搜索
      上传资料 赚现金

      湖北省襄阳市鄂北六校2023-2024学年高一下学期4月期中联考数学试题(Word版附解析)

      • 963.15 KB
      • 2025-03-26 17:55:52
      • 80
      • 0
      • 教习网3275309
      加入资料篮
      立即下载
      压缩包含2份文件 展开
      文件列表(2份) 收起
      原卷
      湖北省襄阳市鄂北六校2023-2024学年高一下学期4月期中联考考试数学试题(原卷版).docx
      预览
      解析
      湖北省襄阳市鄂北六校2023-2024学年高一下学期4月期中联考考试数学试题 Word版含解析.docx
      预览
      正在预览:湖北省襄阳市鄂北六校2023-2024学年高一下学期4月期中联考考试数学试题(原卷版).docx
      湖北省襄阳市鄂北六校2023-2024学年高一下学期4月期中联考考试数学试题(原卷版)第1页
      1/5
      湖北省襄阳市鄂北六校2023-2024学年高一下学期4月期中联考考试数学试题(原卷版)第2页
      2/5
      湖北省襄阳市鄂北六校2023-2024学年高一下学期4月期中联考考试数学试题 Word版含解析第1页
      1/17
      湖北省襄阳市鄂北六校2023-2024学年高一下学期4月期中联考考试数学试题 Word版含解析第2页
      2/17
      湖北省襄阳市鄂北六校2023-2024学年高一下学期4月期中联考考试数学试题 Word版含解析第3页
      3/17
      还剩3页未读, 继续阅读

      湖北省襄阳市鄂北六校2023-2024学年高一下学期4月期中联考数学试题(Word版附解析)

