

重庆市巴蜀中学校2026届高三上学期第一次适应性考试数学试卷
展开 这是一份重庆市巴蜀中学校2026届高三上学期第一次适应性考试数学试卷,共4页。试卷主要包含了选择题,填空题,解答题等内容,欢迎下载使用。
一、选择题:本题共8小题,每小题5分,共40分.在每小题给出的四个选项中,只有一项是符合题目要求的.
1.函数的定义域为( )
A.B.C.D.
2.已知集合,,则( )
A.B.C.D.
3.“”是“”的( )
A.充分不必要条件B.必要不充分条件
C.充要条件 D.既不充分也不必要条件
4.已知,,则( )
A.B.C.D.
5.设、为两个平面,、为两条直线,则下列结论中正确的是( )
A.若,,则B.若,,则
C.若,,则D.若,,则 或
6.下列函数在其定义域内既是奇函数,又是增函数的是( )
A.B.C.D.
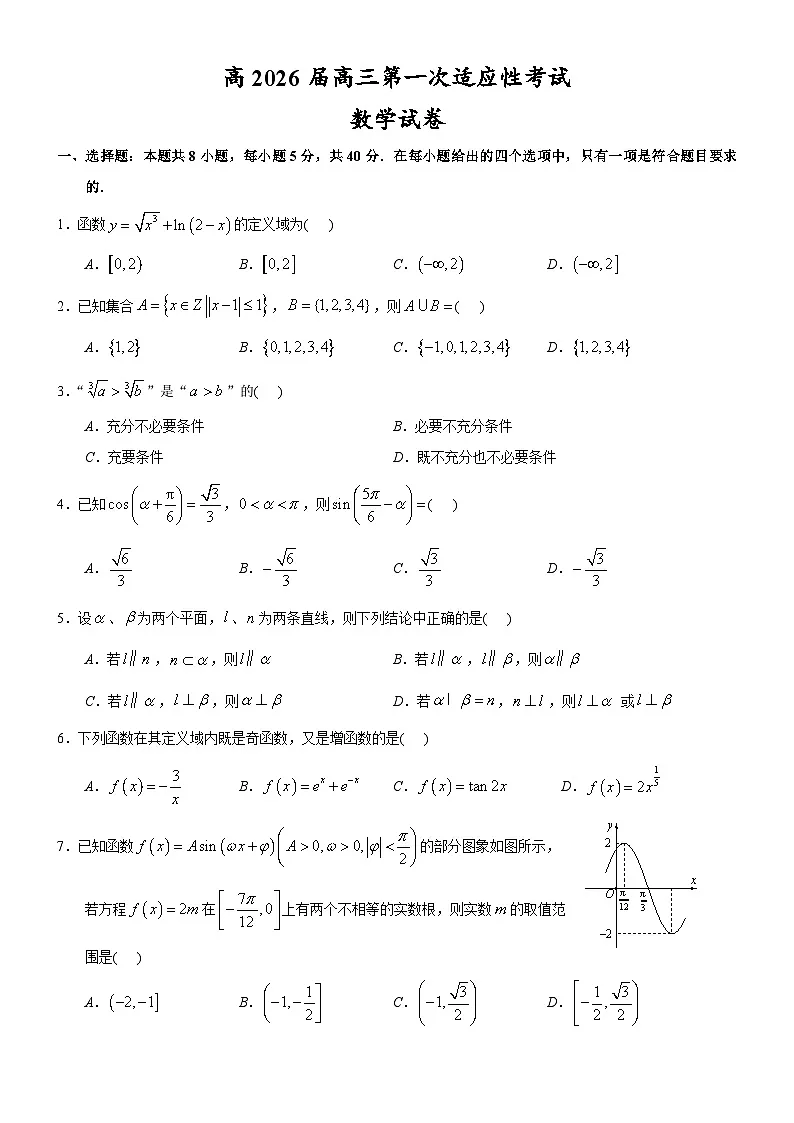
7.已知函数的部分图象如图所示,若方程在上有两个不相等的实数根,则实数的取值范围是( )
A. B.C. D.
8.已知双曲线,右焦点,过点且斜率为的直线交于、两点,且,则的离心率为( )
A.B.C.D.
二、选择题:本题共3小题,每小题6分,共18分.在每小题给出的选项中,有多项符合题目要求.全部选对的得6分,部分选对的得部分分,有选错的得0分.
9.已知,则( )
A.B.
C.D.
10.设函数的定义域为R,且满足,为奇函数,则下列说法正确的是( )
A.为偶函数B.关于对称
C.D.的导函数的周期为
11.已知正实数、满足,则下列说法正确的有( )
A.的最大值为B.的最小值为
C.的最小值为D.的最小值为
三、填空题:本题共3小题,每小题5分,共15分.
12.已知,,则 .
13.已知,则 .
14.已知函数,,若恒成立,则的最小值为 .
四、解答题:本题共5小题,共77分.解答应写出文字说明、证明过程或演算步骤.
15.(13分)
已知函数,且的最小正周期是.
(1)求的值,并求此时的对称轴;
(2),求函数的单调递减区间.
16.(15分)
某中学为了解高二年级学生对“数学建模竞赛”的参与意愿与性别是否有关,现从学校中随机抽取了100名学生进行调查,得到如下列联表:
(1)根据小概率值的独立性检验,能否认为“愿意参与数学建模竞赛与性别有关联”?
(2)从样本中“愿意参与”的学生中按性别采用比例分别的分层抽样的方法抽取11人,再从这11人中随机抽取3人作为竞赛种子选手,记3人中女生的人数为,求的分布列和数学期望.
附:,
17.(15分)
已知椭圆过点,离心率为,过点的直线l与椭圆交于不同的两点.
(1)求椭圆的方程;
(2)若的面积为,且,求实数的值.
18.(17分)
已知函数,.
(1)当时,求图象在处的切线方程;
(2)若不等式对恒成立,求实数的取值范围;
(3)若函数有两个不同的零点,求实数的取值范围.
19.(17分)
在蜜蜂群体中,侦察蜂发现食物源后,通过“蜜蜂舞”向同伴(观察蜂)指示食物源的距离(单位:百米).设食物源距离为随机变量,其概率分布为:,,,.在每次“蜜蜂舞”中,侦察蜂选择摇摆的概率为,选择直线奔跑的概率为,通过3次“蜜蜂舞”叠加传递距离信息,且每次“蜜蜂舞”中侦察蜂选择直线奔跑或摇摆相互独立,即摇摆次数服从二项分布,其中、、.
(1)求食物源距离的方差;
(2)求随机变量的概率分布列及数学期望;
(3)观察蜂需要根据观察到的摆动次数 来判断食物源的距离 ,设判断函数为,,其中,若损失函数为,求的值使得最小.
参考数据:,参考公式:对任意两个随机变量、有.性别
愿意参与
不愿意参与
合计
男生
女生
合计
0.050
0.010
0.001
k
3.841
6.635
10.828
相关试卷 更多
- 1.电子资料成功下载后不支持退换,如发现资料有内容错误问题请联系客服,如若属实,我们会补偿您的损失
- 2.压缩包下载后请先用软件解压,再使用对应软件打开;软件版本较低时请及时更新
- 3.资料下载成功后可在60天以内免费重复下载
免费领取教师福利 







