搜索
      上传资料 赚现金
      点击图片退出全屏预览

      25秋 人教版 数学七上 第二章 有理数的运算 章末整合练 习题课件

      • 1.15 MB
      • 2025-06-23 19:31:47
      • 85
      • 0
      • 湄立
      加入资料篮
      立即下载
      25秋 人教版 数学七上  第二章 有理数的运算 章末整合练 习题课件第1页
      点击全屏预览
      1/17
      25秋 人教版 数学七上  第二章 有理数的运算 章末整合练 习题课件第2页
      点击全屏预览
      2/17
      25秋 人教版 数学七上  第二章 有理数的运算 章末整合练 习题课件第3页
      点击全屏预览
      3/17
      25秋 人教版 数学七上  第二章 有理数的运算 章末整合练 习题课件第4页
      点击全屏预览
      4/17
      25秋 人教版 数学七上  第二章 有理数的运算 章末整合练 习题课件第5页
      点击全屏预览
      5/17
      25秋 人教版 数学七上  第二章 有理数的运算 章末整合练 习题课件第6页
      点击全屏预览
      6/17
      25秋 人教版 数学七上  第二章 有理数的运算 章末整合练 习题课件第7页
      点击全屏预览
      7/17
      25秋 人教版 数学七上  第二章 有理数的运算 章末整合练 习题课件第8页
      点击全屏预览
      8/17
      还剩9页未读, 继续阅读

      25秋 人教版 数学七上 第二章 有理数的运算 章末整合练 习题课件

      展开

      这是一份25秋 人教版 数学七上 第二章 有理数的运算 章末整合练 习题课件,共17页。
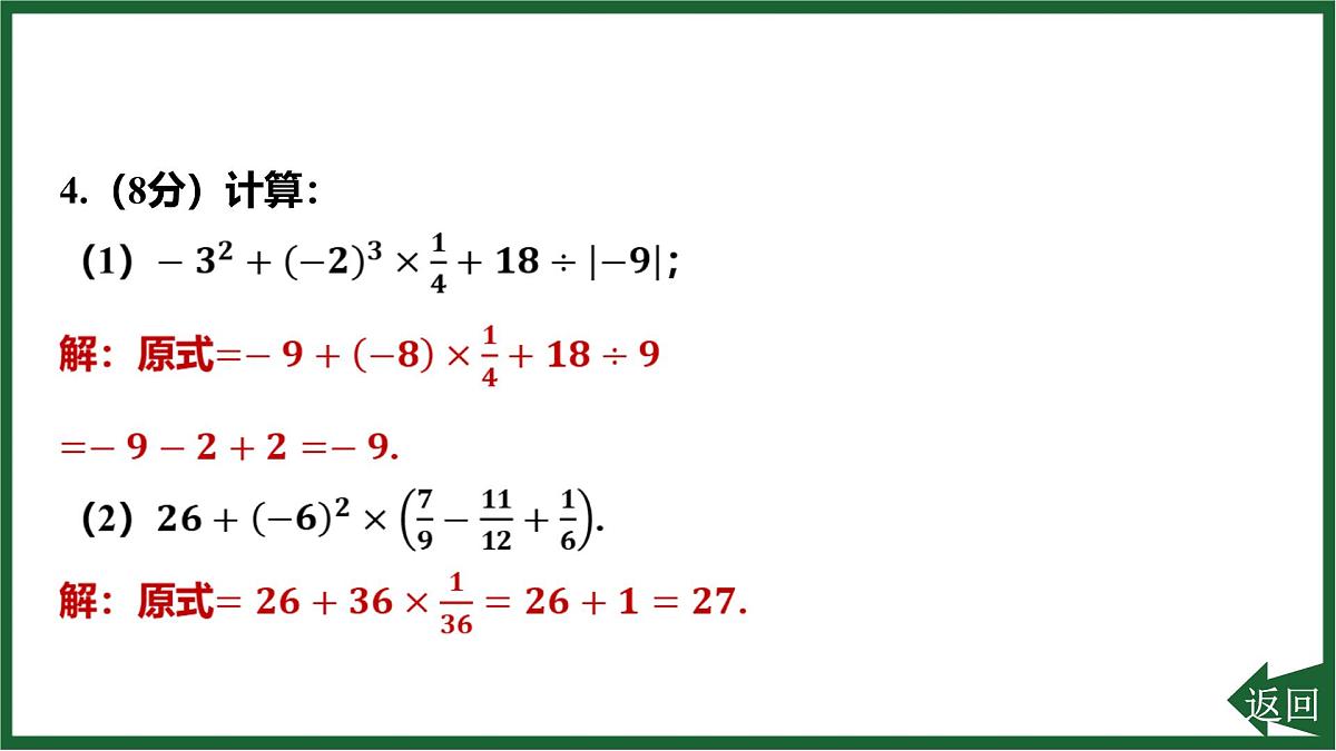
      第二章 有理数的运算章末整合练16273849510BBDACBA核心考点巩固知识结构和较大00相反数任何数倒数积核心考点巩固考点1 有理数的运算 B  返回 BA.0个 B.1个 C.2个 D.3个 返回 A  返回4.(8分)计算:     返回    返回    返回考点2 有理数的运算的应用 三个数之和与纵向三个数之和相等,则填入中间位置的小正方形内的数不可以是( )A  返回 (1)经过这7天,仓库里的粮食是增多了还是减少了?增多或减少了多少吨?  返回(2)经过这7天,仓库管理员结算发现仓库里还存有100吨粮食,那么7天前,仓库里存有粮食多少吨?  返回(3)如果进仓库的粮食装卸费是每吨2元,出仓库的粮食装卸费是每吨3元,求这7天要付多少元装卸费.  返回考点3 科学记数法 C  返回9. 下面是琳琳作业中的一道题目:“ ”处都是0但发生破损,琳琳查阅后发现本题答案为1,则破损处“0”的个数为( )BA.5 B.4 C.3 D.2 返回考点4 近似数 DA.4个 B.3个 C.2个 D.1个 返回

