所属成套资源:【高考二轮】2025年高考数学二轮复习课件+练习
2025届高中数学二轮复习 板块三 数列 微专题19 数列的递推关系(课件+练习)
展开
这是一份2025届高中数学二轮复习 板块三 数列 微专题19 数列的递推关系(课件+练习),文件包含微专题19数列的递推关系pptx、微专题19数列的递推关系docx等2份课件配套教学资源,其中PPT共58页, 欢迎下载使用。
数列的递推关系是高考重点考查内容,作为两类特殊数列——等差数列、等比数列,可直接根据它们的通项公式求解,但也有一些数列要通过构造转化为等差数列或等比数列求解,体现了化归思想在数列中的应用.
2.(2019·上海卷)已知数列{an}的前n项和为Sn,且满足Sn+an=2,则S5=______.
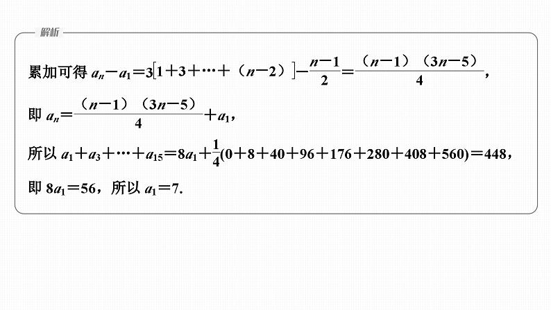
3.(2020·全国Ⅰ卷)数列{an}满足an+2+(-1)nan=3n-1,前16项和为540,则a1=________.
因为an+2+(-1)nan=3n-1,所以当n为偶数时,an+2+an=3n-1,所以a4+a2=5,a8+a6=17,a12+a10=29,a16+a14=41,所以a2+a4+a6+a8+a10+a12+a14+a16=92.因为数列{an}的前16项和为540,所以a1+a3+a5+a7+a9+a11+a13+a15=540-92=448.①因为当n为奇数时,an+2-an=3n-1,可得an-an-2=3(n-2)-1,…,a3-a1=3×1-1,
热点一 形如an+1=pan+f(n)型
热点二 形如an+1=pan+qan-1(a1=a,a2=b)型
考向1 an+1=pan+q(p≠0,1,q≠0)
在数列{an}中,a1=5,an+1=3an-4,则数列{an}的通项公式为____________.
法一(构造法) 由an+1=3an-4,设an+1-λ=3(an-λ),即an+1=3an-2λ,故2λ=4,λ=2,则an+1-2=3(an-2),又a1=5,所以{an-2}是以a1-2=3为首项,3为公比的等比数列,所以an-2=3n,即an=3n+2.
法二(不动点法) 令3x-4=x,解得不动点x=2,由an+1=3an-4,得an+1-2=3(an-2)所以数列{an-2}是以a1-2=3为首项,3为公比的等比数列,所以an-2=3n,即an=3n+2.
已知数列{an}满足an+1=3an-4n-5,a1=5,求数列{an}的通项公式.
考向2 an+1=pan+qn+c(p≠0,1,q≠0)
由an+1=3an-4n-5,设an+1+λ(n+1)=3(an+λn)+m,即an+1=3an+2λn-λ+m,
(2024·兰州质测)在数列{an}中,a1=-1,an+1=2an+4·3n-1,则an=_________________.
4·3n-1-5·2n-1
法一 原递推式可化为an+1+λ·3n=2(an+λ·3n-1).比较系数得λ=-4,故an+1-4·3n=2(an-4·3n-1),则数列{an-4·3n-1}是首项为a1-4·31-1=-5,公比为2的等比数列,∴an-4·3n-1=-5·2n-1,即an=4·3n-1-5·2n-1.
考向3 an+1=pan+qn(p≠0,1,q≠0,1)
形如an+1=pan+f(n)的数列通项公式的求法(1)构造法:构造法的基本原理是在递推关系的两边加上相同的数或相同性质的量,构造数列的每一项都加上相同的数或相同性质的量,使之成为等差数列或等比数列.(2)不动点法:①形如an+1=pan+q的数列求通项公式的步骤:a.由x=px+q求出数列{an}的不动点,b.在递推公式an+1=pan+q两端同时减去x,化简使其左、右两侧结构一致,c.构造数列求通项.②an+1=pan+f(n)可转化为bn+1=pbn+k的形式求解.
(1)已知数列{an}中,a1=1,an+1=3an+2,则an=________________.
因为an+1=3an+2,所以an+1+1=3(an+1),因为1+a1=2,所以数列{1+an}是以2为首项,以3为公比的等比数列,所以1+an=2×3n-1,所以an=2×3n-1-1.
(2)已知数列{an}中,a1=1,an+1=3an+3n,则an=________.
