搜索
      上传资料 赚现金

      江苏省如皋中学2024-2025学年高一下学期3月月考 数学试题(含解析)

      • 756.23 KB
      • 2025-03-31 23:46:37
      • 56
      • 0
      • 教习网用户5463947
      加入资料篮
      立即下载
      江苏省如皋中学2024-2025学年高一下学期3月月考 数学试题(含解析)第1页
      高清全屏预览
      1/15
      江苏省如皋中学2024-2025学年高一下学期3月月考 数学试题(含解析)第2页
      高清全屏预览
      2/15
      江苏省如皋中学2024-2025学年高一下学期3月月考 数学试题(含解析)第3页
      高清全屏预览
      3/15
      还剩12页未读, 继续阅读

      江苏省如皋中学2024-2025学年高一下学期3月月考 数学试题(含解析)

      展开

      这是一份江苏省如皋中学2024-2025学年高一下学期3月月考 数学试题(含解析),共15页。试卷主要包含了单项选择题,多项选择题,填空题等内容,欢迎下载使用。
      一、单项选择题:本题共8小题,每小题5分,共40分、在每小题给出的四个选项中,只有一项是符合题目要求的.
      1 若,,则( )
      A. B. C. D.
      【答案】D
      【解析】
      【分析】利用平面向量的加减运算的坐标表示可得结果.
      【详解】易知.
      故选:D
      2. 若函数,则可以化简为( )
      A. B. C. D.
      【答案】C
      【解析】
      【分析】利用辅助角公式求出答案.
      【详解】,C正确;
      其他选项不满足要求.
      故选:C
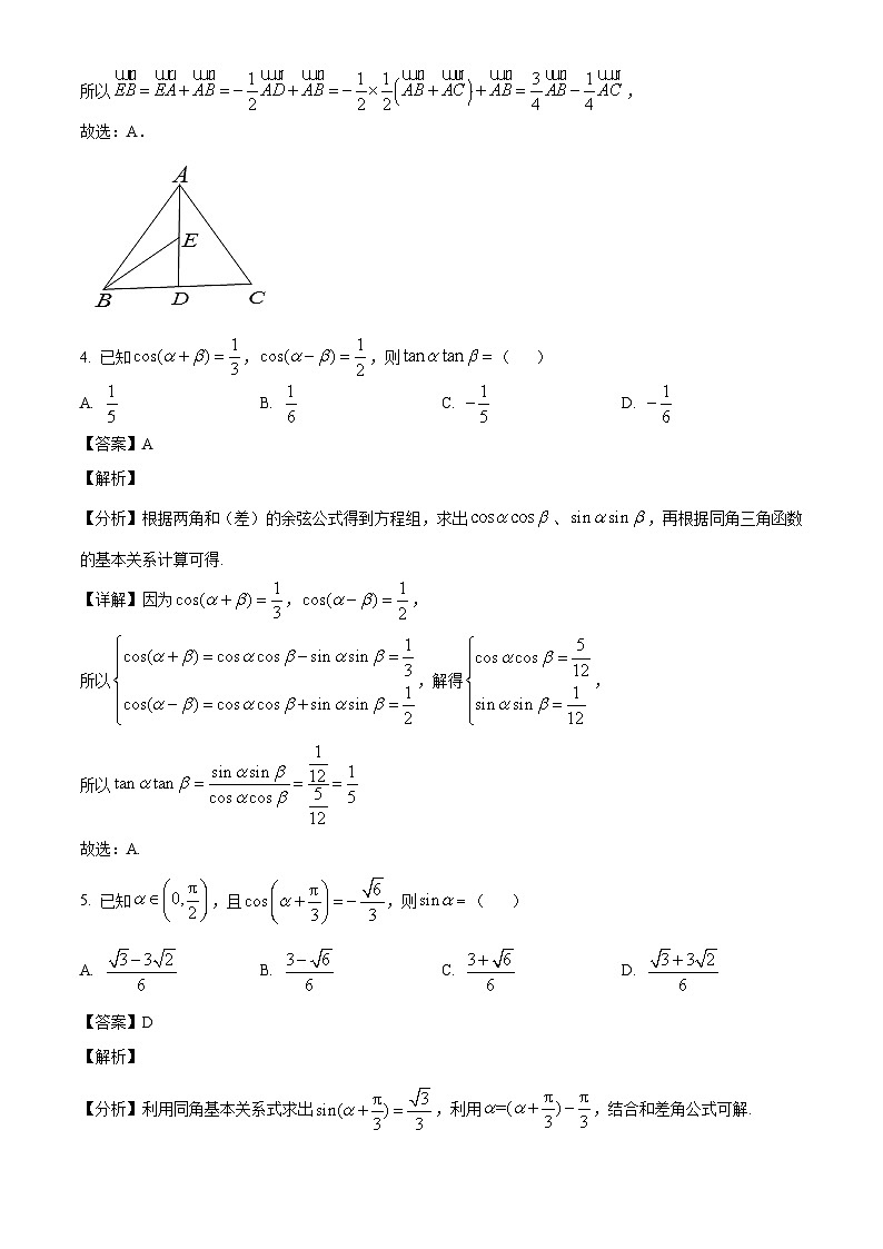
      3. 在中,为边上的中线,为的中点.则( )
      A. B. C. D.
      【答案】A
      【解析】
      【分析】根据平面向量的线性运算即可求解.
      【详解】因为中,为边上的中线,为的中点,
      所以,
      故选:A.
      4. 已知,,则( )
      A. B. C. D.
      【答案】A
      【解析】
      【分析】根据两角和(差)的余弦公式得到方程组,求出、,再根据同角三角函数的基本关系计算可得.
      【详解】因为,,
      所以,解得,
      所以
      故选:A.
      5. 已知,且,则( )
      A. B. C. D.
      【答案】D
      【解析】
      【分析】利用同角基本关系式求出,利用,结合和差角公式可解.
      【详解】由,则,
      又,,