      资料下载及使用帮助
      版权申诉
      • 1.电子资料成功下载后不支持退换,如发现资料有内容错误问题请联系客服,如若属实,我们会补偿您的损失
      • 2.压缩包下载后请先用软件解压,再使用对应软件打开;软件版本较低时请及时更新
      • 3.资料下载成功后可在60天以内免费重复下载
      版权申诉
      若您为此资料的原创作者,认为该资料内容侵犯了您的知识产权,请扫码添加我们的相关工作人员,我们尽可能的保护您的合法权益。
      入驻教习网,可获得资源免费推广曝光,还可获得多重现金奖励,申请 精品资源制作, 工作室入驻。
      版权申诉二维码
      初中数学人教版(2024)七年级上册(2024)电子课本 新教材

      小结

      版本: 人教版(2024)

      年级: 七年级上册(2024)

      切换课文
      • 同课精品
      • 所属专辑26份
      • 课件
      • 教案
      • 试卷
      • 学案
      • 更多
      欢迎来到教习网
      • 900万优选资源,让备课更轻松
      • 600万优选试题,支持自由组卷
      • 高质量可编辑,日均更新2000+
      • 百万教师选择,专业更值得信赖
      微信扫码注册
      手机号注册
      手机号码

      手机号格式错误

      手机验证码 获取验证码 获取验证码

      手机验证码已经成功发送,5分钟内有效

      设置密码

      6-20个字符,数字、字母或符号

      注册即视为同意教习网「注册协议」「隐私条款」
      QQ注册
      手机号注册
      微信注册

      注册成功

      返回
      顶部
      添加客服微信 获取1对1服务
      微信扫描添加客服
      Baidu
      map