第 3 名两种情况:
      当乙得第 4 名,有 种可能;
      当乙得第 3 名,有 种可能,
      故共有 种,故 B 正确.
      故选:B.
      6. 求 的展开式中 的系数为( )
      A. 45 B. 90 C. 120 D. 210
      【答案】C
      【解析】
      【分析】先求出 展开式的通项公式,再利用多项式乘法法则求解.
      【详解】二项式 展开式的通项为 ,
      所以 的展开式中 的系数等于 展开式中 的系数,即 .
      故选:C
      7. 已知函数 (其中 , , .)的部分图象如图所示,将函数 图
      象上所有点向左平移 个单位长度,得到函数 的图象,则( )
      第 3页/共 17页
      A. B.
      C. D.
      【答案】A
      【解析】
      【分析】利用周期公式结合函数图象求出 和 的值,即 ,再找一点坐标代入函数解
      析式即可求 值,再根据平移变换求出 即可.
      【详解】由函数图象可知 ,即 ,解得 ,
      函数 的最大值为 ,则 ,
      所以函数解析式为 ,
      将点 代入解析式得 ,则 ,
      解得 ,
      又因为 ,所以 时, ,
      所以函数解析式为 ,
      将函数 图象上所有点向左平移 个单位长度,
      得到函数 .
      故选:A
      8. 已知函数 , ,若 ,t>0,则 的最大值为( )
      A. B. C. D.
      【答案】C
      【解析】
      【分析】
      首先由 , ,再结合函数函数 的图象可知, ,这样
      第 4页/共 17页
      转化 ,利用导数求函数 的最大值.
      【详解】由题意得, , ,即 , ,易得 f(x)在(-∞,-1)上单调
      递减,在(-1,+∞)上单调递增,又当 x∈(-∞,0)时,f(x)0,作函数 的图
      象如图所示.由图可知,当 t>0 时, 有唯一解,故 ,且 ,
      ∴ .设 , 则 ,令 解得 t=e,易得 在(0,e)上
      单调递增,在(e,+∞)上单调递减,∴ ,即 的最大值为 .
      故选:C.
      【点睛】关键点点睛:本题考查利用导数求函数的最值,本题的关键是观察与变形, ,
      并且由函数图象判断 ,只有一个零点,所以 ,这样后面的问题迎刃而解.
      二、多选题
      9. 下列说法正确的是( )
      A. 一组数据 的第 百分位数为 17
      B. 若随机变量 服从正态分布 ,且 ,则
      C. 若线性相关系数 越接近 ,则两个变量的线性相关性越强
      D. 对具有线性相关关系的变量 ,其线性回归方程为 ,若样本点的中心为 ,则实
      数 的值是
      【答案】BCD
      第 5页/共 17页
      【解析】
      【分析】利用百分位数的定义可判断选项 A,利用正态分布的性质可判断选项 B,根据线性相关系数的性质
      可判断选项 C,利用线性回归方程中的基本量可判断选项 D.
      【详解】对于 A,因为 ,所以第 百分位数为 ,所以选项 A 错误;
      对于 B,若随机变量 服从正态分布 ,且 ,
      则 ,
      则 ,所以选项 B 正确;
      对于 C ,若线性相关系数 越接近 ,则两个变量的线性相关性越强,所以选项 C 正确;
      对于 D,样本点的中心为 ,所以 , ,
      因为回归直线过样本点的中心,所以 ,解得 .所以选项 D 正确.
      故选:BCD.
      10. 已知 分别为 内角 的对边,下面四个结论正确的是( )
      A. 若 ,则 为等腰三角形
      B. 在锐角 中,不等式 恒成立
      C. 若 ,且 有两解,则 的取值范围是
      D. 若 , 平分线交 于点 , ,则 的最小值为 9
      【答案】BD
      【解析】
      【分析】A 项,用余弦定理统一成边形式化简判断;B 项,由 为锐角三角形,与正弦函数的单调性
      可得;C 项,结合图形,根据边角的关系与解的数量判断;D 项,根据三角形面积可得到 ,将
      变为 ,展开后利用基本不等式,即可求得答案.
      【详解】选项 A,因为 ,即 ,
      所以有
      整理可得 ,所以 或 ,
      第 6页/共 17页
      故 为等腰三角形或直角三角形,故 A 错误;
      选项 B,若 为锐角三角形,所以 ,所以 ,
      由正弦函数 在 单调递增,则 ,故 B 正确.
      选项 C,如图,若 有两解,则 ,
      所以 ,则 b 的取值范围是 ,故 C 错误.
      选项 D, 的平分线交 于点 , ,
      由 ,由角平分线性质和三角形面积公式,
      得 ,即 ,得 ,
      得 ,
      当且仅当 ,即 时,取等号,故 D 正确.
      故选:BD
      11. 已知定义在 上的函数 , 满足 , ,且
      .则( )
      A. 的图象关于点 对称
      B. 是周期函数
      C. 在 上单调递增
      D.
      【答案】ABD
      第 7页/共 17页
      【解析】
      【分析】A 变式得 ,即可得出 ;B 利用对称中心 和对
      称轴 即可得出周期;C 利用 的周期性和对称性计算 ,
      再计算得 ;D 先计算 ,再利用周期性即可.
      【详解】在 ①中,用 代替 ,得 ,
      因 ,则 ②,
      ①②两式相加可得 ,
      因此 的图象关于点 对称,故 A 正确;
      由 A 选项可知 ,
      又 为偶函数,则 ,所以 ,
      可得 ,则 ,
      所以 ,即 是以 8 为周期的周期函数,故 B 正确;
      对于 C,易知 ,则 ,
      又 ,所以 ,
      则 ,故 C 错误;
      对于 D,因 ,