      .
      故选:D.
      6. 在中,,,则的形状为( )
      A. 等腰直角三角形B. 三边均不相等的三角形
      C. 等边三角形D. 等腰(非直角)三角形
      【答案】A
      【解析】
      【分析】由数量积的运算律得到,即可得到,再由数量积的定义求出,即可判断.
      【详解】因为,即,即,
      所以,即,则,
      又表示与同向的单位向量,表示与同向的单位向量,
      所以,又,所以,
      所以,
      所以是等腰直角三角形.
      故选:A
      7. 已知α,β为锐角,,则的值为( )
      A. B. C. D.
      【答案】B
      【解析】
      【分析】利用同角的三角函数关系求得,进而利用两角各的余弦公式求得,可求的值.
      【详解】∵为锐角,,
      ∴,
      ∴.
      又,∴.
      故选:B.
      8. 已知,,则( )
      A. B. C. D.
      【答案】D
      【解析】
      【分析】利用和角的正弦公式将展开,再用商数关系弦化切即可求解.
      【详解】因为,
      将式子的左右两侧同时除以,可得

      即.
      故选:D
      二、多项选择题:本题共3小题,每小题6分,共18分.在每小题给出的四个选项中;有多项符合题目要求.全部选对的得6分,部分选对的得部分分,有选错的得0分.
      9. (多选)关于平面向量,,,下列说法中正确的是( )
      A. B.
      C. 若,则与的夹角为钝角D.
      【答案】AD
      【解析】
      【分析】运用向量的数量积定义,运算律,夹角概念逐个计算验证即可.
      【详解】
      故选:AD
      10. 下列各式中,计算结果为的是( )
      A. B.
      C. D.
      【答案】ACD
      【解析】
      【分析】根据三角恒等变换,化简求值.
      【详解】A.
      ,故A正确;
      B. ,故B错误;
      C. ,故C正确;
      D.
      ,故D正确.
      故选:ACD
      11. 已知向量,,,下列说法正确的是( )
      A. 若,则
      B. 设函数,则的最大值为2
      C. 最大值为
      D. 若,且在上投影向量为,则与的夹角为
      【答案】ABD
      【解析】
      【分析】根据判断A,由数量积的坐标表示及辅助角公式判断B,根据向量模的坐标表示及辅助角公式判断C,根据投影向量的定义及夹角公式判断D.
      【详解】对于A:若,则,所以,故A正确;
      对于B:,
      所以当,即时取得最大值,最大值为,故B正确;
      对于C:因为,
      所以,
      所以当时取得最大值,最大值为,故C错误;
      对于D:在上的投影向量为,所以,
      所以,
      又,所以,此时,故D正确.
      故选:ABD
      三、填空题:本题共3小题,每小题5分,共15分.
      12. ,,则__________.
      【答案】
      【解析】
      【分析】利用两角和的正切公式可求得结果.
      【详解】由已知条件可得
      .
      故答案为:.
      13. 已知,则的面积为______.
      【答案】5
      【解析】
      【分析】利用平面向量的数量积得到,进而确定三角形的底和高,再利用三角形面积公式求解面积即可.
      【详解】因为,所以,
      故,由向量的模长公式得,,
      且设的面积为,则.
      故答案为:5
      14. 如图,在平面四边形中,,,,且,则___________,若是线段上的一个动点,则的取值范围是___________.
      【答案】 ①. 4 ②.
      【解析】
      【分析】根据题意求出,,再根据平面向量数量积的定义可得;设,将和化为、、表示,利用定义求出关于的二次函数,根据二次函数知识可求得结果.
      【详解】因为,,所以为正三角形,所以,,
      因为,所以,
