高二数学第三次月考(天津专用,考试范围:人教A版2019选修第一册第三章+第二册第四章)2024-2025学年高中上学期第三次月考5.zip
展开
这是一份高二数学第三次月考(天津专用,考试范围:人教A版2019选修第一册第三章+第二册第四章)2024-2025学年高中上学期第三次月考5.zip,文件包含高二数学第三次月考卷全解全析docx、高二数学第三次月考卷参考答案docx、高二数学第三次月考卷考试版A4测试范围人教A版2019选择性必修第一册第三章+选择性必修第二册第四章docx、高二数学第三次月考卷答题卡docx、高二数学第三次月考卷考试版A3测试范围人教A版2019选择性必修第一册第三章+选择性必修第二册第四章docx、高二数学第三次月考卷答题卡pdf等6份试卷配套教学资源,其中试卷共25页, 欢迎下载使用。
注意事项:
1.答卷前,考生务必将自己的姓名、准考证号填写在答题卡上。
2.回答选择题时,选出每小题答案后,用铅笔把答题卡上对应题目的答案标号涂黑。如需改动,用橡皮擦干净后,再选涂其他答案标号。回答非选择题时,将答案写在答题卡上。写在本试卷上无效。
3.考试结束后,将本试卷和答题卡一并交回。
4.测试范围:人教A版2019选择性必修第一册第三章+选择性必修第二册第四章
5.难度系数:0.65。
一、单项选择题:本题共9小题,每小题5分,共45分.在每小题给出的四个选项中,只有一个选项是符合题目要求的.
1.已知数列,则是它的( )
A.第9项B.第10项C.第13项D.第12项
2.抛物线过点,则的准线方程为( )
A.B.C.D.
3.若椭圆的右焦点坐标为,则的值为( )
A.1B.1或3C.9D.1或9
4.已知数列满足,且,则( )
A.12B.16C.18D.20
5.等差数列 QUOTE ?? an的前项和为,其中,又2,,,,8成等比数列,则的值是( )
A.4B.C.4或D.2
QUOTE 6.在等差数列中,公差,若,则( )
A.12B.13C.14D.15
7.已知数列的通项公式为,且对任意的两个正整数,都有,则实数t的取值范围是( )
A.B.C.D.
8.已知双曲线:的右焦点为,关于原点对称的两点A、B分别在双曲线的左、右两支上,,,且点C在双曲线上,则双曲线的离心率为( )
A.B.C.D.
9.已知正项数列的前项和满足,若,记表示不超过的最大整数,则( )
A.37B.38C.39D.40
二.填空题(共6小题,满分30分,每小题5分)
10.若椭圆上一点到焦点的距离为6,则点到另一个焦点的距离__________.
11.已知数列的前项和满足,则的通项公式为__________.
QUOTE ?? 12.记为等差数列的前项和,若,写出一组符合条件的和的值分别为__________.
13.已知双曲线的左、右焦点分别为,,过且垂直于轴的直线与该双曲线的左支交于A,B两点.若是虚轴长的倍,则该双曲线的一条渐近线为__________;若,分别交轴于,两点,且的周长为8,则的最大值为__________.
QUOTE ??=2?2? 14.数列为1,3,4,7,11,18,29,…,即,,且,记为数列的前n项和,则__________.记数列的各项依次被4除所得余数所形成的数列为,则数列的前2025项和为__________.
15.中国剪纸是一种用剪刀或刻刀在纸上剪刻花纹, 用于装点生活或配合其他民俗活动的民间艺术, 剪纸具有广泛的群众基础, 交融于各族人民的社会生活, 是各种民俗活动的重要组成部分, 其传承赓 (gêng) 续的视觉形象和造型格式, 蕴涵了丰富的文化历史信息, 是中国古老的民间艺术之一.已知某剪纸的裁剪工艺如下: 取一张半径为 1 的圆形纸片,记为,在内作内接正方形,接着在该正方形内作内切圆,记为,并裁剪去该正方形与内切圆之间的部分 (如图所示阴影部分),记为一次裁剪操作,,重复上述裁剪操作次,最终得到该剪纸,则第2024次操作后,所有被裁剪部分的面积之和为__________.
三.解答题(共5小题,满分75分)
16.(14分)
已知等差数列的前n项和为,且,.
(1)求数列的通项公式;
(2)求数列的前n项和.
17.(15分)
若等差数列的前项和为,数列是等比数列,并且,,,,.
(1)求数列和的通项公式;
(2)若,求数列的前项和.
