





所属成套资源:(人教A版)必修第一册高一数学上册期末考点提升练习(2份,原卷版+解析版)
(人教A版)必修第一册高一数学上册期末考点提升练习28 利用二倍角公式升、降幂的绝招(2份,原卷版+解析版)
展开 这是一份(人教A版)必修第一册高一数学上册期末考点提升练习28 利用二倍角公式升、降幂的绝招(2份,原卷版+解析版),文件包含人教A版必修第一册高一数学上册期末考点提升练习28利用二倍角公式升降幂的绝招原卷版docx、人教A版必修第一册高一数学上册期末考点提升练习28利用二倍角公式升降幂的绝招解析版docx等2份试卷配套教学资源,其中试卷共24页, 欢迎下载使用。
1、二倍角的正弦、余弦、正切公式
2、升幂公式:,
3、降幂公式:,
【题型归纳目录】
题型一:利用二倍角公式求值
题型二:利用二倍角化简、求值
题型三:利用二倍角的升降幂进行化简、求值
题型四:二倍角的综合运用
【典型例题】
题型一:利用二倍角公式求值
例1.求下列各式的值:
(1);
(2);
(3);
(4).
【解析】解:(1);
(2);
(3);
(4).
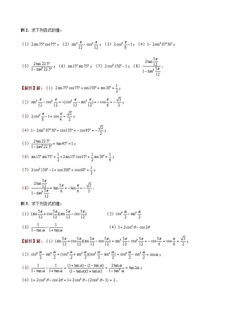
例2.求下列各式的值:
(1);(2);(3);(4);
(5);(6);(7);(8).
【解析】解:(1);
(2);
(3);
(4);
(5);
(6);
(7);
(8).
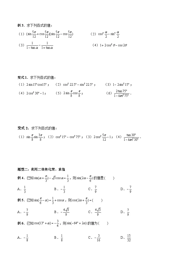
例3.求下列各式的值:
(1) (2)
(3) (4)
【解析】解:(1);
(2);
(3);
(4).
变式1.求下列各式的值:
(1);(2);(3);
(4);(5);(6).
【解析】解:(1);
(2);;
(3);
(4);
(5);
(6).
变式2.求下列各式的值:
(1);(2);(3);(4).
【解析】解:(1).
(2).
(3).
(4).
题型二:利用二倍角化简、求值
例4.已知,则的值是
A.B.C.D.
【解析】解:已知,
则
,故选:.
例5.已知,则
A.B.C.D.
【解析】解:,整理得,即,
故.
故选:.
例6.已知,则的值为
A.B.C.D.
【解析】解:,则
,
故选:.
变式3.已知,则的值为
A.B.C.D.
【解析】解:因为,
所以.
故选:.
变式4.若,,则
A.B.C.D.
【解析】解:,
,
,,,
故选:.
变式5.已知,则的值为 .
【解析】解:,则
,
故答案为:.
变式6.已知,则 .
【解析】解:,
,,,
.
故答案为:.
变式7.已知为锐角,,则 .
【解析】解:为锐角,,,.
由二倍角公式可得,
.
,
故答案为:.
变式8.(1)已知角的终边经过点,求
(2)已知为第二象限的角,,求
【解析】解:(1)的终边经过点,
则,,,
(2)为第二象限的角,,
,
,
题型三:利用二倍角的升降幂进行化简、求值
例7.等于
A.B.C.D.
【解析】解:,,
,
又,
.
故选:.
例8.若,则化简的结果为
A.B.C.D.
【解析】解:若,则,
,
故选:.
例9.已知,则可化简为
A.B.C.D.
【解析】解:因为,,且.
所以,
故选:.
变式9.的值为
A.B.C.D.
【解析】解:原式
故选:.
变式10.若,则 .
【解析】解:,,
则
.
故答案为:.
变式11.
A.B.C.D.
【解析】解:
.
故选:.
变式12.若,化简得
A.B.C.D.
【解析】解:,
,
.
故选:.
变式13.的值为
A.B.C.D.2
【解析】解:原式.
故选:.
变式14.的值为
A.B.C.D.
【解析】解:
.
故选:.
变式15.求值: 1 .
【解析】解:.
故答案为:1.
题型四:二倍角的综合运用
例10.设,,则的值是
A.B.C.D.或
【解析】解:,,,
,,,
,
.
故选:.
