搜索
      上传资料 赚现金

      [精] 华师大(2024版)数学七年级上册 第一章 第1章小结与复习课件(含教案)

      • 300.98 KB
      • 2025-03-24 06:40:54
      • 125
      • 0
      • 教习网会员03
      加入资料篮
      立即下载
      压缩包含3份文件 展开
      文件列表(3份) 收起
      课件
      小结.pptx
      预览
      课件
      数学活动.pptx
      预览
      第一章小结与复习.DOCX
      预览
      正在预览:小结.pptx
      小结第1页
      1/20
      小结第2页
      2/20
      小结第3页
      3/20
      小结第4页
      4/20
      小结第5页
      5/20
      小结第6页
      6/20
      小结第7页
      7/20
      小结第8页
      8/20
      数学活动第1页
      1/8
      数学活动第2页
      2/8
      数学活动第3页
      3/8
      数学活动第4页
      4/8
      第一章小结与复习第1页
      1/2
      还剩12页未读, 继续阅读

      华师大(2024版)数学七年级上册 第一章 第1章小结与复习课件(含教案)

      展开

      这是一份华师大(2024版)数学七年级上册 第一章 第1章小结与复习课件(含教案),文件包含小结pptx、数学活动pptx、第一章小结与复习DOCX等3份课件配套教学资源,其中PPT共28页, 欢迎下载使用。
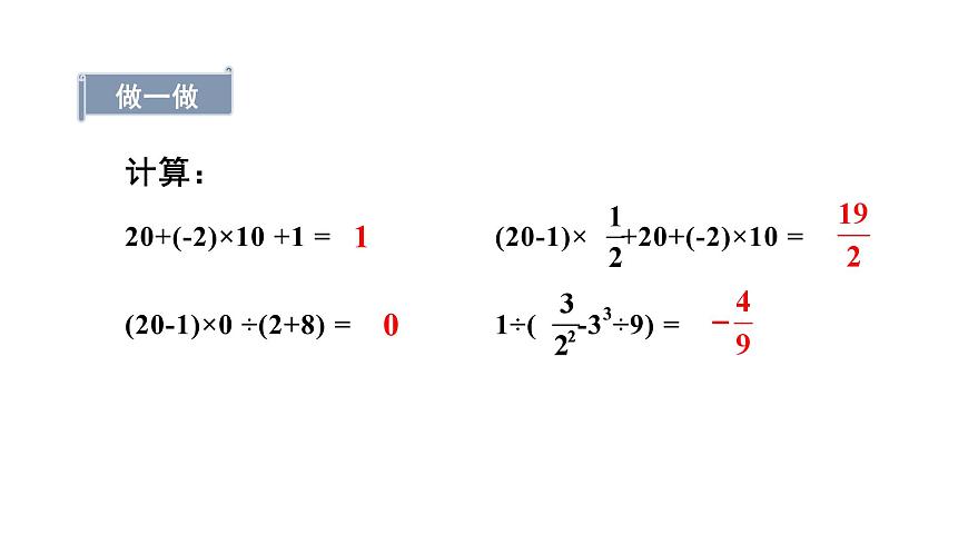
      第1章 有理数 小结知识结构有理数的运算有理数相关概念有理数数轴相反数绝对值倒数怎样比较有理数的大小?利用数轴比较利用法则比较利用绝对值比较相同的符号绝对值相加负绝对值相乘绝对值大的符号绝对值相减正正绝对值相除加上这个数的相反数乘以这个数的倒数负填写以下运算法则:有理数的运算律有哪些?有理数的混合运算应按照怎样的顺序进行?1.先做乘方,再做乘除,最后做加减;2.同级运算,按照从左至右的顺序进行;3.如果有括号,就先算小括号里的,再算中括号里的,然后算大括号里的.计算:20+(-2)×10 +1 =(20-1)×0 ÷(2+8) =做一做10科学记数法是什么?取近似数的方法有哪些?四舍五入法、进一法、去尾法释疑解惑1.为什么要引入负数?举出实例说明正数和负数在表示相反意义的量时的作用.现实生活中存在很多个有相反意义的量,如:向东5米与向西5米,零上2℃与零下2℃,收入100元与支出100元,低于海平面150米与高出海平面800米……用正数表示其中一种量,负数表示和它相反意义的量,这样既简单又明白.例如吐鲁番盆地的海拔高度为-154.31m,表示吐鲁番盆地的海拔高度是低于海平面154.31m.2.数的范围从正整数、0和正分数扩充到有理数后,增加了哪些数?减法中哪些原来不能进行的运算可以进行了?增加了负整数、负分数,解决了原来“小数不能减去大数”的问题,现在任何有理数都可以进行减法运算.3.怎样用数轴表示有理数?数轴与普通直线有什么不同?怎样用数轴解释绝对值和相反数?任何一个有理数都可以用数轴上的一个点表示,但数轴上的点不是都表示有理数,这一点,以后我们将要学习.数轴是一条特殊的直线,是规定了正方向、原点和单位长度的直线.原点、正方向、单位长度也称数轴的三要素,缺一不可.数轴上与原点的距离相等的两个点所表示的数互为相反数.4.有理数的加法与减法有什么关系?乘法与除法呢?有理数的减法可以转化为加法,转化的桥梁是相反数,减去一个数等于加上这个数的相反数,同样,除法可以转化为乘法,转化的桥梁是倒数,除以一个数(不为0),等于乘这个数的倒数.有理数的混合运算都可以转化为加法与乘法.随堂练习例1 填空:(1)在知识竞赛中,如果 +10分表示加10分,那么扣20分可表示成_______;(2)某人转动转盘,如果沿逆时针转5圈记作 +5圈,那么沿顺时针转12圈可表示成_______;(3)某次乒乓球质量检测中,一只乒乓球超出标准0.02g记作 +0.02g,那么 -0.03g表示_______________ .-20分-12圈低于标准0.03g例2 填空:(1)若m,n互为相反数,则m+n =______;(2)-2006的倒数是________;(3)-(-3)= ______;(4)-|-2|的倒数是_______.03例3 如图,数轴上两点所表示的两数( ) A.和为正数 B.和为负数 C.积为正数 D.积为负数D例4 下列四个运算中,结果最小的是( ) A.1+(-2) B.1-(-2) C.1×(-2) D.1÷(-2)C例5 如果a0,a+bb>-b>-a B.a>-a>b>-b C.b>a>-b>-a D.-a>b>-b>aD-13-2-a>b例7 神舟六号飞船,在平安飞行115小时23分后重返神州. 用科学记数法表示神舟六号飞船飞行的时间是______________秒 (精确到千位).分析:a×10x中a的取值范围是1≤a

