搜索
      上传资料 赚现金

      安徽省宿州市2023_2024学年高一数学上学期期末教学质量检测试题含解析

      • 1.55 MB
      • 2025-03-08 11:19:35
      • 72
      • 0
      • 教习网2972821
      加入资料篮
      立即下载
      安徽省宿州市2023_2024学年高一数学上学期期末教学质量检测试题含解析第1页
      高清全屏预览
      1/18
      安徽省宿州市2023_2024学年高一数学上学期期末教学质量检测试题含解析第2页
      高清全屏预览
      2/18
      安徽省宿州市2023_2024学年高一数学上学期期末教学质量检测试题含解析第3页
      高清全屏预览
      3/18
      还剩15页未读, 继续阅读

      安徽省宿州市2023_2024学年高一数学上学期期末教学质量检测试题含解析

      展开

      这是一份安徽省宿州市2023_2024学年高一数学上学期期末教学质量检测试题含解析,共18页。试卷主要包含了单项选择题,多项选择题,填空题,解答题等内容,欢迎下载使用。
      1. 已知集合,,则()
      A. B. C. D.
      【答案】A
      【解析】
      【分析】将集合化简,再由并集的运算,即可得到结果.
      【详解】因为,令,解得,
      则,且,
      则.
      故选:A
      2. ()
      A. B. C. D.
      【答案】C
      【解析】
      【分析】利用诱导公式求出答案.
      【详解】.
      故选:C
      3. “角是第三象限角”是“”的().
      A. 充分不必要条件B. 必要不充分条件
      C. 充要条件D. 既不充分又不必要条件
      【答案】A
      【解析】
      【分析】结合角所在象限的性质及充分不必要条件进行判断即可.
      【详解】当角是第三象限角时,
      ,,
      于是,
      所以充分性成立;
      当,即时,
      角是第二或第三象限角,
      所以必要性不成立,
      故选:A.
      4. 已知,,则xy的最大值为()
      A. 2B. C. D.
      【答案】A
      【解析】
      【分析】由,得,再根据基本不等式可求出结果.
      【详解】由,得,得,即,
      因为,所以,当且仅当,时,等号成立,
      所以,即xy的最大值为.
      故选:A
      5. 已知,,,则,,的大小关系为()
      A. B. C. D.
      【答案】C
      【解析】
      【分析】根据题意,结合指数函数以及对数函数的单调性,即可求解.
      【详解】因函数在上单调递增,
      则,即,
      又,即,
      所以.
      故选:C
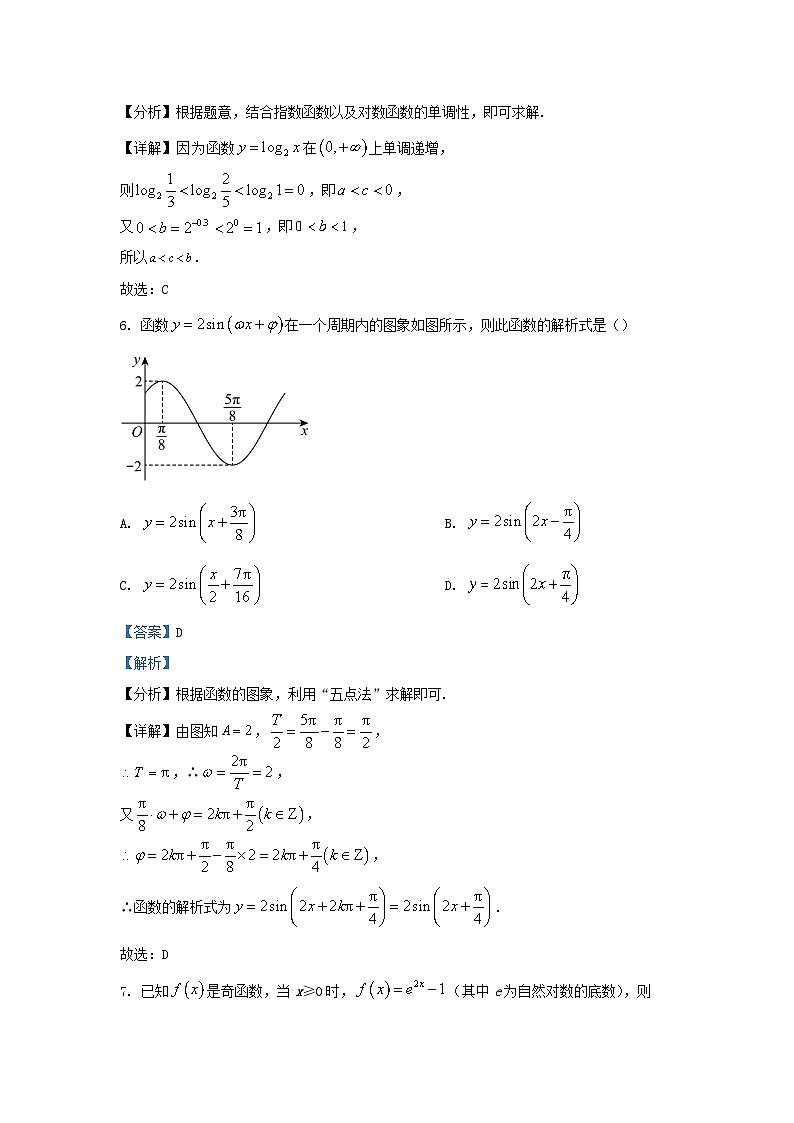
      6. 函数在一个周期内的图象如图所示,则此函数的解析式是()
      A. B.
      C. D.
      【答案】D
      【解析】
      【分析】根据函数的图象,利用“五点法”求解即可.
      【详解】由图知,,
      ,∴,
      又,

