搜索
      上传资料 赚现金

      河北张家口2023~2024学年高一下册期末考试数学试卷[附解析]

      • 9.08 MB
      • 2025-06-23 06:43:40
      • 49
      • 0
      • 柏宇
      加入资料篮
      立即下载
      查看完整配套(共2份)
      包含资料(2份) 收起列表
      解析
      河北省张家口市2023-2024学年高一下学期期末考试数学试题(解析).docx
      预览
      原卷
      河北省张家口市2023-2024学年高一下学期期末考试数学试题.docx
      预览
      正在预览:河北省张家口市2023-2024学年高一下学期期末考试数学试题(解析).docx
      河北省张家口市2023-2024学年高一下学期期末考试数学试题(解析)第1页
      高清全屏预览
      1/20
      河北省张家口市2023-2024学年高一下学期期末考试数学试题(解析)第2页
      高清全屏预览
      2/20
      河北省张家口市2023-2024学年高一下学期期末考试数学试题(解析)第3页
      高清全屏预览
      3/20
      河北省张家口市2023-2024学年高一下学期期末考试数学试题第1页
      高清全屏预览
      1/5
      河北省张家口市2023-2024学年高一下学期期末考试数学试题第2页
      高清全屏预览
      2/5
      还剩17页未读, 继续阅读

      河北张家口2023~2024学年高一下册期末考试数学试卷[附解析]

      展开

      这是一份河北张家口2023~2024学年高一下册期末考试数学试卷[附解析],文件包含河北省张家口市2023-2024学年高一下学期期末考试数学试题解析docx、河北省张家口市2023-2024学年高一下学期期末考试数学试题docx等2份试卷配套教学资源,其中试卷共25页, 欢迎下载使用。
      注意事项:
      1.答卷前,考生务必将自己的姓名、班级和考号填写在答题卡上.
      2.回答选择题时,选出每小题答案后,用 2B 铅笔把答题卡上对应题目的答案标号涂黑,如
      需改动,用橡皮擦干净后,再选涂其他答案标号.回答非选择题时,将答案写在答题卡上.写
      在本试卷上无效.
      3.考试结束后,将本试卷和答题卡一并交回.
      一、选择题:本题共 8 小题,每小题 5 分,共 40 分.在每小题给出的四个选项中,只有一项
      是符合题目要求的.
      1. 已知一个总体中有 个个体,用抽签法从中抽取一个容量为 样本,若每个个体被抽到的可能性是
      ,则 ( )
      A. 10 B. 20 C. 40 D. 不确定
      2. 已知复数 (其中 i 为虚数单位),则 的虚部是( )
      A. B. C. D.
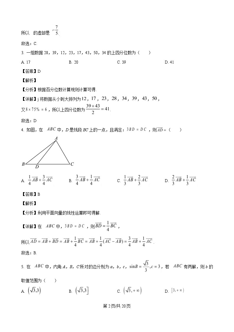
      3. 一组数据 28,39,12,23,17,43,50,34 的上四分位数为( )
      A. 17 B. 20 C. 39 D. 41
      4. 如图,在 中,D 是线段 BC 上的一点,且满足: ,则 ( )
      A. B. C. D.
      5. 在 中,内角 A,B,C 所对的边分别为 a,b,c, ,若 有两解,则 b 的
      取值范围为( )
      第 1页/共 5页
      A. B. C. D.
      6. 如 图 , 水 平 放 置 的 四 边 形 OABC 的 斜 二 测 画 法 的 直 观 图 为 直 角 梯 形 , 已 知
      ,则原四边形 OABC 的面积为( )
      A. B. 3 C. D.
      7. 随着暑假将近,某市文旅局今年为了使游客有更好 旅游体验,收集并整理去年暑假 60 天期间日接待游
      客量数据,绘制了如图所示的频率分布直方图,根据频率分布直方图,估计该市今年日接待游客量的平均
      数为(同一组的数据用该组区间的中点值作代表)( )
      A. 43.6 万人 B. 44.5 万人 C. 45 万人 D. 49.1 万人
      8. 如图,某电子元件由 , , 三种部件组成,现将该电子元件应用到某研发设备中,经过反复测试,
      , , 三种部件不能正常工作的概率分别为 , , ,各个部件是否正常工作相互独立,则该电子
      元件能正常工作的概率是( )
      A. B. C. D.
      二、选择题:本题共 3 小题,每小题 6 分,共 18 分.在每小题给出的选项中,有多项符合题
      目要求.全部选对的得 6 分,部分选对的得部分分,有选错的得 0 分.
      9. 已知复数 ,则下列说法正确的是( )
      A. B.
      第 2页/共 5页
      C. D.
      10. 已知函数 ,则下列说法正确的是( )
      A. 最小正周期为
      B. 图象的对称中心为
      C. 的单调递增区间为
      D. 为了得到 的图象,可将 的图象向左平移 个单位长度,再将横坐标变为原来的 2 倍
      11. 如图,已知正方体 的棱长为 4, 是 的中点, 是 的中点,则( )
      A. 若 是侧面 内一动点,则满足 平面 点 的轨迹长为
      B. 平面 内不存 点 ,使得 平面
      C. 三棱锥 的体积为 16
      D. 若 是 上一点,则 的最小值为
      三、填空题:本题共 3 小题,每小题 5 分,共 15 分.
      12. 已知 ,若 ,则 _________.
      13. 在正四棱锥 中, , 与平面 所成角的余弦值为 ,则四棱锥
      外接球的体积为_________.
      14. 在 中, , 是 上一点, 是 的平分线,且
      第 3页/共 5页
      ,则 的面积为_________.
      四、解答题:本题共 5 小题,共 77 分.解答应写出文字说明、证明过程或演算步骤.
      15. 已知向量 ,且 .
      (1)求 x 的值及 的夹角;
      (2)若 ,求 k 的值.
      16. 已知某校高一年级 1 班、2 班、3 班分别有 36 人、48 人、60 人,现从这 3 个班用按比例分配的分层随
      机抽样的方法抽取 24 人参加安全知识竞赛.
      (1)求这 3 个班分别抽取的人数;
      (2)已知从 1 班抽取的人中有 2 名女生,若要从 1 班抽取的人中选 2 名同学作为组长,求至少有 1 名女生
      作为组长的概率;
      (3)知识竞赛结束后,依据答题规则进行统计,甲同学回答 5 道题的得分分别为 69,71,72,73,75,乙
      同学回答 5 道题的得分分别为 70,71,71,73,75,请问甲、乙两名同学哪位同学的成绩更稳定?
      17. 如图,在矩形 中, , 是 的中点,将 沿 折起使点 到点 的位
      置, 是 的中点.
      (1)证明: 平面 ;
      (2)若 ,证明:平面 平面 ;
      (3)在(2)的条件下,求二面角 的余弦值.
      18. 请 在 ①向 量 , , 且 ; ②
      这两个条件中任选一个,填入横线上并解答.
      在 中,内角 , , 的对边分别为 , , ,且满足_________.
      (1)求角 的大小;
      (2)若 为锐角三角形, ,求 面积的取值范围.
      第 4页/共 5页
      (注:如果选择条件①和条件②分别解答,按第一个解答计分)
      19. 如图是函数 图象的一部分.
      (1)求函数 的解析式;
      (2)求函数 的单调区间;
      (3)记方程 在 上的根从小到大依次为 ,若
      ,试求 与 的值.
      第 5页/共 5页