      资料下载及使用帮助
      版权申诉
      • 1.电子资料成功下载后不支持退换,如发现资料有内容错误问题请联系客服,如若属实,我们会补偿您的损失
      • 2.压缩包下载后请先用软件解压,再使用对应软件打开;软件版本较低时请及时更新
      • 3.资料下载成功后可在60天以内免费重复下载
      版权申诉
      若您为此资料的原创作者,认为该资料内容侵犯了您的知识产权,请扫码添加我们的相关工作人员,我们尽可能的保护您的合法权益。
      入驻教习网,可获得资源免费推广曝光,还可获得多重现金奖励,申请 精品资源制作, 工作室入驻。
      版权申诉二维码
      初中数学华东师大版(2024)七年级上册(2024)电子课本 新教材

      小结

      版本: 华东师大版(2024)

      年级: 七年级上册(2024)

      切换课文
      • 同课精品
      • 所属专辑6份
      • 课件
      • 教案
      • 试卷
      • 学案
      • 更多
      欢迎来到教习网
      • 900万优选资源,让备课更轻松
      • 600万优选试题,支持自由组卷
      • 高质量可编辑,日均更新2000+
      • 百万教师选择,专业更值得信赖
      微信扫码注册
      手机号注册
      手机号码

      手机号格式错误

      手机验证码 获取验证码 获取验证码

      手机验证码已经成功发送,5分钟内有效

      设置密码

      6-20个字符,数字、字母或符号

      注册即视为同意教习网「注册协议」「隐私条款」
      QQ注册
      手机号注册
      微信注册

      注册成功

      返回
      顶部
      中考一轮 精选专题 初中月考 教师福利
      添加客服微信 获取1对1服务
      微信扫描添加客服
      Baidu
      map