      ∴函数的解析式为.
      故选:D
      7. 已知是奇函数,当x≥0时,(其中e为自然对数的底数),则()
      A. 3B. C. 8D.
      【答案】D
      【解析】
      【分析】根据奇函数的性质即可求解.
      【详解】由是奇函数得,又时,,
      所以.
      故选:D
      8. 黎曼函数由德国著名数学家黎曼(Riemann)发现提出黎曼函数定义在上,其解析式为:当为真约数且时,当或上的无理数时,若函数是定义在R上的偶函数,且,,当时,,则:()
      A. B. C. D.
      【答案】B
      【解析】
      【分析】根据已知可推得偶函数周期为4,利用偶函数性质、周期性求目标函数值.
      【详解】由题意,则,
      所以偶函数的周期为4,


      所以.
      故选:B
      二、多项选择题:(本题共4小题,每小题5分,共20分.在每小题给出的选项中,有多项符合题目要求,全部选对的得5分,部分选对的得2分,有选错的得0分.)
      9. 设,则下列结论中正确的是()
      A. B.
      C. D.
      【答案】AC
      【解析】
      【分析】利用诱导公式(一)到(六)依次转化角,逐步化简即得.
      【详解】对于A项,,故A项正确;
      对于B项,,故B项错误;
      对于C项,,故C项正确;
      对于D项,,故D项错误.
      故选:AC.
      10. 下列叙述正确的是()
      A. 若幂函数的图象经过点,则该函数在上单调递减
      B. 命题“,”的否定是“,”
      C. 函数的单调递增区间为
      D. 函数与函数互为反函数
      【答案】ABD
      【解析】
      【分析】对于A,依题求出函数解析式,再判断即得;对于B,根据全称量词命题的否定要求即得;对于C,根据复合函数的单调性判断“同增异减”原则即可求得递增区间;对于D,按照互为反函数的两函数之间的关系分析即得.
      【详解】对于A项,设依题意,,解得:,则因,故函数在上单调递减,即A项正确;
      对于B项,否定量词和结论即得命题“,”的否定是“,”,即B项正确;
      对于C项,设,由解得:或,因在定义域内为增函数,
      且在上递减,在上递增,
      根据同增异减原则知,函数的单调递增区间为,即C项错误;
      对于D项,因的定义域为R,值域为,由可得:,
      交换即得:,即,其定义域为,值域为R.即D项正确.
      故选:ABD.
      11. 已知函数,则下列关于函数的图象与性质的叙述中,正确的有()
      A. 函数的最小正周期为
      B. 函数在上单调递增
      C. 函数的图象关于直线对称
      D.
      【答案】ABC
      【解析】
      【分析】根据正切函数的性质画出图象,即可判断A、B、C的正误,由正切函数及诱导公式求判断D.
      【详解】函数的大致图象,如下图示,
      由上图象,易知:最小正周期为、上单调递增、图象关于直线对称,故A,B,C正确,
      又,
      所以,故D错误.
      故选:ABC.
      12. 已知关于的不等式的解集为,则下列说法正确的是()
      A.
      B.
      C. 不等式的解集为或
      D. 的最小值为6
      【答案】BCD
      【解析】
      【分析】根据含参的一元二次不等式的解法,分析可得a的正负,即可判断A的正误;根据二次函数性质,可判断B的正误;根据根与系数的关系,可得且,代入所求,化简计算,即可判断C的正误;将代入,根据基本不等式,即可判断D的正误,即可得答案.
      【详解】A选项,依题可得函数开口向下与轴交点横坐标为2,3,故A错误;
      B选项,依题可得时,函数值小于0,即,故B正确;
      C选项,因为开口向下与轴交点横坐标为2,3,
      所以,即,且,
      所以不等式可化为,即,
      解集为或,故C正确;
      D选项,,
      当且仅当时,即时取等,故D正确.
      故选:BCD.
      三、填空题:(本题共4小题,每小题5分,共20分.)
      13. ________.
      【答案】2
      【解析】
      【分析】利用对数的运算性质和分数指数幂的运算性质计算即得.
      【详解】.
      故答案:2.
      14. 已知,,则的值为______.
      【答案】##
      【解析】
      【分析】利用半角公式结合已知条件求解.
      【详解】因为,
      所以,
      因为,
      所以,
      故答案为:.
      15. 如图1,折扇又名“撒扇”“纸扇”,是一种用竹木或象牙做扇骨,㓞纸或绫绢做扇面的能折叠的扇子,其展开的平面图如图2的扇形,其中,则扇面(曲边四边形)的面积是__________.
      【答案】##
      【解析】
      【分析】由大扇形面积减去小扇形面积即可得.
      【详解】,