      展开

      这是一份湖北省襄阳市鄂北六校2023-2024学年高一下学期4月期中联考数学试题(Word版附解析),文件包含湖北省襄阳市鄂北六校2023-2024学年高一下学期4月期中联考考试数学试题原卷版docx、湖北省襄阳市鄂北六校2023-2024学年高一下学期4月期中联考考试数学试题Word版含解析docx等2份试卷配套教学资源,其中试卷共22页, 欢迎下载使用。
      试卷满分:150分 考试用时:120分钟
      注意事项:
      1.答题前,先将自己的姓名、准考证号、考场号﹑座位号填写在试卷和答题卡上,并认真核准准考证号条形码上的信息,将条形码粘贴在答题卡上的指定位置。
      2.请按题号顺序在答题卡上各题目的答题区域内作答,写在试卷、草稿纸和答题卡上的非答题区域均无效。
      3.选择题用2B铅笔在答题卡上把所选答案的标号涂黑;非选择题用黑色签字笔在答题卡上作答;字体工整,笔迹清楚。
      一、选择题:本题共8小题,每小题5分,共40分.在每小题给出的四个选项中,只有一项是符合题目要求的.
      1. 已知向量,,若,则( )
      A. 5B. 2C. 3D. 4
      【答案】B
      【解析】
      【分析】利用向量坐标运算,结合相等向量求解即得.
      【详解】向量,,由,得,
      所以.
      故选:B
      2. 已知点落在角的终边上,则( )
      A. B. C. D.
      【答案】C
      【解析】
      【分析】根据三角函数的定义求解余弦值,再利用二倍角的余弦公式求解即可.
      【详解】因为点落在角的终边上,
      所以,
      所以
      故选:C
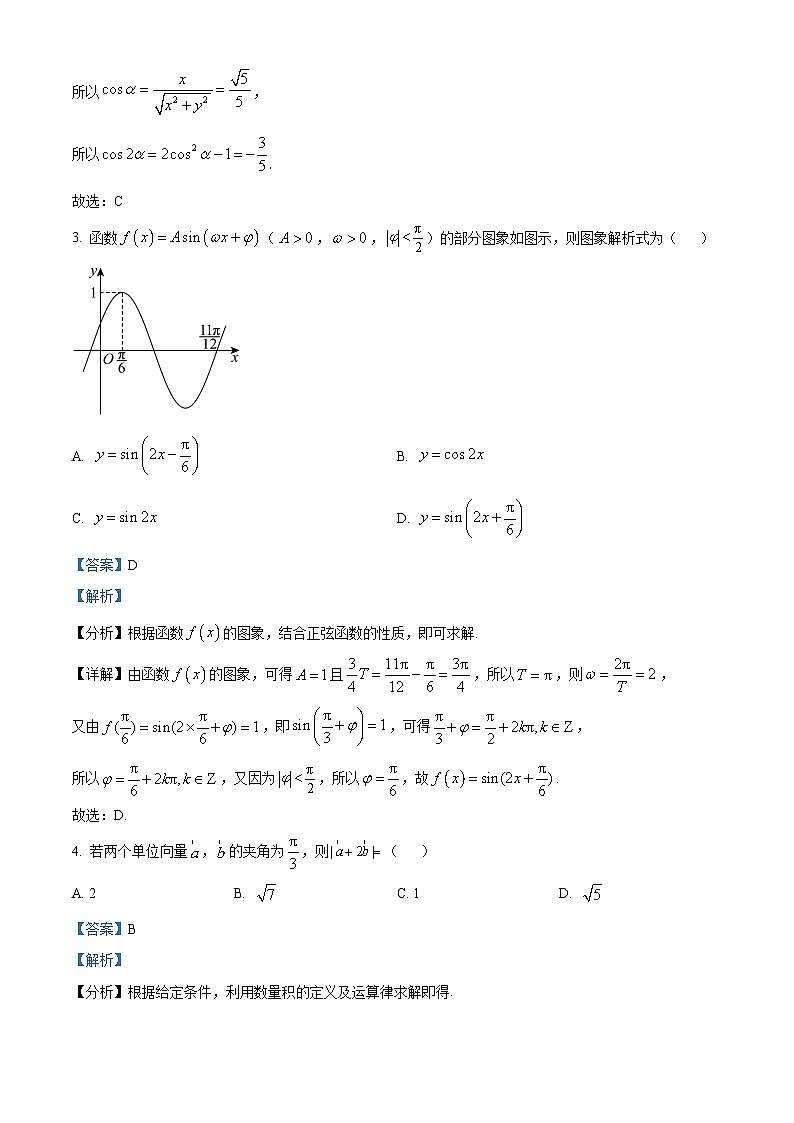
      3. 函数(,,)的部分图象如图示,则图象解析式为( )
      A. B.
      C. D.
      【答案】D
      【解析】
      【分析】根据函数的图象,结合正弦函数的性质,即可求解.
      【详解】由函数的图象,可得且,所以,则,
      又由,即,可得,
      所以,又因为,所以,故.
      故选:D.
      4. 若两个单位向量,的夹角为,则( )
      A. 2B. C. 1D.
      【答案】B
      【解析】
      【分析】根据给定条件,利用数量积的定义及运算律求解即得.
      【详解】由两个单位向量,的夹角为,得,
      所以.
      故选:B
      5. 化简得( )
      A. B. C. D.
      【答案】C
      【解析】
      【分析】依题意可得,利用两角差的正弦公式、二倍角公式及诱导公式计算可得.
      【详解】
      .
      故选:C
      6. 我国古代的数学著作《九章算术》中的一个问题,现有一个“圆材埋壁”模型,其截面如图所示.若圆柱材料的截面圆的半径长为3,圆心为O,墙壁截面ABCD为矩形,且劣弧的长等于半径OA长的2倍,则圆材埋在墙壁内部的阴影部分截面面积是( )
      A. B. C. D. 9
      【答案】A
      【解析】
      【分析】先计算出扇形的面积,再求出,相减得到答案.
      【详解】由题意得,劣弧,
      故扇形的面积为,
      设圆心角为,则,
      故,
      故圆材埋在墙壁内部阴影部分截面面积为.
      故选:A
      7. 已知是平面上一定点,是平面上不共线的三个点,且,当时,则( )
      A. B. C. D.
      【答案】B
      【解析】
      【分析】如图,根据条件得到,利用数量积的几何意义,即可求出结果.
      【详解】因为,
      如图,取中点,又,所以,即,
      结合平面向量数量积的几何意义,又,得到,
      故选:B.
      8. 如图,在钝角△ABC中,角A,B,C所对的边分别是a,b,c,,过点A作与垂直的单位向量,将与向量表达式两边进行数量积的运算,即,化简后得到的结论是( )
      A. B. C. D.
      【答案】A
      【解析】
      【分析】由向量数量积的运算律和定义可化简等式得到,由此可得结论.
      【详解】因为向量是单位向量,且,所以, ,
      所以


