搜索
      上传资料 赚现金

      山西省太原市某校2025-2026学年高一上学期9月半月考数学试题(含答案)含答案解析

      • 396.74 KB
      • 2025-09-27 00:18:17
      • 44
      • 0
      • 教习网5623548
      加入资料篮
      立即下载
      山西省太原市某校2025-2026学年高一上学期9月半月考数学试题(含答案)第1页
      高清全屏预览
      1/11
      山西省太原市某校2025-2026学年高一上学期9月半月考数学试题(含答案)第2页
      高清全屏预览
      2/11
      山西省太原市某校2025-2026学年高一上学期9月半月考数学试题(含答案)第3页
      高清全屏预览
      3/11
      还剩8页未读, 继续阅读

      山西省太原市某校2025-2026学年高一上学期9月半月考数学试题(含答案)含答案解析

      展开

      这是一份山西省太原市某校2025-2026学年高一上学期9月半月考数学试题(含答案)含答案解析,共11页。试卷主要包含了单项选择题,填空题,解答题等内容,欢迎下载使用。
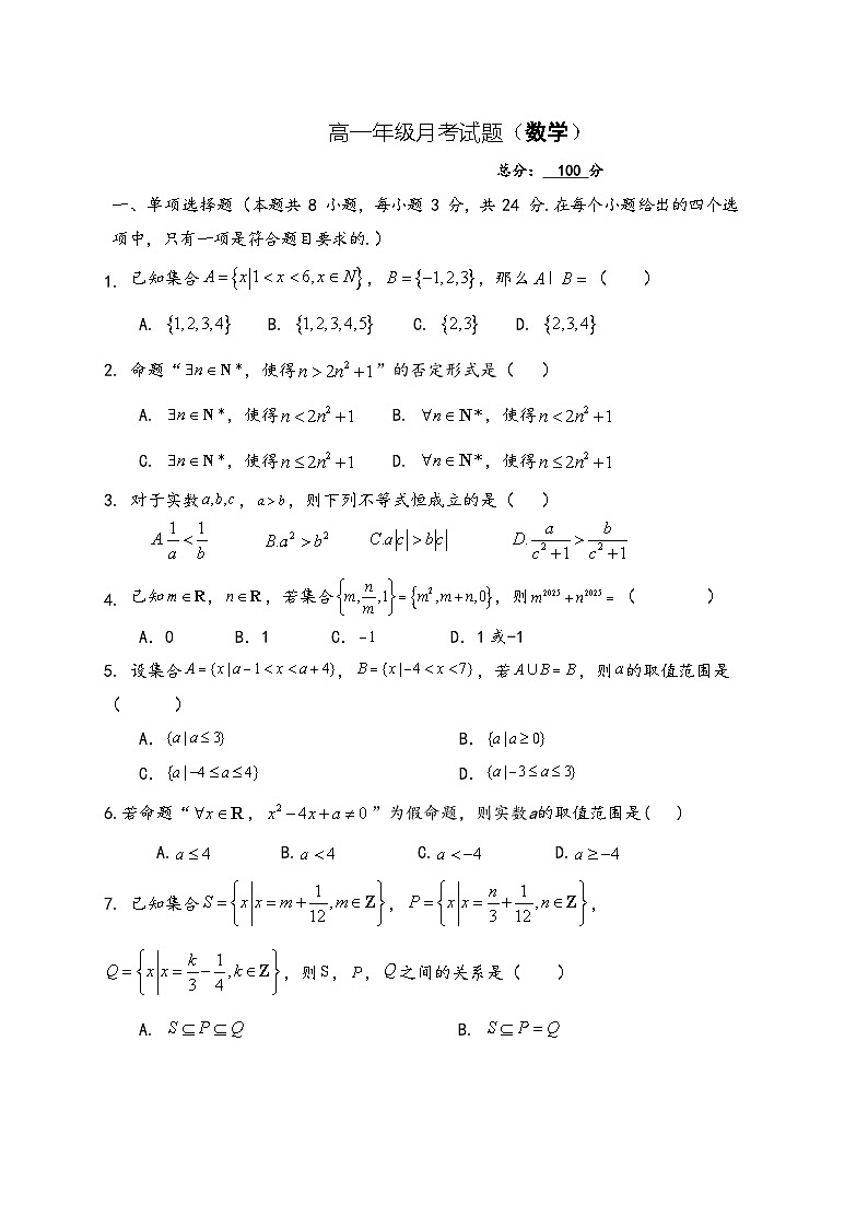
      一、单项选择题(本题共 8 小题,每小题 3 分,共 24 分.在每个小题给岀的四个选项中,只有一项是符合题目要求的.)
      已知集合,,那么( )
      A. B. C. D.
      2. 命题“,使得”的否定形式是( )
      A. ,使得 B. ,使得
      C. ,使得 D. ,使得
      3. 对于实数,,则下列不等式恒成立的是( )