热点二 形如an+1=pan+qan-1(a1=a,a2=b)型
法一(构造法) ∵an=2an-1+3an-2,∴an+an-1=3(an-1+an-2),又a1+a2=7,∴{an+an-1}是首项为7,公比为3的等比数列,则an+an-1=7×3n-2,①又an-3an-1=-(an-1-3an-2),a2-3a1=-13,∴{an-3an-1}是首项为-13,公比为-1的等比数列,则an-3an-1=(-13)·(-1)n-2,②①×3+②得4an=7×3n-1+13·(-1)n-1,
已知在数列{an}中,a1=5,a2=2,an=2an-1+3an-2(n≥3),求这个数列的通项公式.
形如a1=m1,a2=m2,an+2=pan+1+qan(p,q是常数)的二阶递推数列都可用特征根法求得通项an,其特征方程为x2=px+q,①若①有二异根α,β,则可令an=c1αn+c2βn(c1,c2是待定常数);若①有二重根α=β,则可令an=(c1+nc2)αn(c1,c2是待定常数).再利用a1=m1,a2=m2,可求得c1,c2,进而求得an.
(1)在数列{an}中,a1=8,a4=2,且满足an+2=2an+1-an(n∈N*),则数列{an}的通项公式为_______________.
由题意知an+2-an+1=an+1-an,所以{an}为等差数列.设公差为d,由题意得2=8+3d,则d=-2,得an=8-2(n-1)=10-2n.
(2)在数列{an}中,a1=1,a2=3,an+2=3an+1-2an,则an=___________.
由题意知an+2-an+1=2(an+1-an),∵a2-a1=2,∴{an-an-1}是首项为2,公比为2的等比数列,an-an-1=2n-1(n≥2),当n≥2时,an=(an-an-1)+(an-1-an-2)+…+(a2-a1)+a1
在正项数列{an}中,a1=1,an+1=2a,求数列{an}的通项公式.
lg2an+1=1+2lg2an,设bn=lg2an,则有bn+1=1+2bn,则bn+1+1=2(bn+1),所以{bn+1}是以b1+1=1为首项,2为公比的等比数列,所以bn+1=2n-1,所以bn=2n-1-1,lg2an=2n-1-1,an=22n-1-1.
1.数列{an}中,an+1=2an+1,a1=1,则a100= A.2100+1 B.2101 C.2100-1 D.2100
数列{an}中,an+1=2an+1,故an+1+1=2(an+1),因为a1=1,所以a1+1=2≠0,所以{an+1}是首项为2,公比为2的等比数列,所以an+1=2n,即an=2n-1,故a100=2100-1.
2.已知数列{an}满足:a1=a2=2,an=3an-1+4an-2(n≥3),则a9+a10=A.47 B.48 C.49 D.410
由题意a1+a2=4,由an=3an-1+4an-2(n≥3)得an+an-1=4(an-1+an-2),
4.设数列{an}的前n项和为Sn, 若Sn=2an-2n+1,则S10=A.211-23 B.210-19C.3×210-23 D.3×29-19
当n=1时,S1=a1=2a1-2+1,解得a1=1.当n≥2时,Sn-1=2an-1-2n+3,所以an=Sn-Sn-1=2an-2n+1-(2an-1-2n+3),即an=2an-1+2,所以an+2=2(an-1+2),
所以数列{an+2}是首项为3,公比为2的等比数列,则an+2=3×2n-1,从而Sn=3×2n-2n-3,故S10=3×210-23.
5.在数列{an}中,a1=3,an=2an-1-n+2,若an>980,则n的最小值是A.8 B.9 C.10 D.11
因为an=2an-1-n+2,所以an-n=2[an-1-(n-1)].因为a1=3,所以a1-1=2,所以数列{an-n}是首项和公比都是2的等比数列,则an-n=2n,即an=2n+n.因为an-an-1=2n-1+1>0,所以数列{an}是递增数列.因为a9=521980,所以满足an>980的n的最小值是10.
12.已知数列{an}满足an+1=2an-n+1,a1=3,则an=________.
13.已知数列{an}满足:a1=2,an+1=an+2n,则{an}的通项公式为________.
相关课件
这是一份2025届高中数学二轮复习 板块三 数列 微专题22 数列中的最值、范围问题(课件+练习),文件包含微专题22数列中的最值范围问题pptx、微专题22数列中的最值范围问题docx等2份课件配套教学资源,其中PPT共58页, 欢迎下载使用。
这是一份2025届高中数学二轮复习 板块三 数列 微专题21 数列的奇偶项问题(课件+练习),文件包含微专题21数列的奇偶项问题pptx、微专题21数列的奇偶项问题docx等2份课件配套教学资源,其中PPT共44页, 欢迎下载使用。
这是一份2025届高中数学二轮复习 板块三 数列 微专题18 等差数列与等比数列(课件+练习),文件包含微专题18等差数列与等比数列pptx、微专题18等差数列与等比数列docx等2份课件配套教学资源,其中PPT共52页, 欢迎下载使用。