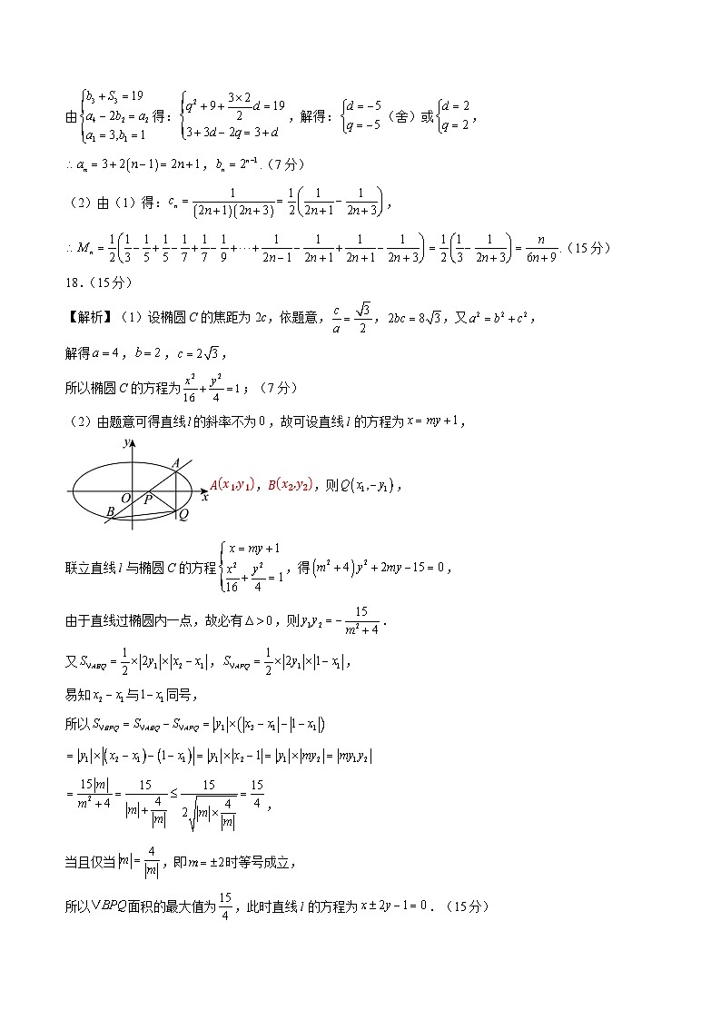
18.(15分)
已知椭圆C:()的离心率为,且C的左、右焦点与短轴的两个端点构成的四边形的面积为.
(1)求椭圆C的方程;
(2)过点的直线l与椭圆C交于A,B两点,过点A与x轴垂直的直线与椭圆C的另一个交点为.当的面积取得最大值时,求直线l的方程.
19.(15分)
已知椭圆过点,焦距是短半轴长的倍,
(1)求椭圆的方程;
(2)点是椭圆上的三个不同点,线段交轴于点异于坐标原点,且总有的面积与的面积相等,直线分别交轴于点两点,求的值.
20.(16分)
设等比数列满足,.
(1)求数列的通项公式和;
(2)如果数列对任意的,均满足,则称为“速增数列”.
(ⅰ)判断数列是否为“速增数列”?说明理由;
(ⅱ)若数列为“速增数列”,且任意项,,,,求正整数的最大值.
相关试卷
这是一份高二数学第三次月考(苏教版2019,江苏专用,范围:选择性必修第一册第1章~第5章5.1)2024-2025学年高中上学期第三次月考4.zip,文件包含高二数学第三次月考卷全解全析苏教版2019docx、高二数学第三次月考卷参考答案苏教版2019docx、高二数学第三次月考卷考试版A4苏教版2019江苏专用范围选择性必修第一册第1章第5章51docx、高二数学第三次月考卷答题卡苏教版2019docx、高二数学第三次月考卷考试版A3苏教版2019江苏专用范围选择性必修第一册第1章第5章51docx、高二数学第三次月考卷答题卡苏教版2019pdf等6份试卷配套教学资源,其中试卷共30页, 欢迎下载使用。
这是一份高一数学第三次月考卷(新高考八省专用,人教A版2019必修第一册1.1~4.5)2024-2025学年高中上学期第三次月考.zip,文件包含高一数学第三次月考卷全解全析新高考八省专用docx、高一数学第三次月考卷参考答案新高考八省专用docx、高一数学第三次月考卷考试版A4测试范围人教A版2019必修第一册1145新高考八省专用docx、高一数学第三次月考卷答题卡新高考八省专用A3版docx、高一数学第三次月考卷考试版A3测试范围人教A版2019必修第一册1145新高考八省专用docx、高一数学第三次月考卷答题卡新高考八省专用A3版pdf等6份试卷配套教学资源,其中试卷共25页, 欢迎下载使用。
这是一份高一数学第三次月考卷(天津专用,测试范围:人教A版2019必修第一册第三章+第四章)2024-2025学年高中上学期第三次月考.zip,文件包含高一数学第三次月考卷全解全析docx、高一数学第三次月考卷参考答案docx、高一数学第三次月考卷考试版A4测试范围人教A版2019必修第一册第三章+第四章docx、高一数学第三次月考卷答题卡A3docx、高一数学第三次月考卷考试版A3测试范围人教A版2019必修第一册第三章+第四章docx、高一数学第三次月考卷答题卡A3pdf等6份试卷配套教学资源,其中试卷共27页, 欢迎下载使用。