      ,故 D 正确.
      故选:ABD.
      三、填空题
      12. 已知正项等比数列 的前 项和为 ,公比为 ,则 ___________.
      【答案】
      【解析】
      第 8页/共 17页
      【分析】根据已知有 ,结合等比数列的前 n 项和及通项公式得 求公比,再由
      确定最终值.
      【详解】由题设易知 , ,
      即 ,
      所以 ,解得 或 ,
      因为 ,所以 ,所以 .
      故答案为:2
      13. 某种药物作用在农作物上的分解率为 ,与时间 (小时)满足函数关系式 (其中 为非零常
      数),若经过 12 小时该药物的分解率为 ,经过 24 小时该药物的分解率为 ,那么这种药物完全分
      解,至少需要经过_____________小时(参考数据: )
      【答案】52
      【解析】
      【分析】根据题意建立方程组,可求得 , ,即得 ,再结合对数 运算性质化
      简,代值估算即得.
      【详解】 经过 12 小时该药物的分解率为 ,经过 24 小时该药物的分解率为 ,
      ,解得 , ,则 ,
      当这种药物完全分解,即 时,得 ,得 ,
      即 ,两边取对数得
      .
      故答案为:52.
      14. 已知函数 ,函数 .若 有四个不同的零点
      第 9页/共 17页
      ,则 的取值范围为___.
      【答案】
      【解析】
      【分析】利用函数与方程的思想,将 有四个不同的零点转化为函数 与 有四个不同
      的交点 ,作出图象,求得 ,利用对称性得 ,根据函数 的图象特征
      可得 , ,借助于对勾函数的单调性即可求得 的取值范围.
      【详解】
      由函数 有四个不同的零点 ,可知函数 与 有四个不同的交
      点 ,
      设这四个交点的横坐标从小到大依次为 ,如图所示,则 ,可得 ,
      因点 关于直线 对称,故 ;
      由 可得 ,
      则有 ,且 ,即得 ,
      于是, ,
      因函数 在 上单调递减,故可得 ,
      则 的取值范围为 .
      故答案为: .
      四、解答题
      第 10页/共 17页
      15. 已知函数 .
      (1)求 的对称轴;
      (2)将 的图象向右平移 个单位得到 的图象,求函数 的单调增区间.
      【答案】(1) ;
      (2) .
      【解析】
      【分析】(1)应用二倍角正余弦公式、辅助角公式化简函数式,根据正弦函数的性质求对称轴;
      (2)由图象平移写出 ,再由正弦函数的单调性求单调增区间.
      【小问 1 详解】
      因为 =
      当 时,即对称轴为 .
      【小问 2 详解】
      由(1)得 ,
      将 的图象向右平移 个单位得 ,
      由 ,得 ,
      即函数 的单调增区间为 .
      16. 已知数列 , 为 的前 n 项和, , , .
      (1)证明: 是等比数列;
      (2)设 ,求数列 的前 n 项和为 .
      【答案】(1)证明见解析
      第 11页/共 17页
      (2)
      【解析】
      【分析】(1)根据等比数列的定义得数列 为第二项起为等比数列,由等比数列的通项公式可得答
      案;
      (2)由(1)得 运用错位相减法可得.
      【小问 1 详解】
      当 时, ,
      当 时, 由 , 可得 ,
      两式相减可得, ,
      即有 ,
      即为数列 为第二项起为等比数列,

