搜索
      上传资料 赚现金

      山西省临汾市2025届高考二模数学试卷(解析版)

      • 1.42 MB
      • 2025-04-12 08:53:17
      • 196
      • 0
      •  
      加入资料篮
      立即下载
      山西省临汾市2025届高考二模数学试卷(解析版)第1页
      高清全屏预览
      1/19
      山西省临汾市2025届高考二模数学试卷(解析版)第2页
      高清全屏预览
      2/19
      山西省临汾市2025届高考二模数学试卷(解析版)第3页
      高清全屏预览
      3/19
      还剩16页未读, 继续阅读

      山西省临汾市2025届高考二模数学试卷(解析版)

      展开

      这是一份山西省临汾市2025届高考二模数学试卷(解析版),共19页。试卷主要包含了 若,则的范围是, 设,则, 函数的图象可以是等内容,欢迎下载使用。
      1. ( )
      A. B. C. D.
      【答案】B
      【解析】,
      故选:B
      2. 若,则的范围是( )
      A. B. C. D.
      【答案】D
      【解析】由可得,
      故,
      故选:D
      3. 已知圆锥的底面半径为,其侧面展开图为个圆,则该圆锥的母线长为( )
      A. 4B. C. D.
      【答案】C
      【解析】设圆锥的底面半径为,母线为,
      由圆锥的侧面积公式可得,解得,
      因为,所以.
      故选:C.
      4. 记为等差数列的前项和,公差,且,则取得最小值时为( )
      A. 2021B. 4039C. 2020D. 4040
      【答案】C
      【解析】因为公差,所以数列单调递增,所以,又,
      所以,所以数列前项全为负,从开始为正,
      所以前项的和为的最小值,故.
      故选:C.
      5. 已知圆上的点到直线的距离为,则满足条件的点的个数为( )
      A. 1B. 2C. 3D. 4
      【答案】D
      【解析】的圆心为,半径为,
      圆心到直线的距离为,
      故到直线的距离为的点共有4个,
      故选:D
      6. 设,则( )
      A. B. C. D.
      【答案】A
      【解析】记则,
      故当时,,故在单调递增,
      当时,,故在单调递减,
      故,因此对任意的,都有,
      当且仅当时取到等号,
      故,故,故,
      由于,因此,
      故选:A
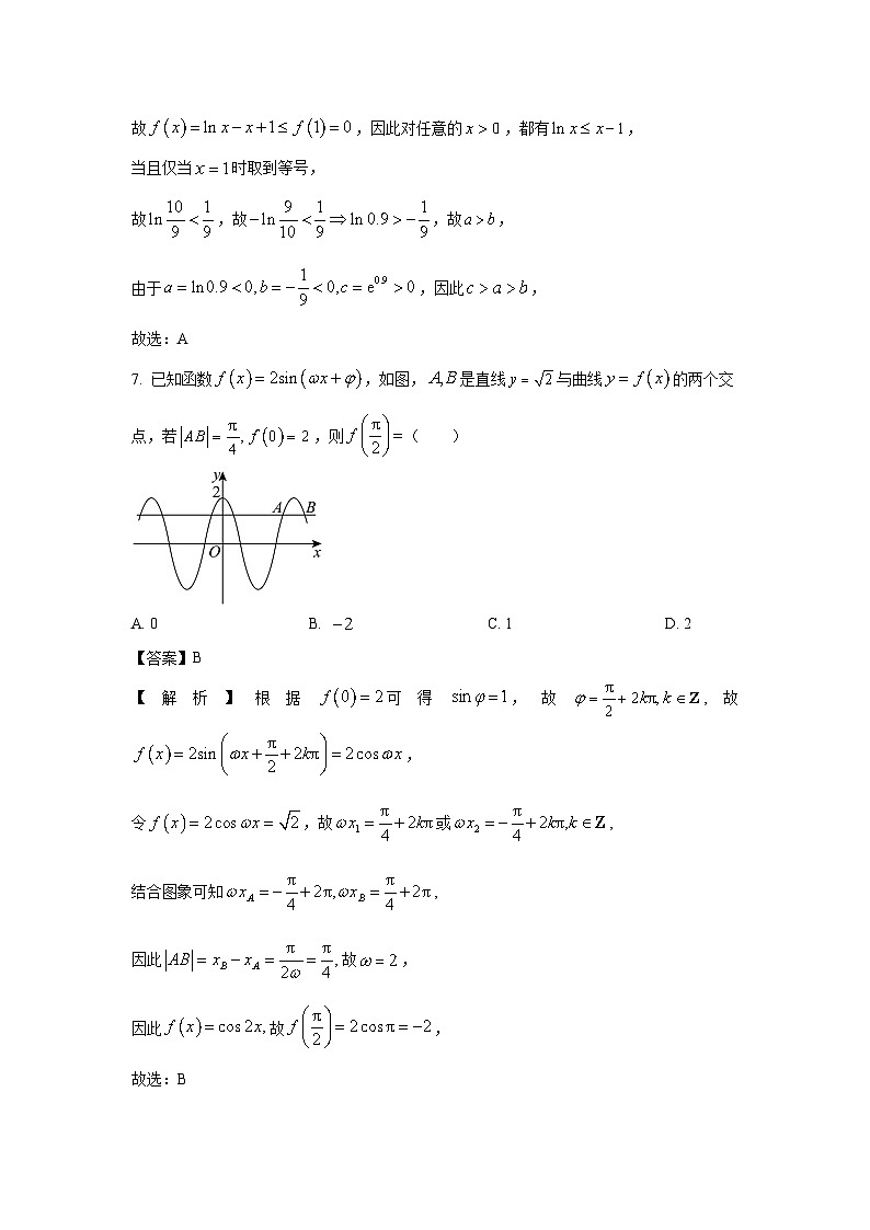
      7. 已知函数,如图,是直线与曲线的两个交点,若,则( )
      A. 0B. C. 1D. 2
      【答案】B
      【解析】根据可得,故,故,
      令,故或,
      结合图象可知,
      因此故,
      因此故,
      故选:B
      8. 在三棱锥中,,且二面角的大小为,则当该三棱锥的外接球体积最小时,( )
      A. B. 3C. D.
      【答案】A
      【解析】由于且二面角的大小为,故为二面角的平面角,故,
      由于平面,故平面,
      设,则,
      在中,由余弦定理可得

