还剩11页未读,
继续阅读
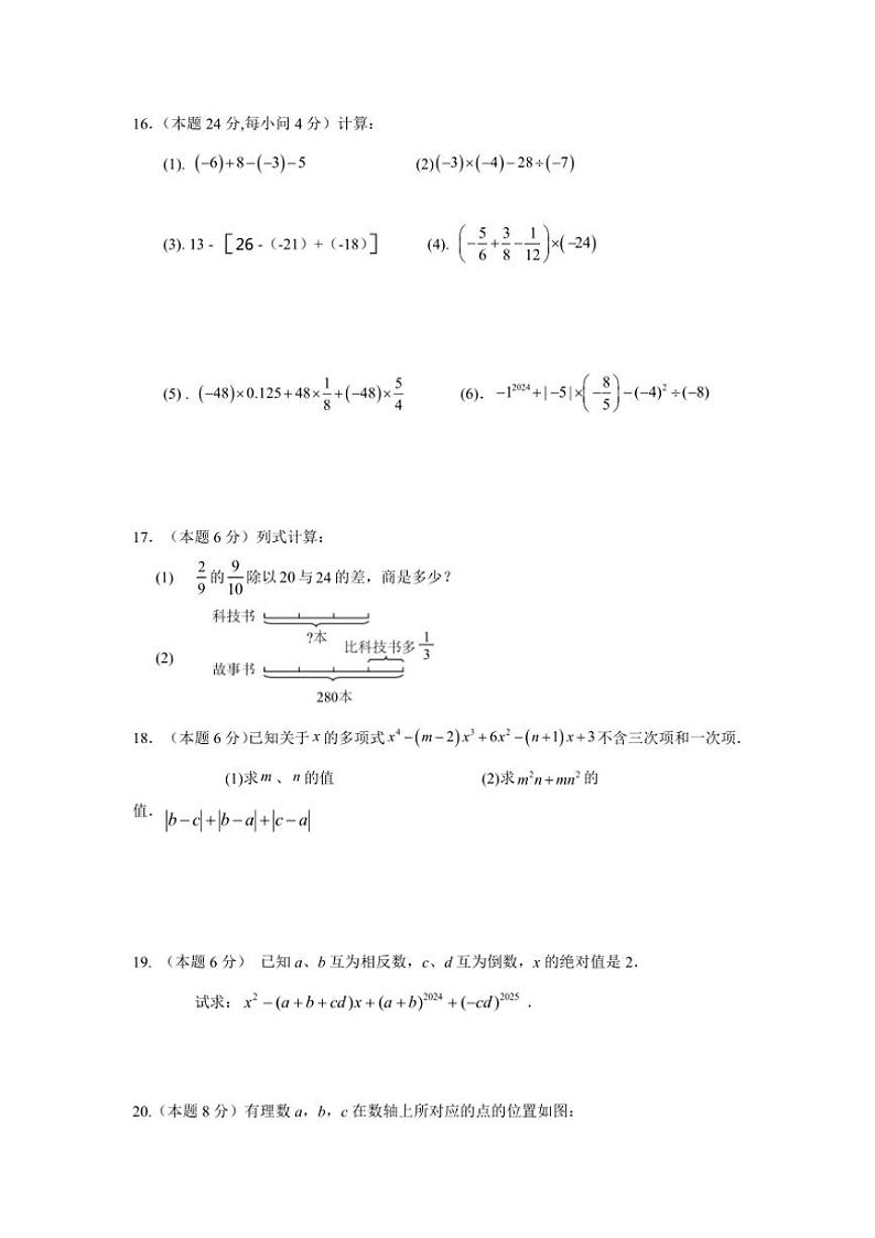
2024~2025学年四川省遂宁市第六中学七年级(上)第二次月考数学试卷(含详解)
展开
这是一份2024~2025学年四川省遂宁市第六中学七年级(上)第二次月考数学试卷(含详解),共14页。
相关试卷
2024~2025学年浙江省杭州中学七年级(上)期中数学试卷(含详解):
这是一份2024~2025学年浙江省杭州中学七年级(上)期中数学试卷(含详解),共14页。
2024~2025学年浙江省杭州市余杭区树兰中学八年级(上)第二次月考数学试卷(含详解):
这是一份2024~2025学年浙江省杭州市余杭区树兰中学八年级(上)第二次月考数学试卷(含详解),共16页。
2024-2025学年浙江省温州十二中九年级(上)第二次月考数学试卷(含详解):
这是一份2024-2025学年浙江省温州十二中九年级(上)第二次月考数学试卷(含详解),共12页。