      因为,所以,所以.
      因为是线段上的一个动点,所以可设,
      所以

      因为,所以时,取得最小值,当时,取得最大值,
      所以的取值范围是.
      故答案为:4;
      【点睛】关键点点睛:将和化为、、表示,利用定义求出是解题关键.
      四、本题共5小题,共77分.在答题卡指定区域内作答,解答时应写出文字说明、证明过程或演算步骤.
      15. 已知向量,,且.
      (1)若向量与互相垂直,求的值.
      (2)若向量与互相平行,求的值.
      【答案】(1)
      (2)
      【解析】
      【分析】(1)由已知得,根据向量数量积的运算律及已知条件代入求解即可.
      (2)根据向量平行及平面向量基本定理列式求解.
      【小问1详解】
      ,,
      ,,即,得,
      若向量与互相垂直,则,
      即得,
      ,解得或.
      【小问2详解】
      由,所以,所以不共线,
      由向量与互相平行,
      可知存在实数,使得,
      ,解得,
      当时,;当时,.
      或.
      16. 已知,,,.
      (1)求;
      (2)求.
      【答案】(1)
      (2)
      【解析】
      【分析】(1)利用同角三角函数的基本关系可求出角的正弦值和余弦值,再利用两角差的正弦公式可求得的值;
      (2)利用同角三角函数的基本关系求出的值,再利用两角差的正弦公式可求得的值.
      【小问1详解】
      解:因为,则,,
      由可得,
      所以,.
      【小问2详解】
      解:因为,,则,所以,,
      所以,,
      因此,
      .
      17. 化简与证明:
      (1).
      (2).
      【答案】(1) (2)证明见详解
      【解析】
      【分析】(1)将变成,利用两角和差的正弦公式化简得解;
      (2)利用两角和与差的余弦公式,平方关系从左向右证化简证明.
      【小问1详解】
      .
      【小问2详解】
      左边
      .
      左边右边,得证.
      18. 电视塔是县城的标志性建筑,我校高一年级数学兴趣小组去测量电视塔AB的高度,该兴趣小组同学在电视塔底B的正东方向上选取两个测量点C与D,记,(左图),测得米,,.
      (1)请据此算出电视塔AB的高度;
      (2)为庆祝即将到来的五一劳动节,县政府决定在电视塔上A到E处安装彩灯烘托节日气氛.已知米,市民在电视塔底B的正东方向上的F处欣赏彩灯(图右),请问当BF为多少米时,欣赏彩灯的视角最大?
      【答案】(1)150米
      (2)米
      【解析】
      【分析】(1)分别在和中,利用正切函数表示出,然后根据题意列方程可求出;
      (2)由图可知,设米,给两边取正切化简,结合基本不等式可求得其最大值.
      【小问1详解】
      在中,,得
      在中,,得
      因为,
      所以,解得米.
      答:电视塔的高度大约是150米.
      【小问2详解】
      由图可知,设米,则
      当且仅当,即时等号成立.
      显然且在单调递增,即最大时最大.
      答:当为米时,欣赏彩灯的视角最大.
      19. 对于函数,称向量为函数的相伴特征向量,同时称函数为向量的相伴函数.
      (1)设函数,试求函数的相伴特征向量的坐标;
      (2)记向量的相伴函数为.
      (I)当且时,求的值;
      (II)当时,不等式恒成立,求实数的取值范围.
      【答案】(1)
      (2)(I) (II)
      【解析】
      【分析】(1)利用两角差的正弦公式及两角和的余弦公式化简函数解析式,再结合函数的相伴特征向量的定义即可求解;
      (2)(I)根据题意先求得函数的解析式,结合已知条件求得的值,进而求得的值,通过配角的方法并结合两角差的正弦公式即可求解;
      (II)通过诱导公式化简原式,通过分类讨论的正负,通过参变分离法转化为最值问题即可求解.
      【小问1详解】