      则的外接圆直径,
      故外接球的半径
      当时,球的半径取得最小值,此时三棱锥的外接球体积最小,
      故.
      故选:A
      二、多选题:本题共3小题,每小题6分,共18分.在每小题给出的四个选项中,有多项符合题目要求.全部选对的得6分,部分选对的得部分分,有选错的得0分.
      9. 已知椭圆的左、右焦点分别为为椭圆上关于原点对称的两点,且,则( )
      A.
      B. 四边形的周长为
      C. 四边形的面积为
      D. 椭圆的离心率的取值范围为
      【答案】ABD
      【解析】依题意,互相平分,且,则四边形是矩形,令其半焦距为c,
      对于A,,A正确;
      对于B,四边形的周长为,B正确;
      对于C,四边形的面积为,C错误;
      对于D,由以原点为圆心,c为半径的圆与椭圆有公共点,得,即,
      解得,即离心率,D正确.
      故选:ABD
      10. 函数的图象可以是( )
      A. B.
      C. D.
      【答案】ABD
      【解析】当是,,故A符合;
      当时,在上单调递减,且,故B符合;
      当时,由为上的单调递增函数,
      令,则,即,
      因为,可得,所以在上的单调递增函数,
      所以,所以有唯一解,
      当时,,当时,,
      所以函数在上单调递减,在上单调递增,故D正确.
      故选:ABD.
      11. 已知数列满足:,则下列说法正确的是( )
      A.
      B. 是单调递增数列
      C. 若为数列的前项和,则
      D. 若对任意,都有,则
      【答案】ABC
      【解析】由,可得,
      故,
      也符合,
      故,,A正确,
      由于,故,因此是单调递增数列,B正确,