      已知,,若集合,则( )
      A.0 B.1 C. D.1或-1
      5. 设集合,,若,则的取值范围是( )
      A. B.
      C. D.
      6.若命题“,”为假命题,则实数a的取值范围是( )
      A. B. C. D.
      7. 已知集合,,,则,,之间的关系是( )
      A. B.
      C. D.
      8. 在整数集中,被除所得余数为的所有整数组成一个“类”,记为,即,则下面选项正确的为( )
      A.
      B.
      C.
      D. 整数属于同一“类”的充分不必要条件是“”
      二、多项选择题(本题共 3 小题,每小题 4 分,共 12 分.在每小题给出的选项中,有多项符合题目要求.全部选对的得 4 分,部分选对的得 2 分,
      有选错的得 0 分).
      9.已知集合,,若,则的取值可以是( )
      A. B. C. D.
      10. 图中阴影部分用集合符号可以表示为( )
      A.B.
      C.D.
      11. 用表示集合中元素的个数,对于集合、,定义,若,,且,则实数的值可能为( )
      A. B. C. D.
      三、填空题(本题共 3 小题,每小题 4 分,共 12 分.)
      12. 已知0

      相关试卷

      山西省太原市某校2026届高三上册9月半月考数学试题(含答案):

      这是一份山西省太原市某校2026届高三上册9月半月考数学试题(含答案),共6页。

      山西省太原市某校2025~2026学年高二上册9月半月考数学试题(含答案):

      这是一份山西省太原市某校2025~2026学年高二上册9月半月考数学试题(含答案),共5页。

      山西省太原市某校2025-2026学年高一上学期9月半月考数学试卷(学生版):

      这是一份山西省太原市某校2025-2026学年高一上学期9月半月考数学试卷(学生版),共4页。试卷主要包含了单项选择题,多项选择题.,填空题,解答题等内容,欢迎下载使用。

      资料下载及使用帮助
      版权申诉
      • 1.电子资料成功下载后不支持退换,如发现资料有内容错误问题请联系客服,如若属实,我们会补偿您的损失
      • 2.压缩包下载后请先用软件解压,再使用对应软件打开;软件版本较低时请及时更新
      • 3.资料下载成功后可在60天以内免费重复下载
      版权申诉
      若您为此资料的原创作者,认为该资料内容侵犯了您的知识产权,请扫码添加我们的相关工作人员,我们尽可能的保护您的合法权益。
      入驻教习网,可获得资源免费推广曝光,还可获得多重现金奖励,申请 精品资源制作, 工作室入驻。
      版权申诉二维码
      欢迎来到教习网
      • 900万优选资源,让备课更轻松
      • 600万优选试题,支持自由组卷
      • 高质量可编辑,日均更新2000+
      • 百万教师选择,专业更值得信赖
      微信扫码注册
      手机号注册
      手机号码

      手机号格式错误

      手机验证码 获取验证码 获取验证码

      手机验证码已经成功发送,5分钟内有效

      设置密码

      6-20个字符,数字、字母或符号

      注册即视为同意教习网「注册协议」「隐私条款」
      QQ注册
      手机号注册
      微信注册

      注册成功

      返回
      顶部
      学业水平 高考一轮 高考二轮 高考真题 精选专题 初中月考 教师福利
      添加客服微信 获取1对1服务
      微信扫描添加客服
      Baidu
      map