搜索
      上传资料 赚现金

      新高考数学二轮复习解答题强化训练(3)(2份,原卷版+解析版)

      • 855.29 KB
      • 2025-03-11 13:35:55
      • 69
      • 0
      • 夏天MOSS
      加入资料篮
      立即下载
      压缩包含2份文件 展开
      文件列表(2份) 收起
      原卷
      新高考数学二轮复习解答题强化训练(3)(原卷版).doc
      预览
      解析
      新高考数学二轮复习解答题强化训练(3)(解析版).doc
      预览
      正在预览:新高考数学二轮复习解答题强化训练(3)(原卷版).doc
      新高考数学二轮复习解答题强化训练(3)(原卷版)第1页
      1/5
      新高考数学二轮复习解答题强化训练(3)(原卷版)第2页
      2/5
      新高考数学二轮复习解答题强化训练(3)(解析版)第1页
      1/11
      新高考数学二轮复习解答题强化训练(3)(解析版)第2页
      2/11
      新高考数学二轮复习解答题强化训练(3)(解析版)第3页
      3/11
      还剩3页未读, 继续阅读

      新高考数学二轮复习解答题强化训练(3)(2份,原卷版+解析版)

      展开

      这是一份新高考数学二轮复习解答题强化训练(3)(2份,原卷版+解析版),文件包含新高考数学二轮复习解答题强化训练3原卷版doc、新高考数学二轮复习解答题强化训练3解析版doc等2份试卷配套教学资源,其中试卷共16页, 欢迎下载使用。
      (1)求数列的通项公式;
      (2)设,数列的前n项和为,证明:.
      【答案】(1) (2)证明见解析
      【解析】(1)①,
      当时,②,
      ①-②得,
      整理得,,

      又当时,,解得,
      数列是以2为首项,2为公差的等差数列,

      (2)由(1)得,

      ,即
      .
      2.学校为了进一步加快推进学生素质教育,丰富学生的课余生活,挖掘学生的动手动脑潜力,学校在高一年级进行了一次“变废为宝”手工作品评比,对参赛作品进行统计得到如下统计表:
      (1)运用独立性检验的思想方法判断:能否有99%以上的把握认为性别与作品是否合格有关联?并说明理由;
      (2)学校为了鼓励更多的同学参与到“变废为宝”活动中来,决定通过3轮挑战赛评选出一些“手工达人”,3轮挑战结束后,至少2次挑战成功的参赛者被评为本学期的“手工达人”.已知某参赛者挑战第一、二、三轮成功的概率分别为,,,求该参赛者在本学期3轮挑战中成功的次数X的概率分布及数学期望.
      参考公式:,.
      【答案】(1)有把握,理由见解析 (2)分布列见解析,次
      【解析】(1)提出假设:性别与作品合格与否无关.

      当成立时,,
      所以有99%的把握认为性别与作品是否合格有关.
      (2)X的所有可能值分别为0,1,2,3.



      .
      故X的概率分布为

      所以参赛者在3轮挑战中成功的次数X的数学期望为次
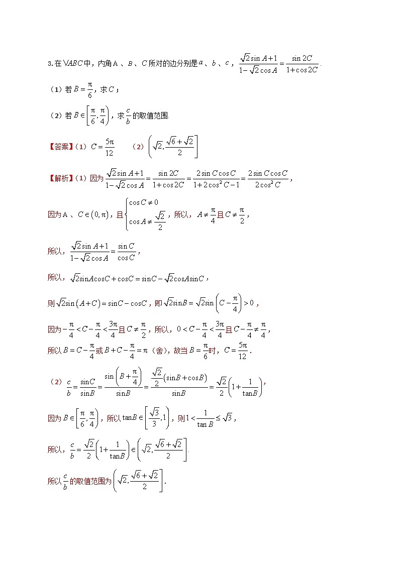
      3.在中,内角、、所对的边分别是、、,.
      (1)若,求;
      (2)若,求的取值范围.
      【答案】(1) (2)
      【解析】(1)因为,
      因为、,且,所以,且,
      所以,,
      所以,,
      则,即,
      因为且,所以,且,
      所以或(舍),故当时,.
      (2),
      因为,所以,则,
      所以,.
      所以的取值范围为.
      4.如图,四棱锥中,已知,且与平面所成的角为.
      (1)证明:;
      (2)若点为的中点,求平面与平面夹角的余弦值.
      【答案】(1)证明见解析 (2)
      【解析】(1)
      如图所示,过点作面交
      面于点,连,延长交于点.
      因为与底面所成的角为;
      所以,所以,.
      因为,则;
      因为,所以,且
      又,所以平面,
      所以.
      又是等边三角形,则;
      则,且,所以四边形为平行四边形,故;
      所以.
      (2)
      因为两两垂直,则以为原点,所在直线分别为轴,轴,轴建立如图所示的空间直角坐标系.