      由题意可得,扇形的面积是,扇形的面积是.则扇面(曲边四边形)的面积是.
      故答案为:.
      16. 已知函数
      有且仅有3个零点,则的取值范围是________.
      【答案】
      【解析】
      【分析】根据函数图像及零点的定义可得结果.
      【详解】当时没有零点,所以依题意有且仅有3个零点,
      又时,所以,即,
      故;
      当时有1个零点,所以依题意有且仅有2个零点,
      所以,即,
      故答案为:.
      四、解答题:(本题共6小题,共70分.第17题10分,其他每题12分,解答应写出文字说明、证明过程或演算步骤.)
      17. (1)已知,求的值.
      (2)已知角的终边过点,,,求的值.
      【答案】(1)1;(2)
      【解析】
      【分析】(1)化简已知式,求得的值,将利用弦的齐次式化弦为切代入即得;
      (2)由条件分别求出的值,再代入两角和的余弦公式计算即得.
      【详解】(1)由可得:;
      (2)角的终边过点,则.
      由,可知:
      则.
      18. 已知函数.
      (1)求的单调递增区间;
      (2)将的图象向右平移个单位长度,得到函数的图象,求在上的值域.
      【答案】(1)
      (2)
      【解析】
      【分析】(1)根据三角恒等变换可得,然后根据三角函数的性质即得;
      (2)根据图象变换规律可得,然后根据正弦函数的性质即得.
      【小问1详解】
      因为,
      令,解得,
      则的单调递增区间是;
      【小问2详解】
      因为,
      将的图象向右平移个单位长度,
      可得.
      因为,所以,
      所以,则,
      即在区间内的值域为.
      19. 已知函数是定义在R上的奇函数,其图象经过点.
      (1)求实数,的值并指出的单调性(不必证明);
      (2)求不等式的解集.
      【答案】(1),在上单调递减
      (2)
      【解析】
      【分析】(1)根据R上奇函数的性质得,再由,列出方程组,求得,再利用函数的单调性定义证明函数单调性即得;
      (2)观察易得,代入不等式,利用奇函数性质将其化成,最后利用函数单调性化为一元二次不等式,解之即得.,
      【小问1详解】
      是R上的奇函数,,即,又解得.
      故,易得在R上单调递减,证明如下.
      任取,由,
      因,则,而,则,故在R上单调递减.
      【小问2详解】
      易得:,不等式可化为,
      是R上的奇函数,
      又在R上单调递减,,即,解得或
      故原不等式的解集为.
      20. 国家质量监督检验检疫局于2004年5月31日发布了新的《车辆驾驶人员血液、呼气酒精含量阈值与检验》国家标准,新标准规定,车辆驾驶人血液中的酒精含量大于或等于20毫克/百毫升、小于80毫克/百毫升的行为饮酒驾车,血液中的酒精含量大于或等于80毫克/百毫升为醉酒驾车,经过反复试验,喝一瓶啤酒后酒精在人体血液内的变化规律“散点图”如下:
      该函数模型如下,
      .
      根据上述条件,回答以下问题:
      (1)试计算喝1瓶啤酒后多少小时血液中的酒精含量达到最大值?最大值是多少?
      (2)试计算喝1瓶啤酒后多少小时才可以驾车?(时间以整小时计)(参考数据:)
      【答案】(1)喝一瓶啤酒后1.5小时血液中的酒精达到最大值,最大值是44.42毫克/百毫升;(2)喝一瓶啤酒后6小时才可以驾车
      【解析】
      【分析】(1)由图可知,当函数取得最大值时,,此时时,取得最大值,即可求得.
      (2)由题意知当车辆驾驶人员血液中的酒精小于20毫克/100毫升可以驾车,此时,解不等式,两边取对数,即可求出..
      【详解】(1)由图可知,当函数取得最大值时,.
      此时.
      当时,即时,函数取得最大值为,
      故喝一瓶啤酒后1.5小时血液中的酒精达到最大值,最大值是44.42毫克/百毫升,
      (2)由题意知当车辆驾驶人员血液中的酒精小于20毫克/100毫升可以驾车,此时,
      由,得,
      两边取自然对数得,
      即,
      ∴,
      故喝一瓶啤酒后6小时才可以驾车.
      【点睛】本题考查函数模型应用和分段函数,考查分析问题的能力和运算求解的能力,属于中档题.
      21. 已知函数且的图象过点.
      (1)求的值及的定义域;
      (2)求在上的最大值;
      (3)若,比较与的大小.
      【答案】(1),定义域为;
      (2)最大值是,
      (3).
      【解析】
      【分析】(1)由求得,由对数函数的定义得定义域;
      (2)函数式化简为只含有一个对数号,然后由二次函数性质及对数函数性质得最大值;
      (3)指数式改写为对数式,然后比较的大小,并由已知得出的范围,在此范围内由的单调性得大小关系.
      【小问1详解】
      由已知,,
      ,定义域为;
      小问2详解】

