搜索
      上传资料 赚现金

      安徽省滁州市部分学校2024-2025学年高一下学期3月调研考试数学试卷(解析版)

      • 1.11 MB
      • 2025-05-03 12:04:14
      • 50
      • 0
      •  
      加入资料篮
      立即下载
      安徽省滁州市部分学校2024-2025学年高一下学期3月调研考试数学试卷(解析版)第1页
      高清全屏预览
      1/15
      安徽省滁州市部分学校2024-2025学年高一下学期3月调研考试数学试卷(解析版)第2页
      高清全屏预览
      2/15
      安徽省滁州市部分学校2024-2025学年高一下学期3月调研考试数学试卷(解析版)第3页
      高清全屏预览
      3/15
      还剩12页未读, 继续阅读

      安徽省滁州市部分学校2024-2025学年高一下学期3月调研考试数学试卷(解析版)

      展开

      这是一份安徽省滁州市部分学校2024-2025学年高一下学期3月调研考试数学试卷(解析版),共15页。试卷主要包含了单项选择题,多项选择题,填空题,解答题等内容,欢迎下载使用。
      一、单项选择题:本题共8小题,每小题5分,共0分.在每小题给出的四个选项中,只有一项是符合题目要求的.
      1. 下列说法错误的是( )
      A. 向量与向量长度相等
      B.
      C. 若向量与共线,与共线,则与共线
      D. 任一向量平移后都和原向量相等
      【答案】C
      【解析】对于A,向量与向量互为相反向量,方向相反、长度相等,故A正确;
      对于B,若,则方向相同、长度也相等,而方向相同的两向量一定是平行向量,故B正确;
      对于C,若,对任意两个非零向量与,都有,,故C不正确;
      对于D,任一向量在平移过程中保持向量的方向和长度并不改变,故平移后的向量都和原向量相等,故D正确.
      故选:C.
      2. 设集合,则( )
      A. B. C. D.
      【答案】B
      【解析】由,
      ,则.
      故选:B.
      3. 已知是单位向量,若,则向量与的夹角为( )
      A. B. C. D.
      【答案】A
      【解析】因为,所以,即;
      所以,
      因为,所以向量与的夹角为.
      故选:A.
      4. 已知平面向量,则向量在上的投影向量为( )
      A. B. C. D.
      【答案】D
      【解析】因为,所以,,
      所以向量在上的投影向量为.
      故选:D.
      5. 如图,在中,是边的中点,是边上靠近点的三等分点,设,则( )
      A. B.
      C. D.
      【答案】C
      【解析】是边的中点,,

      是边上靠近点的三等分点,,

      又,.
      故选:C.
      6. 已知向量满足,则( )
      A. B. C. D. 1
      【答案】A
      【解析】因为,所以;
      因为,所以,所以.
      故选:A.
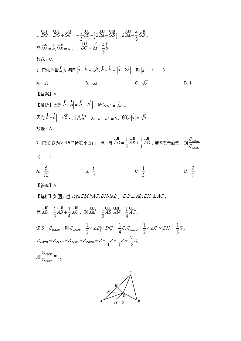
      7. 已知为所在平面内一点,且,若表示面积,则( )
      A. B. C. D.
      【答案】A
      【解析】如图,过作,,
      因,则,
      设,则,
      则.
      故选:A.
      8. 如图,在平面四边形中,,则( )
      A. B. C. D.
      【答案】B
      【解析】设,
      在△中,,则,
      又,
      故由正弦定理可得:,即;
      在中,,故,,
      故,
      又,故由正弦定理可得:,
      即,;
      联立,消去可得:,
      即,
      也即,,
      整理得:,故.
      故选:B.
      二、多项选择题:本题共3小题,每小题6分,共18分.在每小题给出的选项中,有多项符合题目要求,全部选对的得6分,部分选对的得部分分,有选错的得0分.
      9. 已知函数,且在区间上单调递减,则( )
      A. 在上单调递减且无最小值
      B. 在上单调递增且无最大值
      C. 在定义域内既不是奇函数,也不是偶函数
      D. 的图象关于直线对称
      【答案】ACD
      【解析】对于选项A、B,因为函数在上单调递增,
      又因为函数,且在区间上单调递减,
      所以, 所以在上单调递减且无最小值,故A正确,B错误;
      对于选项C,因为的定义域为,关于原点不对称,
      所以在定义域内既不是奇函数,也不是偶函数,故C正确;
      对于选项D,因为,
      所以的图象关于直线对称,故D正确.
      故选:ACD.
      10. 已知的外接圆半径为,内角所对的边分别是,则( )
      A. 是锐角三角形
      B. 是钝角三角形
      C.
      D. 面积的最大值为
      【答案】BCD
      【解析】由可得,
      由正弦定理,,代入化简得:,
      因,解得,故B正确,A错误;
      因,,解得,故C正确;
      由余弦定理,,可得,
      解得,当且仅当时,等号成立,
      于是,的面积为,
      即面积的最大值为,故D正确.
      故选:BCD.
      11. 引入平面向量之间的一种新运算“”如下:对任意的向量,,规定,则对于任意的向量,,,下列说法正确的有( )
      A. B.
      C. D.
      【答案】ABD
      【解析】A.因为,所以,故正确;
      B.因为,故正确;
      C.,
      此时不恒成立,故错误;
      D.因为,