      ∴由题可知:函数的相伴特征向量的坐标.
      【小问2详解】
      由题可知:向量的相伴函数.
      (I),,即.
      ,,.

      (II)当时,不等式f(x)+kfx+π2=2sin(x+π3)+2kcs(x+π3)>0可化为,即恒成立.
      ,.
      当,即时,,恒成立,∴k>−tan(x+π3)max.
      ,,∴k>−tan(x+π3)max=−3;
      当,即时,,,不等式恒成立;
      当,即时,,恒成立,.
      ,,.
      综上,实数的取值范围为..
      【点睛】恒成立问题多参变分离后转化为最值问题,通过分类讨论等方法快速求出参数范围.A

      根据向量的运算律可知,A正确
      B
      ×
      表示与向量共线的向量,表示与向量共线的向量,则与不一定相等
      C
      ×
      当两个非零向量与的方向相反时,,此时与的夹角为,不是钝角
      D

      若与中至少有一个零向量,则,此时与共线;
      若与均为非零向量,设与的夹角为,则,可得.
      又,所以或,即与共线,反之也成立.
      综上,

      相关试卷 更多

      资料下载及使用帮助
      版权申诉
      • 1.电子资料成功下载后不支持退换,如发现资料有内容错误问题请联系客服,如若属实,我们会补偿您的损失
      • 2.压缩包下载后请先用软件解压,再使用对应软件打开;软件版本较低时请及时更新
      • 3.资料下载成功后可在60天以内免费重复下载
      版权申诉
      若您为此资料的原创作者,认为该资料内容侵犯了您的知识产权,请扫码添加我们的相关工作人员,我们尽可能的保护您的合法权益。
      入驻教习网,可获得资源免费推广曝光,还可获得多重现金奖励,申请 精品资源制作, 工作室入驻。
      版权申诉二维码
      欢迎来到教习网
      • 900万优选资源,让备课更轻松
      • 600万优选试题,支持自由组卷
      • 高质量可编辑,日均更新2000+
      • 百万教师选择,专业更值得信赖
      微信扫码注册
      手机号注册
      手机号码

      手机号格式错误

      手机验证码 获取验证码 获取验证码

      手机验证码已经成功发送,5分钟内有效

      设置密码

      6-20个字符,数字、字母或符号

      注册即视为同意教习网「注册协议」「隐私条款」
      QQ注册
      手机号注册
      微信注册

      注册成功

      返回
      顶部
      学业水平 高考一轮 高考二轮 高考真题 精选专题 初中月考 教师福利
      添加客服微信 获取1对1服务
      微信扫描添加客服
      Baidu
      map