      数列 为以 为首项,等比数列为 的等比数列.
      【小问 2 详解】
      由(1)得 , , 可得 ,
      则 ,,
      即有前 项和为 ,
      ,,
      两式相减可得, ,
      第 12页/共 17页
      化简可得 .
      17. 如图甲所示,四边形 为正方形, ,S 为 的中点.将 沿直线 翻折使
      得 平面 ,如图乙所示.
      (1)求证:平面 平面 ;
      (2)求平面 与平面 所成二面角 余弦值.
      【答案】(1)证明见解析
      (2)
      【解析】
      【分析】(1)根据线面垂直得到 ,又 ,从而 平面 ,得到面面垂直;
      (2)作出辅助线,由面面垂直得到线面垂直,进而建立空间直角坐标系,写出点的坐标,求出两平面的法
      向量,从而得到二面角的余弦值.
      【小问 1 详解】
      证明:因为 平面 , 平面 ,所以 ,
      又 , , 平面 ,所以 平面 ,
      又 平面 ,所以平面 平面 .
      【小问 2 详解】
      取 PQ 的中点为 O,MN 的中点为 E, 为等边三角形,则 ,
      又平面 平面 ,平面 平面 , 平面 ,
      所以 平面 ,如图建立空间直角坐标系,
      第 13页/共 17页
      设 ,则 , , ,
      则 , ,
      设平面 的法向量为 ,则 ,
      令 ,则 ,所以 ,显然平面 的法向量为 ,
      设平面 与平面 所成二面角为 ,从图中可以看出 为锐角,
      则 .
      18. 某超市在节日期间进行有奖促销,凡在该超市购物满 元的顾客,将获得一次摸奖机会,规则如下:
      一个袋子装有 只形状和大小均相同的玻璃球,其中两只是红色,三只是绿色,顾客从袋子中一次摸出两只
      球,若两只球都是红色,则奖励 元;共两只球都是绿色,则奖励 元;若两只球颜色不同,则不奖励.
      (1)求一名顾客在一次摸奖活动中获得 元的概率;
      (2)记 为两名顾客参与该摸奖活动获得的奖励总数额,求随机变量 的分布列和数学期望.
      【答案】(1) ;(2)见解析
      【解析】
      【分析】(1)根据古典概型概率计算公式可求得结果;(2)分别求出一名顾客摸球中奖 元和不中奖的概
      率;确定 所有可能的取值为: , , , , ,分别计算每个取值对应的概率,从而得到分布
      列;利用数学期望计算公式求解期望即可.
      【详解】(1)记一名顾客摸球中奖 元为事件
      从袋中摸出两只球共有: 种取法;摸出的两只球均是红球共有: 种取法
      第 14页/共 17页
      (2)记一名顾客摸球中奖 元为事件 ,不中奖为事件
      则: ,
      由题意可知, 所有可能的取值为: , , , ,
      则 ; ;
      ; ;
      随机变量 的分布列为:
      【点睛】本题考查古典概型概率问题求解、离散型随机变量的分布列和数学期望的求解,关键是能够根据
      通过积事件的概率公式求解出每个随机变量的取值所对应的概率,从而可得分布列.
      19. 已知函数 .
      (1)当 时,求函数 的单调区间;
      (2)当 时, ,求 的取值范围;
      (3)若 ,证明: .
      【答案】(1) 的单调递增区间为 ,单调递减区间为
      (2)
      (3)证明见解析
      【解析】
      【分析】(1)当 时, ,利用导数求其单调区间;
      (2)依题意,当 时, 成立,利用导数结合单调性进行证明;
      第 15页/共 17页
      (3)令 , ,则 ,用此不等式对待证不等式左边各项放缩,并利用不等式的
      基本性质即可证得.
      【小问 1 详解】
      当 时, .
      所以, .
      所以,当 时, , 单调递增.
      当 时, , 单调递减.
      综上, 的单调递增区间为 ,单调递减区间为 .
      【小问 2 详解】
      当 , 成立,等价于当 时, 成立.
      因为 ,设 ,则 .
      所以, 单调递减,即 单调递减.
      当 时, .所以 , 单调递减, ,符合题意.
      当 时, ,所以存在 ,使得当 时, .
      此时 单调递增, ,不符合题意.
      综上 .
      【小问 3 详解】
      由(2)知,当 时,对任意 ,都有 ,
      即 成立,令 , ,
      则 .
      当 时, .
      第 16页/共 17页
      所以, .
      当 时, .
      综上, .
      第 17页/共 17页