      故,C正确,
      由可定,
      当偶数时,则恒成立,由于单调递增,故,
      当为奇数时,则恒成立,由于单调递增,故,
      故对任意,都有,则,故D错误,
      故选:ABC
      三、填空题:本题共3小题,每小题5分,共15分.
      12. 二项式的展开式的常数项是______.
      【答案】
      【解析】的展开式的通项为
      令,解得,
      所以展开式的常数项.
      故答案为:.
      13. 已知,函数,若函数有三个零点,则实数的取值范围是______.
      【答案】
      【解析】因为函数有三个零点,即方程有三个解,
      当时,方程为,即,即,
      因为,所以,所以方程有两个根,又,
      所以有一个正根与一个负根,
      又,所以有一正的零点,
      当时,方程为,即
      因为函数有三个零点,所以方程有两个非正根,
      所以,解得,又,所以,
      所以实数的取值范围是.
      故答案为:.
      14. 已知双曲线的左焦点为,过点且倾斜角为的直线与的左支交于两点,为线段的中点,若(为坐标原点),则双曲线的离心率是______.
      【答案】
      【解析】设双曲线的半焦距为,则,直线方程为,
      由消去得,
      ,设,则,
      于是点,,
      解得,所以双曲线的离心率.
      故答案为:
      四、解答题:本题共5小题,共77分.解答应写出文字说明,证明过程或演算步骤.
      15. 已知分别为三个内角的对边,.
      (1)若,求的面积;
      (2)是否存在正整数,使得为锐角三角形?若存在,求出的最小值;若不存在,说明理由.
      解 :(1)由及正弦定理得:,
      又因为,所以,解得.
      所以.
      由余弦定理得:,
      由于所以,
      所以.
      (2)由,可知,,要使得为锐角三角形,
      则使角为锐角即可,即.
      且,即.
      由余弦定理得,
      则,
      解得,或,
      结合,故
      因为为正整数,所以的最小值为6.
      16. 设抛物线的焦点为,过的直线与相交于两点,是坐标原点.当的斜率为2时,.
      (1)求抛物线的方程;
      (2)若,求直线的方程.
      解:(1)当斜率为2时,设的方程为,
      联立,消得,
      ,解得.
      故抛物线的方程为.
      (2)解法一:
      当垂直轴时,直线方程为,可得两点坐标分别为,
      所以,,
      由余弦定理可得,不符合题意,
      设的方程为,两点,
      联立,消得,
      显然成立,并有.


      由得,,解得.
      从而方程为或,
      即的方程为或.
      解法二:
      由题可知,直线斜率不为0,
      设的方程为,两点,
      联立,.消得,
      显然成立,并有,


      由得,,
      解得,从而方程为,
      故直线的方程为或.
      17. 如图,在四棱锥中,底面为棱的中点,四面体的体积为的面积为.
      (1)求证:平面;
      (2)求点到平面的距离;
      (3)若,平面平面,点为棱上一点,当平面与平面夹角为时,求的长.
      (1)证明:在四棱锥中,取的中点,连接,
      在中,由分别为的中点,得,
      又,则,
      即四边形为平行四边形,,而平面平面,
      所以平面.
      (2)解:设点到平面的距离为,由四面体的体积为的面积为,
      得,解得,
      而平面平面,则平面,
      所以点到平面的距离为.
      (3)解:取的中点,连接,由,得,由平面平面,
      平面平面平面,得平面,即,
      则,由平面平面,得,
      又平面平面,则,而平面,
      因此平面,又平面,则,
      而的面积为,,则,,
      由,得,以为原点,直线分别为轴建立空间直角坐标系,
      则,设,
      则,
      ,设平面的法向量为,
      则,取,得,设平面的法向量为,
      则,取,得,
      ,由平面与平面的夹角为,
      得,解得,即为的中点,
      所以.
      18. 已知函数,其中.
      (1)当时,求曲线在处的切线方程;
      (2)求的单调区间;
      (3)当时,设的两个零点为,求证:.
      (1)解:当时,,
      则,即,
      故所求切线方程为.
      (2)解:由,,
      则,
      令,则;
      令,则,
      故的单调递增区间为,单调递减区间为.
      (3)证明:当时,,
      由(2)知在上单调递增,在上单调递减,
      又是的一个较小的零点,不妨设,
      要证,只需证,
      因为,且在上单调递减,
      从而只需证即可.

