搜索
      上传资料 赚现金

      山东省济宁市第一中学2024-2025学年高一下学期4月阶段性检测 数学试题(含解析)

      • 1.25 MB
      • 2025-06-05 07:19:56
      • 51
      • 0
      • ww
      加入资料篮
      立即下载
      查看完整配套(共2份)
      包含资料(2份) 收起列表
      解析
      山东省济宁市第一中学2024-2025学年高一下学期4月阶段性检测数学试题(解析).docx
      预览
      原卷
      山东省济宁市第一中学2024-2025学年高一下学期4月阶段性检测数学试题.docx
      预览
      正在预览:山东省济宁市第一中学2024-2025学年高一下学期4月阶段性检测数学试题(解析).docx
      山东省济宁市第一中学2024-2025学年高一下学期4月阶段性检测数学试题(解析)第1页
      高清全屏预览
      1/18
      山东省济宁市第一中学2024-2025学年高一下学期4月阶段性检测数学试题(解析)第2页
      高清全屏预览
      2/18
      山东省济宁市第一中学2024-2025学年高一下学期4月阶段性检测数学试题(解析)第3页
      高清全屏预览
      3/18
      山东省济宁市第一中学2024-2025学年高一下学期4月阶段性检测数学试题第1页
      高清全屏预览
      1/4
      山东省济宁市第一中学2024-2025学年高一下学期4月阶段性检测数学试题第2页
      高清全屏预览
      2/4
      还剩15页未读, 继续阅读

      山东省济宁市第一中学2024-2025学年高一下学期4月阶段性检测 数学试题(含解析)

      展开

      这是一份山东省济宁市第一中学2024-2025学年高一下学期4月阶段性检测 数学试题(含解析),文件包含山东省济宁市第一中学2024-2025学年高一下学期4月阶段性检测数学试题解析docx、山东省济宁市第一中学2024-2025学年高一下学期4月阶段性检测数学试题docx等2份试卷配套教学资源,其中试卷共22页, 欢迎下载使用。
      注意事项:
      1.答卷前,考生务必将自己的姓名、考生号等填写在答题卡和试卷指定位置.
      2.回答选择题时,选出每小题答案后,用铅笔把答题卡上对应题目的答案标号涂黑.如需改动,用橡皮擦干净后,再选涂其他答案标号.回答非选择题时,将答案写在答题卡上.写在本试卷上无效.
      3.考试结束后,将本试卷和答题卡一并收回.
      4.本试卷考试时间为120分钟,满分为150分.
      一、选择题:本题共8小题,每小题5分,共40分.在每小题给出的四个选项中,只有一个选项是符合要求的.
      1. 记的内角A,B,C的对边分别为a,b,c.如果,,,那么( )
      A. B. C. D.
      2. 已知,则的虚部为( )
      A. B. C. 2D.
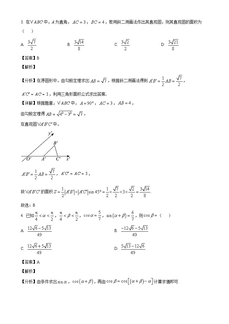
      3. 在中,A为直角,,,若用斜二测画法作出其直观图,则其直观图的面积为( )
      A. B. C. D.
      4 已知,,,,则( )
      A. B.
      C. D.
      5. 底面半径为3的圆锥被平行于底面的平面所截,截去一个底面半径为2、高为4的圆锥,所得圆台的体积为( )
      A. B. C. D.
      6. 记的内角的对边分别为.已知,则为( )
      A 锐角三角形B. 直角三角形C. 钝角三角形D. 等腰三角形
      7. 记的内角A,B,C的对边分别为a,b,c.若,则的大小是( )
      A. B. C. 3D.
      8. 圆环被同圆心的扇形截得的一部分叫做扇环.如图所示,扇环的外圆弧的长为,A、B分别为、的中点,扇形的面积为.若外圆弧上有一动点P(包含端点),则的取值范围是( )

      A. B. C. D.
      二、选择题:本大题共3小题,每小题6分,共18分.在每小题给出的选项中,有多项符合题目要求.全部选对的得6分,部分选对的得部分分,有选错的得0分.
      9. 下列说法错误的为( )
      A. 、为实数,若,则与共线
      B. 两个非零向量、,若,则与垂直
      C. 若且,则
      D. O是内一点,若,则
      10. 记的内角A,B,C的对边分别为a,b,c.若,则( )
      A.
      B. 若,且有两解,则b取值范围是
      C. 若,则
      D. 若且,则是等边三角形
      11. 函数fx=Msinωx+φM,ω>0,0

      相关试卷

      山东省济宁市第一中学2024-2025学年高一下学期4月阶段性检测 数学试题(含解析):

      这是一份山东省济宁市第一中学2024-2025学年高一下学期4月阶段性检测 数学试题(含解析),文件包含山东省济宁市第一中学2024-2025学年高一下学期4月阶段性检测数学试题解析docx、山东省济宁市第一中学2024-2025学年高一下学期4月阶段性检测数学试题docx等2份试卷配套教学资源,其中试卷共22页, 欢迎下载使用。

      山东省济宁市第一中学2024−2025学年高一下学期4月阶段性检测 数学试题(含解析):

      这是一份山东省济宁市第一中学2024−2025学年高一下学期4月阶段性检测 数学试题(含解析),共13页。试卷主要包含了单选题,多选题,填空题,解答题等内容,欢迎下载使用。

      山东省济宁市第一中学2023-2024学年高一下学期4月月考数学试题(Word版附解析):

      这是一份山东省济宁市第一中学2023-2024学年高一下学期4月月考数学试题(Word版附解析),文件包含山东省济宁市第一中学2023-2024学年高一下学期4月阶段性测试数学试卷解析版docx、山东省济宁市第一中学2023-2024学年高一下学期4月阶段性测试数学试卷docx等2份试卷配套教学资源,其中试卷共18页, 欢迎下载使用。

      资料下载及使用帮助
      版权申诉
      • 1.电子资料成功下载后不支持退换,如发现资料有内容错误问题请联系客服,如若属实,我们会补偿您的损失
      • 2.压缩包下载后请先用软件解压,再使用对应软件打开;软件版本较低时请及时更新
      • 3.资料下载成功后可在60天以内免费重复下载
      版权申诉
      若您为此资料的原创作者,认为该资料内容侵犯了您的知识产权,请扫码添加我们的相关工作人员,我们尽可能的保护您的合法权益。
      入驻教习网,可获得资源免费推广曝光,还可获得多重现金奖励,申请 精品资源制作, 工作室入驻。
      版权申诉二维码
      欢迎来到教习网
      • 900万优选资源,让备课更轻松
      • 600万优选试题,支持自由组卷
      • 高质量可编辑,日均更新2000+
      • 百万教师选择,专业更值得信赖
      微信扫码注册
      手机号注册
      手机号码

      手机号格式错误

      手机验证码 获取验证码 获取验证码

      手机验证码已经成功发送,5分钟内有效

      设置密码

      6-20个字符,数字、字母或符号

      注册即视为同意教习网「注册协议」「隐私条款」
      QQ注册
      手机号注册
      微信注册

      注册成功

      返回
      顶部
      学业水平 高考一轮 高考二轮 高考真题 精选专题 初中月考 教师福利
      添加客服微信 获取1对1服务
      微信扫描添加客服
      Baidu
      map