资料中包含下列文件,点击文件名可预览资料内容
还剩17页未读,
继续阅读
高考数学一轮复习:5 平面向量与复数-重难点突破3练习(题型归纳与重难专题突破提升)
展开
这是一份高考数学一轮复习:5 平面向量与复数-重难点突破3练习(题型归纳与重难专题突破提升),文件包含重难点突破03解三角形大题专项训练解析版原卷版docx、重难点突破03解三角形大题专项训练解析版解析版docx等2份试卷配套教学资源,其中试卷共55页, 欢迎下载使用。
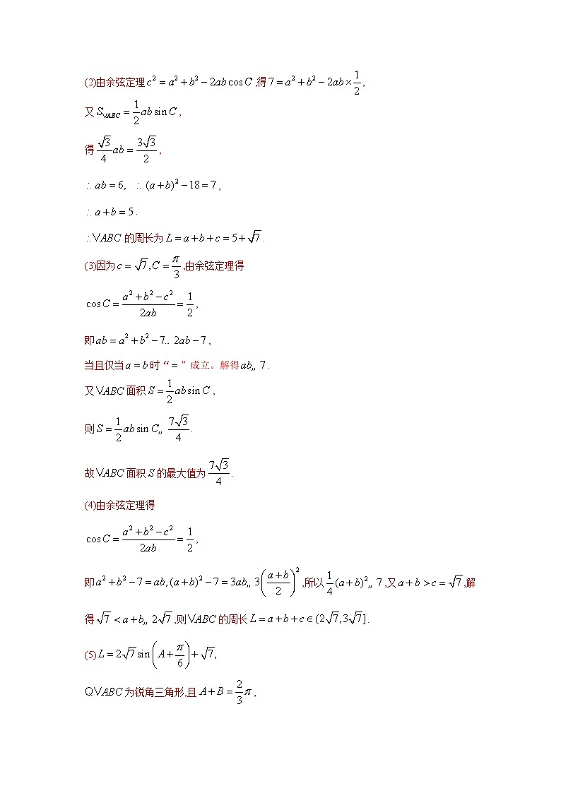
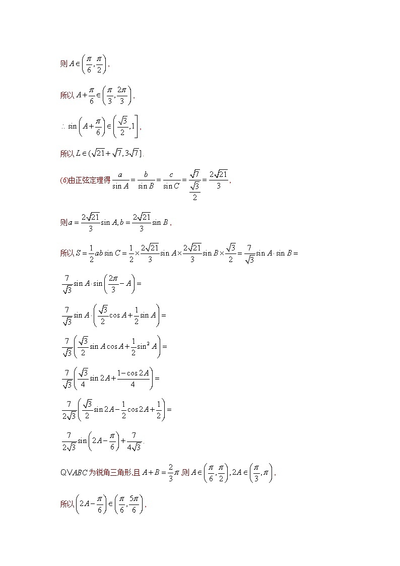
(2)求与三角形中边角有关的量的取值范围时,主要是利用已知条件和有关定理,将所求的量用三角形的某个内角或某条边表示出来,结合三角形边角的取值范围、函数值域的求法求解范围即可.注意题目中的隐含条件,如A+B+C=π,0
相关试卷
高考数学一轮复习:3导数及其应用-重难点突破10练习(题型归纳与重难专题突破提升):
这是一份高考数学一轮复习:3导数及其应用-重难点突破10练习(题型归纳与重难专题突破提升),文件包含重难点突破10导数大题60题专项训练原卷版docx、重难点突破10导数大题60题专项训练解析版docx等2份试卷配套教学资源,其中试卷共78页, 欢迎下载使用。
高考数学一轮复习:3导数及其应用-重难点突破9练习(题型归纳与重难专题突破提升):
这是一份高考数学一轮复习:3导数及其应用-重难点突破9练习(题型归纳与重难专题突破提升),文件包含重难点突破09导数与三角函数原卷版docx、重难点突破09导数与三角函数解析版docx等2份试卷配套教学资源,其中试卷共25页, 欢迎下载使用。
高考数学一轮复习:3导数及其应用-重难点突破7练习(题型归纳与重难专题突破提升):
这是一份高考数学一轮复习:3导数及其应用-重难点突破7练习(题型归纳与重难专题突破提升),文件包含重难点突破07零点与隐零点问题原卷版docx、重难点突破07零点与隐零点问题解析版docx等2份试卷配套教学资源,其中试卷共25页, 欢迎下载使用。