      令,
      在上单调递增.
      ,即证,即证.
      19. 乒乓球体育俱乐部计划进行单打比赛,采用单淘汰制进行比赛,即每名选手负一次即被淘汰出局.现有8名乒乓球单打运动员随机编号到对阵位置,所有运动员在任何一场比赛中获胜的概率均为.现有甲、乙两位孪生兄弟参赛.
      (1)求甲、乙在第一轮比赛过程中相遇的概率;
      (2)求甲、乙在比赛过程中相遇的概率;
      (3)为使得甲、乙两人在比赛过程中相遇的概率小于0.01,俱乐部计划增加运动员人数到名,对阵图和上图类似.
      (i)求甲、乙两人在第3轮比赛中相遇的概率(用含的式子表示);
      (ii)求的最小值.
      解:(1)设甲的位置固定,若乙要与甲在第一轮相遇只能在同一组,所以甲乙在第一轮相遇的概率.
      (2)由题可知甲乙相遇包括三种情况:甲乙第一轮相遇,甲乙第二轮相遇,甲乙第三轮相遇,
      甲乙要在第二轮相遇,则甲乙在同一个半区,但不在同一组的概率为,
      同时甲乙在第一轮都要获胜则.
      甲乙要在第三轮相遇,则甲乙不在同一个半区的概率为,
      同时甲乙在第一、二轮都要获胜则.
      所以甲乙相遇的概率.
      (3)(i)当人数增加到,则固定甲的位置后,乙有个选择,
      要使得甲乙能在第三轮相遇,
      由(2)可知甲乙必须得在同一个区内的不同半区的概率为,
      同时甲乙第一、二轮都要获胜,
      则甲、乙两人在第3轮比赛中相遇的概率为.
      (ii)解法一:记比赛的轮次为事件,
      甲乙在比赛过程中相遇的事件为,要使甲乙能在第轮相遇,
      则甲乙必须得在同一个区内的不同半区的概率为,
      同时甲乙在前轮都要获胜,
      所以.
      所以甲乙相遇的概率为.
      要使得甲乙相遇的概率小于0.01,即,即,
      又因为为整数,所以,所以最小的值为8.
      解法二:设名选手参赛,甲乙相遇的概率为,
      则当时,甲乙一定相遇,此时.
      当名选手参赛,甲乙相遇的概率为.
      考虑将个选手分成上下两个区,每区名选手,这时有2种情况,
      情形一:乙和甲在同一区,此时甲乙相遇的概率为,
      情形二:乙和甲不在同一区,两人相遇必须都进入决赛,即前轮比赛均获胜.
      所以,
      于是,

      累加得
      所以.
      令,则,
      因为为正整数,所以的最小值为8.

      相关试卷

      山西省临汾市2025届高考二模数学试卷(解析版):

      这是一份山西省临汾市2025届高考二模数学试卷(解析版),共19页。试卷主要包含了 若,则的范围是, 设,则, 函数的图象可以是等内容,欢迎下载使用。

      山西省吕梁市2025年高考数学二模试卷(含解析):

      这是一份山西省吕梁市2025年高考数学二模试卷(含解析),共19页。试卷主要包含了单选题,多选题,填空题,解答题等内容,欢迎下载使用。

      山西省临汾市2025届高三下学期二模数学试卷(PDF版附答案):

      这是一份山西省临汾市2025届高三下学期二模数学试卷(PDF版附答案),文件包含山西省临汾市2025年高考考前适应性训练考试二数学试题含答案docx、数学pdf等2份试卷配套教学资源,其中试卷共22页, 欢迎下载使用。

      资料下载及使用帮助
      版权申诉
      • 1.电子资料成功下载后不支持退换,如发现资料有内容错误问题请联系客服,如若属实,我们会补偿您的损失
      • 2.压缩包下载后请先用软件解压,再使用对应软件打开;软件版本较低时请及时更新
      • 3.资料下载成功后可在60天以内免费重复下载
      版权申诉
      若您为此资料的原创作者,认为该资料内容侵犯了您的知识产权,请扫码添加我们的相关工作人员,我们尽可能的保护您的合法权益。
      入驻教习网,可获得资源免费推广曝光,还可获得多重现金奖励,申请 精品资源制作, 工作室入驻。
      版权申诉二维码
      欢迎来到教习网
      • 900万优选资源,让备课更轻松
      • 600万优选试题,支持自由组卷
      • 高质量可编辑,日均更新2000+
      • 百万教师选择,专业更值得信赖
      微信扫码注册
      手机号注册
      手机号码

      手机号格式错误

      手机验证码 获取验证码 获取验证码

      手机验证码已经成功发送,5分钟内有效

      设置密码

      6-20个字符,数字、字母或符号

      注册即视为同意教习网「注册协议」「隐私条款」
      QQ注册
      手机号注册
      微信注册

      注册成功

      返回
      顶部
      学业水平 高考一轮 高考二轮 高考真题 精选专题 初中月考 教师福利
      添加客服微信 获取1对1服务
      微信扫描添加客服
      Baidu
      map