      所以,即.
      故选:A.
      二、多选题:本题共3小题,每小题6分,共18分.在每小题给出的选项中,有多项符合题目要求.全部选对的得6分.部分选对的得部分分,有选错的得0分.
      9. 下列说法正确的是( )
      A. 已知,为平面内两个不共线的向量,则可作为平面的一组基底
      B. 已知两个非零向量,,若,则与同向
      C. 在中,若,,则为等边三角形
      D. 若向量,满足,则存在唯一实数,使得
      【答案】ABC
      【解析】
      【分析】利用向量共线知识可以判断ABD,利用向量数量积运算可以判断C.
      【详解】对A,因为,为平面内两个不共线的向量,设时,,
      此时无解,所以与不共线,即可作为基底,故A正确;
      对B,因为两个非零向量,, ,所以与同向,故B正确;
      对C,由,可得,
      再由,可得,
      综上为等边三角形,故C正确;
      对D,向量,满足,当不等于零向量时,不存在实数,使得,故D错误;
      故选:ABC.
      10. 把函数()的图象向左平移个单位长度,得到的函数图象恰好关于轴对称,则下列说法正确的是( )
      A. 的最小正周期为
      B. 在区间上单调递增
      C. 当时,的值域为
      D. 若在区间上至少存在六个零点,则实数a的取值范围为
      【答案】BCD
      【解析】
      【分析】根据题意化简得,根据最小正周期计算公式可判断A;根据三角函数性质计算可判断B;由,得,根据三角函数性质计算即可判断C;由得或,所以在区间上的解从小到大依次为:,根据题意建立不等式计算即可判断D.
      【详解】

      因为图象关于轴对称,所以,解得,
      因为,解得,即,
      对A,最小正周期,故A错误;
      对B,令,解得,
      所以函数得单调递增区间为
      当时,单调递增区间为,
      所以函数在区间上单调递增,故B正确;
      对C,因为,所以,
      当或,即或时,函数有最小值为,
      当,即时,函数有最大值为,
      所以的值域为,故C正确;
      对D,因为,有,即,解得或,
      故在区间上的解从小到大依次为:,
      要使在区间上至少存在六个零点,则,故D正确.
      故选:BCD.
      11. 中,,点在线段上,下列结论正确的是()
      A. 若是中线,则B. 若是高,则
      C. 若是角平分线,则D. 若,则是线段的三等分点
      【答案】AC
      【解析】
      【分析】分别使用向量解决三角形中线长问题,等面法求解高线、角平分线问题,两次使用余弦定理解决三等分点问题.
      【详解】
      A选项:由余弦定理知:
      因为是中线,则


      B选项:

      则故B错误.
      C选项:

      则则故C正确.
      D选项:在中
      在中
      即若是线段的三等分点,则
      但不是方程的解,则选项D错误.
      故选:AC.
      三、填空题:本题共3小题,每小题5分,共15分.
      12. 已知向量,,则向量在向量上的投影向量为____________(用坐标表示).
      【答案】
      【解析】
      【分析】根据题意,求得,结合投影向量的计算公式,即可求解.
      【详解】由向量,,可得,且,则,
      所以向量在向量上的投影向量为.
      故答案为:.
      13. 已知,则____________.
      【答案】
      【解析】
      分析】根据题意,求得,结合,即可求解.
      【详解】因为,可得,所以,

      故答案为:.
      14. 定义:.已知a,b,c分别为△ABC的三个内角A,B,C所对的边,若,且,则边c的最小值为____________.
      【答案】##
      【解析】
      【分析】先由新定义将原式化简,并求得,再代入余弦定理公式表示c,利用基本不等式求得其最小值.
      【详解】由题可知,
      化简得,即,
      C为三角形内角,解得,
      由余弦定理得,
      所以,时等号成立,所以边c的最小值为.
      故答案为:.
      四、解答题:本题共5小题,共77分.解答应写出文字说明、证明过程或演算步骤.
      15. 已知,.
      (1)求与的夹角的余弦值;
      (2)若,求值.
      【答案】(1)
      (2)
      【解析】
      【分析】(1)根据向量坐标运算结合向量的夹角公式计算即可;
      (2)应用向量坐标垂直公式运算可求参数.
      【小问1详解】

      ∴,,
      【小问2详解】


      16. 已知,,且,,,求:
      (1)值;
      (2)的值.
      【答案】(1)
      (2)
      【解析】
      【分析】(1)计算出,利用正弦和角公式求出答案;
      (2)利用余弦的两角差公式可得,结合得到答案.
      【小问1详解】
      ∵,
      ∴,