      相关试卷

      四川省乐山市第一中学2026届高三上学期10月月考数学试卷(Word版附解析):

      这是一份四川省乐山市第一中学2026届高三上学期10月月考数学试卷(Word版附解析),文件包含四川省乐山市第一中学2026届高三上学期10月月考数学试卷原卷版docx、四川省乐山市第一中学2026届高三上学期10月月考数学试卷Word版含解析docx等2份试卷配套教学资源,其中试卷共21页, 欢迎下载使用。

      四川省乐山第一中学校2023-2024学年高一上学期10月月考数学试题:

      这是一份四川省乐山第一中学校2023-2024学年高一上学期10月月考数学试题,共8页。试卷主要包含了单选题,多选题,填空题,解答题等内容,欢迎下载使用。

      四川省乐山第一中学校2026届高三上册9月月考数学试卷【含解析】:

      这是一份四川省乐山第一中学校2026届高三上册9月月考数学试卷【含解析】,共19页。

      资料下载及使用帮助
      版权申诉
      • 1.电子资料成功下载后不支持退换,如发现资料有内容错误问题请联系客服,如若属实,我们会补偿您的损失
      • 2.压缩包下载后请先用软件解压,再使用对应软件打开;软件版本较低时请及时更新
      • 3.资料下载成功后可在60天以内免费重复下载
      版权申诉
      若您为此资料的原创作者,认为该资料内容侵犯了您的知识产权,请扫码添加我们的相关工作人员,我们尽可能的保护您的合法权益。
      入驻教习网,可获得资源免费推广曝光,还可获得多重现金奖励,申请 精品资源制作, 工作室入驻。
      版权申诉二维码
      欢迎来到教习网
      • 900万优选资源,让备课更轻松
      • 600万优选试题,支持自由组卷
      • 高质量可编辑,日均更新2000+
      • 百万教师选择,专业更值得信赖
      微信扫码注册
      手机号注册
      手机号码

      手机号格式错误

      手机验证码 获取验证码 获取验证码

      手机验证码已经成功发送,5分钟内有效

      设置密码

      6-20个字符,数字、字母或符号

      注册即视为同意教习网「注册协议」「隐私条款」
      QQ注册
      手机号注册
      微信注册

      注册成功

      返回
      顶部
      学业水平 高考一轮 高考二轮 高考真题 精选专题 初中月考 教师福利
      添加客服微信 获取1对1服务
      微信扫描添加客服
      Baidu
      map