      ,,则,
      所以,时取等号,
      最大值为;
      【小问3详解】
      ,,
      ,,
      ,,
      所以,,则,,
      ∵,所以,,即,
      ,,
      所以,,
      ∵在上是增函数,又在时是减函数,
      ∴在上是减函数,
      ∴.
      22. 已知函数。
      (1)若为偶函数,求函数的定义域;
      (2)若过点,设,若对任意的,,都有,求实数的取值范围.
      【答案】(1)
      (2)
      【解析】
      【分析】(1)先得出的值,然后解出的解,即为函数的定义域;
      (2)先求出的最小值,然后分类讨论求出的最大值,进而得出的取值范围.
      小问1详解】
      (1) 因为为偶函数,
      所以,即,
      因为,所以,
      解得:,,
      所以,,
      所以的定义域为.
      【小问2详解】
      因为过点,所以,
      因为,所以,
      所以,
      因为,所以,
      所以 ,
      又因为对任意的,,都有成立,
      所以,,

      因为,所以,
      设,
      则有图象开口向下,对称轴为的抛物线,
      当 时,在 上单调递增,
      所以,
      所以,解得,所以;
      当 时, 在上单调递减,
      所以,所以,
      解得,故;
      当时,,
      故,解得,所以,

      相关试卷

      安徽省宿州市2023_2024学年高一数学上学期期末教学质量检测试题含解析:

      这是一份安徽省宿州市2023_2024学年高一数学上学期期末教学质量检测试题含解析,共18页。试卷主要包含了单项选择题,多项选择题,填空题,解答题等内容,欢迎下载使用。

      安徽省宿州市省、市示范高中2023-2024学年高一上学期期末教学质量检测数学试题 含解析:

      这是一份安徽省宿州市省、市示范高中2023-2024学年高一上学期期末教学质量检测数学试题 含解析,共17页。试卷主要包含了单项选择题,多项选择题,填空题,解答题等内容,欢迎下载使用。

      安徽省宿州市省市示范高中2024_2025学年高一数学上学期1月期末教学质量检测试题含解析:

      这是一份安徽省宿州市省市示范高中2024_2025学年高一数学上学期1月期末教学质量检测试题含解析,共15页。试卷主要包含了选择题,填空题,解答题等内容,欢迎下载使用。

      资料下载及使用帮助
      版权申诉
      • 1.电子资料成功下载后不支持退换,如发现资料有内容错误问题请联系客服,如若属实,我们会补偿您的损失
      • 2.压缩包下载后请先用软件解压,再使用对应软件打开;软件版本较低时请及时更新
      • 3.资料下载成功后可在60天以内免费重复下载
      版权申诉
      若您为此资料的原创作者,认为该资料内容侵犯了您的知识产权,请扫码添加我们的相关工作人员,我们尽可能的保护您的合法权益。
      入驻教习网,可获得资源免费推广曝光,还可获得多重现金奖励,申请 精品资源制作, 工作室入驻。
      版权申诉二维码
      欢迎来到教习网
      • 900万优选资源,让备课更轻松
      • 600万优选试题,支持自由组卷
      • 高质量可编辑,日均更新2000+
      • 百万教师选择,专业更值得信赖
      微信扫码注册
      手机号注册
      手机号码

      手机号格式错误

      手机验证码 获取验证码 获取验证码

      手机验证码已经成功发送,5分钟内有效

      设置密码

      6-20个字符,数字、字母或符号

      注册即视为同意教习网「注册协议」「隐私条款」
      QQ注册
      手机号注册
      微信注册

      注册成功

      返回
      顶部
      学业水平 高考一轮 高考二轮 高考真题 精选专题 初中月考 教师福利
      添加客服微信 获取1对1服务
      微信扫描添加客服
      Baidu
      map