      相关试卷 更多

      资料下载及使用帮助
      版权申诉
      • 1.电子资料成功下载后不支持退换,如发现资料有内容错误问题请联系客服,如若属实,我们会补偿您的损失
      • 2.压缩包下载后请先用软件解压,再使用对应软件打开;软件版本较低时请及时更新
      • 3.资料下载成功后可在60天以内免费重复下载
      版权申诉
      若您为此资料的原创作者,认为该资料内容侵犯了您的知识产权,请扫码添加我们的相关工作人员,我们尽可能的保护您的合法权益。
      入驻教习网,可获得资源免费推广曝光,还可获得多重现金奖励,申请 精品资源制作, 工作室入驻。
      版权申诉二维码
      欢迎来到教习网
      • 900万优选资源,让备课更轻松
      • 600万优选试题,支持自由组卷
      • 高质量可编辑,日均更新2000+
      • 百万教师选择,专业更值得信赖
      微信扫码注册
      手机号注册
      手机号码

      手机号格式错误

      手机验证码 获取验证码 获取验证码

      手机验证码已经成功发送,5分钟内有效

      设置密码

      6-20个字符,数字、字母或符号

      注册即视为同意教习网「注册协议」「隐私条款」
      QQ注册
      手机号注册
      微信注册

      注册成功

      返回
      顶部
      学业水平 高考一轮 高考二轮 高考真题 精选专题 初中月考 教师福利
      添加客服微信 获取1对1服务
      微信扫描添加客服
      Baidu
      map