      所以,
      所以,且,,所以,故正确.
      故选:ABD.
      三、填空题:本题共3小题,每小题5分,共15分.
      12. 若函数的定义域是,则函数的定义域是__________.
      【答案】
      【解析】要使函数有意义,则,
      ,取交集得.
      13. 高铁是我国国家名片之一,高铁的修建凝聚着中国人的智慧与汗水.如图所示,为山的两侧共线的三点,且与山脚处于同一水平线上,在山顶处测得三点的俯角分别为,计划沿直线开通穿山遂道,现已测得三条线段的长度分别为,则隧道的长度为__________.
      【答案】
      【解析】过作于,如图所示:
      设,由题意可知设,
      则有,,
      所以,解得,
      所以,
      在中,,
      所以,
      所以.
      14. 给定两个长度为1的平面向量和,它们的夹角为,如图,点在以为圆心的圆弧上运动,若,其中,则的取值范围是__________.
      【答案】
      【解析】由题意可得,则,,
      由,,则,,
      可得,解得,当且仅当时,等号成立,
      由图易知,所以.
      四、解答题:本题共5小题,共77分.解答应写出文字说明,证明过程或演算步骤.
      15. 已知向量.
      (1)当与的夹角为钝角时,求实数的取值范围;
      (2)若,且三点共线,求实数的值.
      解:(1)因为,
      所以.
      因为与夹角为钝角,所以,
      得且,故的取值范围为.
      (2).
      因为三点共线,
      所以,得.
      16. 已知向量满足,且与的夹角为.
      (1)若,求实数的值;
      (2)求与的夹角的余弦值.
      解:(1)因为,所以,
      即,即,
      所以,解得.
      (2)因为,

      所以,
      即与的夹角的余弦值为.
      17. 在2025年春晚的舞台设计中,有一个“灵蛇”造型的灯光图案,其形状可以近似看作由函数的图象组成,其中.下面是该函数的部分图象.
      (1)求的解析式;
      (2)将的图象向右平移个单位长度,再将所得图象上所在点的横坐标伸长为原来的2倍(纵坐标不变)得到函数的图象,若在时有两个不同的实数解,求实数的取值范围.
      解:(1)设的最小正周期为,根据题图,由三角函数图象的对称性,
      可得,解得,
      由,得,又,所以.
      故.
      由,得,所以.
      又因为,所以,所以.
      (2)将函数的图象向右平移个单位长度,
      得到函数的图象,
      再将所得图象上所有点的横坐标伸长为原来的2倍(纵坐标不变)
      得到函数的图象.
      要使在时有两个不同的实数解,
      需在时有两个不同的实数解,
      即需函数的图象与直线在时有两个不同的交点,
      画出函数的部分图象与直线,如图,
      因为,所以,
      由图可知,,解得,
      故实数的取值范围是.
      18. 已知函数.
      (1)设函数,求在区间上的值域;
      (2)设,证明:的图象是中心对称图形;
      (3)若函数,且在区间上有零点,求实数的取值范围.
      解:(1)

      当时,单调递增,
      又,
      故在区间上的值域为.
      (2)因为,
      所以

      故的图象关于点对称.
      (3)由题意得.
      设,当时,.
      则在区间上有零点,等价于函数在区间上有零点,
      即在时有实数解,
      即在时有实数解,
      即在时有实数解.
      设,则,
      易知在时单调递增,且当时,,
      当时,,所以,
      故实数的取值范围是.
      19. 在中,内角的对边分别为,已知.
      (1)求;
      (2)求的面积;
      (3)以为坐标原点,以方向为轴正方向,垂直于的直线为轴(使点在轴上方)建立平面直角坐标系,在所在的平面内有一动点,满足,求的最小值.
      解:(1)因为,
      所以,
      因为,所以,
      由正弦定理得,所以.
      (2)由余弦定理,(*).
      因为,则有,
      即,
      两边同时除以,得,
      由于,当且仅当时等号成立,
      而,当且仅当时等号成立,
      故得,
      此时,代入(*),可得,解得,
      故的面积为.
      (3)由(1),(2)可知,所以,如图建立直角坐标系,
      则,
      于是,,
      即,
      故可设(为变量,且),
      则,
      因,则,
      故当,即时,取得最小值为.

      相关试卷 更多

      资料下载及使用帮助
      版权申诉
      • 1.电子资料成功下载后不支持退换,如发现资料有内容错误问题请联系客服,如若属实,我们会补偿您的损失
      • 2.压缩包下载后请先用软件解压,再使用对应软件打开;软件版本较低时请及时更新
      • 3.资料下载成功后可在60天以内免费重复下载
      版权申诉
      若您为此资料的原创作者,认为该资料内容侵犯了您的知识产权,请扫码添加我们的相关工作人员,我们尽可能的保护您的合法权益。
      入驻教习网,可获得资源免费推广曝光,还可获得多重现金奖励,申请 精品资源制作, 工作室入驻。
      版权申诉二维码
      欢迎来到教习网
      • 900万优选资源,让备课更轻松
      • 600万优选试题,支持自由组卷
      • 高质量可编辑,日均更新2000+
      • 百万教师选择,专业更值得信赖
      微信扫码注册
      手机号注册
      手机号码

      手机号格式错误

      手机验证码 获取验证码 获取验证码

      手机验证码已经成功发送,5分钟内有效

      设置密码

      6-20个字符,数字、字母或符号

      注册即视为同意教习网「注册协议」「隐私条款」
      QQ注册
      手机号注册
      微信注册

      注册成功

      返回
      顶部
      学业水平 高考一轮 高考二轮 高考真题 精选专题 初中月考 教师福利
      添加客服微信 获取1对1服务
      微信扫描添加客服
      Baidu
      map