例11.若,,则
A.B.C.D.
【解析】解:因为①,
所以,即,
所以,
因为且,
所以,,
故②,
①②可得,,
所以.
故选:.
例12.函数在区间上的最大值是
A.1B.C.D.
【解析】解:由,
,.
故选:.
变式16.已知函数,则函数的最小正周期和最大值分别为
A.和1B.和C.和1D.和
【解析】解:函数,
故它的最小正周期为;它的最大值为,
故选:.
变式17.当时,函数取得最大值,则 .
【解析】解:,
且,,
又当时函数取得最大值,
则,
可得,
则,
故正确答案为:.
变式18.已知函数的两条对称轴之间的最小距离为.
(1)求函数的最大值;
(2)若,,求的值.
【解析】解:(Ⅰ)由三角函数公式化简可得
,
函数图象两条对称轴之间的最小距离为,
周期,解得,
,
的最大值为;
(2)因为,
,,;
.
.
变式19.已知,是一元二次方程的两根,且,求的值.
【解析】解:由已知得,,
,
,
,
即,
则或,
,,,
与异号,
则,,且,
,,
则,,
则.
【过关测试】
1.已知,则的值为
A.B.C.D.
【解析】解:,
.
故选:.
2.已知,则的值为
A.B.C.D.
【解析】解:,
,
,
故选:.
3.已知,则
A.B.C.D.
【解析】解:由,
得,
.
故选:.
4.若,,则
A.B.C.D.
【解析】解:因为,所以,所以,所以,.
又,所以.
再由,得,所以.
故选:.
5.已知角满足,则 , .
【解析】解:角满足,则,则.
所以,整理得.
故答案为:
6.函数的值域为 , .
【解析】解:,
设,所以函数该函数在上单调递减,
当时函数取得最大值为10,当时,函数取得最小值为2.
故函数的值域为,.
故答案为:,.
7.(1)已知角的终边经过点,求
(2)已知为第二象限的角,,求
【解析】解:(1)的终边经过点,
则,,,
(2)为第二象限的角,,
,
,
8.(1)已知.求的值;
(2)已知,求的值.
【解析】解:已知.所以,整理得,
所以,故:.
(2)已知,所以,
的.
9.(1)已知,,求的值;
(2)已知,求的值;
(3)已知,求的值;
(4)已知,求的值.
【解析】解:(1)由,,
得,
所以;
(2)由,
所以,
解得;
(3)由,
得,
解得,则;
(4)由,得:
.
10.已知,.
(1)求的值;
(2)求的值.
【解析】解:由,得,
解得:或.
,,
(1);
(2)
.
11.已知
(1)求的值;
(2)求的值.
【解析】解:(1),,
,,.
(2).
12.已知
(1)求的值;
(2)求的值.
【解析】解:(1)由,可得,.
(2)原式.
13.不用计算器,求值:.
【解析】解:.
原式
.
故答案为:1.
相关试卷
这是一份(人教A版)必修第一册高一数学上册期末考点提升练习28 利用二倍角公式升、降幂的绝招(2份,原卷版+解析版),文件包含人教A版必修第一册高一数学上册期末考点提升练习28利用二倍角公式升降幂的绝招原卷版docx、人教A版必修第一册高一数学上册期末考点提升练习28利用二倍角公式升降幂的绝招解析版docx等2份试卷配套教学资源,其中试卷共24页, 欢迎下载使用。
这是一份高一数学常考点微专题提分精练(人教A版必修第一册)微专题28利用二倍角公式升、降幂的绝招(原卷版+解析),共29页。
这是一份(人教A版)必修第一册高一数学上册期末考点提升练习05 一元二次不等式、分式不等式(2份,原卷版+解析版),文件包含人教A版必修第一册高一数学上册期末考点提升练习05一元二次不等式分式不等式原卷版docx、人教A版必修第一册高一数学上册期末考点提升练习05一元二次不等式分式不等式解析版docx等2份试卷配套教学资源,其中试卷共26页, 欢迎下载使用。
相关试卷 更多
- 1.电子资料成功下载后不支持退换,如发现资料有内容错误问题请联系客服,如若属实,我们会补偿您的损失
- 2.压缩包下载后请先用软件解压,再使用对应软件打开;软件版本较低时请及时更新
- 3.资料下载成功后可在60天以内免费重复下载
免费领取教师福利 





.png)




