所属成套资源:湘教版七年级下册数学课件+教案
七年级下册(2024)第1章 整式的乘法1.1 整式的乘法教课内容课件ppt
展开
这是一份七年级下册(2024)第1章 整式的乘法1.1 整式的乘法教课内容课件ppt,文件包含第1课时单项式与多项式相乘pptx、第2课时多项式与多项式相乘pptx、第1课时单项式与多项式相乘doc、第2课时多项式与多项式相乘doc等4份课件配套教学资源,其中PPT共27页, 欢迎下载使用。
我们学了“幂的运算性质”有哪些?
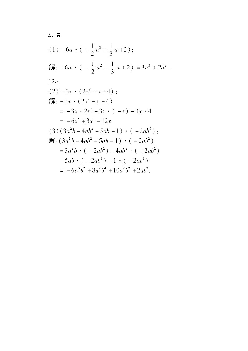
单项式乘以多项式的法则是什么?
一般地,单项式与多项式相乘,先用单项式乘多项式中的每一项,再把所得的积相加.
(1) 设a,b,c都是正数,计算(a+b)(a+c)的值
(2) 一个长方形的长为a+b,宽为a+c,试着画出这个长方形,并利用这个长方形解释(1)的结果。
(1) (a+b)(a+c)=a2+ac+ba+bc
可以运用乘法对加法的分配律.
(x-2y) ·(3x+y)
=x·(3x+y)+ (-2y) ·(3x+y)
=x·3x+ x·y+ (-2y)·3x + (-2y) · y
=3x2+ xy-6xy -2y2
=3x2-5xy -2y2
多项式与多项式相乘,先用一个多项式的每一项分别乘另一个多项式的每一项,再把所得的积相加.
(1) (2x+y)(x-3y)
(2) (5x-2)(3x2-x-5)
=2x·x+2x ·(-3y)+y·x +y·(-3y)
=2x2-6xy+xy-3y2
=2x2-5xy-3y2
=15x3-5x2-25x-6x2+2x+10
=15x3-5x2-6x2-25x+2x+10
=15x3-11x2-23x+10
(1) (x-y)(x2+xy+y2)
(2) (x+y)(x2-xy+y2)
=x3+x2y+xy2-x2y-xy2-y3
= x3-x2y+xy2+x2y-xy2+y3
从同一面积的不同表达式入手,借助分配律得到多项式的乘法法则。由法则可知:(1)多项式与多项式相乘的结果仍是多项式;(2)结果的项数应该是原两个多项式项数的积(没有合并之前),检验项数常常作为检验解题过程的有效方法;(3)多项式与多项式相乘的结果中,要把同类项合并。
思考:多项式乘以多项式,展开后项数有什么规律?
(1) (x-2y)(4x+3y)
(2) (x-5y)(3x-y)
解:(x-2y)(4x+3y)
= x·4x+x·3y-2y·4x-2y·3y
= 4x2+3xy-8xy-6y2
= 4x2-5xy-6y2
(x-5y)(3x-y)
= x·3x-x·y-5y·3x-5y·(-y)
= 3x2-xy-15xy+5y2
= 3x2-16xy+5y2
[教材P13 练习第1题]
(3) (x+y)(x2+xy+y2)
(4) (3x-y)(2x2+5xy-4y2)
解:(x+y)(x2+xy+y2)
= x(x2+xy+y2)+y (x2+xy+y2)
= x3+x2y+xy2+x2y+xy2+y3
= x3+2x2y+2xy2+y3
(3x-y)(2x2+5xy-4y2)
=3x(2x2+5xy-4y2) -y(2x2+5xy-4y2)
=6x3+15x2y-12xy2 -2x2y-5xy2+4y3
=6x3+13x2y-17xy2+4y3
2.用不同的方法计算右边图形的面积,可得等式( )
[教材P13 练习第2题]
(A)(2a+b)(a+b)=2a2+b2
(B)(2a+b)(a+b)=2a2+2ab+b2
(C)(2a+b)(a+b)=2a2+3ab+b2
(D)(2a+b)(a+b)=2a2+3ab+2b2
相关课件
这是一份湘教版七年级下册2.1.4多项式的乘法精品课件ppt,文件包含湘教版七下214多项式的乘法第2课时pptx、湘教版七下数学214多项式的乘法第2课时教案doc等2份课件配套教学资源,其中PPT共33页, 欢迎下载使用。
这是一份2020-2021学年2.1.4多项式的乘法完美版ppt课件,文件包含湘教版七下214多项式的乘法第1课时pptx、湘教版七下数学214多项式的乘法第1课时教案doc等2份课件配套教学资源,其中PPT共24页, 欢迎下载使用。
这是一份初中湘教版2.1.4多项式的乘法说课ppt课件,共17页。PPT课件主要包含了-15x4y3,-2x7y2,-108m8x7,例计算,a-4b+4,x2-3xy2等内容,欢迎下载使用。