      【小问2详解】
      由(1)可得


      又∵,
      ∴.
      17. 在△ABC中,内角A,B,C的对边分别为a,b,c,且.
      (1)求角A的大小;
      (2)若,D是线段AC上的一点,,,求边c.
      【答案】(1)
      (2)
      【解析】
      【分析】(1)由正弦定理和余弦定理得,得到角A的大小;
      (2)设(),则,根据二倍角公式和求出的余弦值和正弦值,故,由正弦定理求出答案.
      【小问1详解】
      因为,
      所以由正弦定理可得,
      即,
      所以,
      因为,所以
      【小问2详解】
      设(),
      则,
      所以,
      解得,故,
      所以,
      由正弦定理,,即,
      所以
      18. 在中,内角A,B,C的对边分别为a,b,c,BC,AC边上的两条中线AM,BN相交于点P.
      (1)令,,用,表示;
      (2)证明:;
      (3)若,,,求∠MPN的余弦值.
      【答案】(1)
      (2)证明见解析 (3)
      【解析】
      【分析】(1)由条件可得,结合可解;
      (2)在中,由余弦定理,得,在中,由余弦定理,得;
      (3)与的夹角相等,根据向量夹角公式可求其大小.
      【小问1详解】
      由题可知是的重心,且,
      所以.
      小问2详解】
      在中,由余弦定理,得,
      在中,由余弦定理,得
      .
      【小问3详解】
      因为,,,
      所以,
      所以,即的余弦值为.
      19. 已知O为坐标原点,对于函数,称向量为函数的相伴特征向量,同时称函数为向量的相伴函数.
      (1)记向量的相伴函数为,若且,求的值;
      (2)设(),试求函数的相伴特征向量,并求出与方向相反的单位向量﹔
      (3)已知,,,为函数()的相伴特征向量,,请问在的图象上是否存在一点P,使得?若存在,求出点P的坐标;若不存在,说明理由.
      【答案】(1)
      (2),
      (3)存在,
      【解析】
      【分析】(1)先根据相伴函数定义再结合两角和差公式计算即可;
      (2)结合相伴函数定义及反向定义求解;
      (3)先设点P的坐标,再应用函数求解计算可解.
      【小问1详解】
      由题意知,向量的相伴函数为
      由题意,且,,,
      故;
      【小问2详解】
      因为
      故函数的相伴特征向量,
      则与反向的单位向量为
      【小问3详解】
      因为,
      其相伴特征向量,
      故,所以,
      则,
      设点,
      又,,
      所以,,
      若,则,
      即,,
      因为,,
      故,
      又,故当且仅当时,成立
      故在的图象上存在一点,使得

      相关试卷 更多

      资料下载及使用帮助
      版权申诉
      • 1.电子资料成功下载后不支持退换,如发现资料有内容错误问题请联系客服,如若属实,我们会补偿您的损失
      • 2.压缩包下载后请先用软件解压,再使用对应软件打开;软件版本较低时请及时更新
      • 3.资料下载成功后可在60天以内免费重复下载
      版权申诉
      若您为此资料的原创作者,认为该资料内容侵犯了您的知识产权,请扫码添加我们的相关工作人员,我们尽可能的保护您的合法权益。
      入驻教习网,可获得资源免费推广曝光,还可获得多重现金奖励,申请 精品资源制作, 工作室入驻。
      版权申诉二维码
      期中专区
      • 精品推荐
      • 所属专辑8份
      欢迎来到教习网
      • 900万优选资源,让备课更轻松
      • 600万优选试题,支持自由组卷
      • 高质量可编辑,日均更新2000+
      • 百万教师选择,专业更值得信赖
      微信扫码注册
      手机号注册
      手机号码

      手机号格式错误

      手机验证码 获取验证码 获取验证码

      手机验证码已经成功发送,5分钟内有效

      设置密码

      6-20个字符,数字、字母或符号

      注册即视为同意教习网「注册协议」「隐私条款」
      QQ注册
      手机号注册
      微信注册

      注册成功

      返回
      顶部
      学业水平 高考一轮 高考二轮 高考真题 精选专题 初中月考 教师福利
      添加客服微信 获取1对1服务
      微信扫描添加客服
      Baidu
      map