      设平面的一个法向量为,
      则,解得,令,则

      设平面的一个法向量设,
      则,即,
      所以
      所以平面与平面夹角的余弦值为
      5.已知抛物线:的焦点为,直线交抛物线于两点(异于坐标原点),交轴于点(),且,直线,且与抛物线相切于点.
      (1)求证:三点共线;
      (2)过点作该抛物线的切线(点为切点),交于点.
      (ⅰ)试问,点是否在定直线上,若在,请求出该直线,若不在,请说明理由;
      (ⅱ)求的最小值.
      【答案】(1)证明见解析 (2)(ⅰ)点在定直线上;(ⅱ)的最小值为16.
      【解析】(1)由题可知,设,
      又,由得,
      所以,即,
      所以直线的斜率为,
      设,由可得,
      所以直线的斜率为,
      又,即,所以,得
      所以,,
      即,则三点共线.
      (2)(ⅰ)点在定直线上,理由如下:
      直线的斜率为,所以直线的方程为

      过点的切线斜率为,所以直线的方程为
      即,
      交于点,解得
      因此,点在定直线上.
      (ⅱ)由(1)知直线的斜率为,方程为,
      即,
      联立抛物线方程整理得,
      所以,
      所以
      又因为,所以点到的距离等于点到直线的距离,
      而到直线的距离为
      所以
      而,当且仅当,即时等号成立;
      所以,
      即的最小值为16.
      6.已知函数(其中是自然对数底数).
      (1)求的最小值;
      (2)若过点可作曲线的两条切线,求证:.(参考数据:)
      【答案】(1)1 (2)证明见解析
      【解析】(1)函数定义域为,
      所以在上单调递增,且,
      所以当时,单调递减;
      当时,单调递增,.
      所以.
      (2)设切点为,则,
      在处的切线为,
      由于切线过点,所以,
      而由(1),在上单调递增,不同的值对应的切线斜率不同
      设,所以过点可作曲线的两条切线当且仅当关于的方程有两个实根.

      ①当时,在上单调递减,至多有一个实根,不合题意;
      ②当时,
      当时,单调递增;
      当时,单调递减.
      而时,时,,
      所以当且仅当时,有两个实根,
      即当且仅当时,过点可作曲线的两条切线.
      只需证时,.
      设,则,
      当时,单调递减;
      当时,单调递增,
      所以,即.(*)
      设,只需证.
      1)当时,由,
      .
      设,则

      当时,单调递减;
      当时,单调递增;
      当时,单调递减.
      而,
      所以,则.
      2)当时,,
      设,则,

      所以在上单调递增,,
      所以在上单调递增,,即,
      所以在上单调递增,.
      综上得:原不等式成立
      不合格
      合格
      合计
      男生
      120
      100
      220
      女生
      30
      50
      80
      合计
      150
      150
      300
      0.025
      0.010
      0.005
      0.001
      5.024
      6.635
      7.879
      10.828
      X
      0
      1
      2
      3
      P

      相关试卷 更多

      资料下载及使用帮助
      版权申诉
      • 1.电子资料成功下载后不支持退换,如发现资料有内容错误问题请联系客服,如若属实,我们会补偿您的损失
      • 2.压缩包下载后请先用软件解压,再使用对应软件打开;软件版本较低时请及时更新
      • 3.资料下载成功后可在60天以内免费重复下载
      版权申诉
      若您为此资料的原创作者,认为该资料内容侵犯了您的知识产权,请扫码添加我们的相关工作人员,我们尽可能的保护您的合法权益。
      入驻教习网,可获得资源免费推广曝光,还可获得多重现金奖励,申请 精品资源制作, 工作室入驻。
      版权申诉二维码
      欢迎来到教习网
      • 900万优选资源,让备课更轻松
      • 600万优选试题,支持自由组卷
      • 高质量可编辑,日均更新2000+
      • 百万教师选择,专业更值得信赖
      微信扫码注册
      手机号注册
      手机号码

      手机号格式错误

      手机验证码 获取验证码 获取验证码

      手机验证码已经成功发送,5分钟内有效

      设置密码

      6-20个字符,数字、字母或符号

      注册即视为同意教习网「注册协议」「隐私条款」
      QQ注册
      手机号注册
      微信注册

      注册成功

      返回
      顶部
      学业水平 高考一轮 高考二轮 高考真题 精选专题 初中月考 教师福利
      添加客服微信 获取1对1服务
      微信扫描添加客服
      Baidu
      map