山东省济宁市兖州区第十八中学等联盟校2024-2025学年七年级上学期11月期中数学试题
展开
这是一份山东省济宁市兖州区第十八中学等联盟校2024-2025学年七年级上学期11月期中数学试题,文件包含山东省济宁市兖州区第十八中学十三中学等联谊校2024-2025第一学期期中联考七年级数学试卷docx、山东省济宁市兖州区第十八中学十三中学等联谊校2024-2025第一学期期中联考七年级数学试卷参考答案docx、24-25七年级数学答案卷docx等3份试卷配套教学资源,其中试卷共7页, 欢迎下载使用。
(时间:120分钟 满分:100分)
一、选择题(每小题3分,共30分)
题号
1
2
3
4
5
6
7
8
9
10
选项
二.填空题(每小题3分,共15分)
11. 12. 13. 14. 15.
三.解答题(共6小题,满分55分)
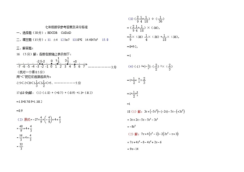
16.(5分)在数轴上表示下列各数:0,﹣2.5,3,﹣2,+5,1.并用“<”连接这些数.
17.(每题3分,共12分)计算.
(1)(﹣1.8)+(+0.7)+(﹣0.9)+1.3+(﹣0.2); (2).
(3)(﹣+)÷(﹣); (4)(﹣1)3+||﹣(﹣)2×(﹣).
18.(6分)化简:
(1); (2).
19.(5分)先化简,再求值:
8a2b+2(2a2b﹣3ab2)﹣3(4a2b﹣ab2),其中a=﹣2,b=3.
20. (本题满分6分)
21. (本题满分6分)
22. (本题满分7分)
23. (本题满分8分)
(第23题)
相关试卷
这是一份山东省济宁市兖州区第十八中学等联盟校2024-2025学年八年级上学期11月期中数学试题,文件包含山东省济宁市兖州区第十八中学十三中学等联谊校2024-2025第一学期期中联考八年级数学试卷pdf、山东省济宁市兖州区第十八中学十三中学等联谊校2024-2025第一学期期中联考八年级数学试卷答案docx、2024-2025学年八年级数学上期中检测试题答案卷pdf等3份试卷配套教学资源,其中试卷共9页, 欢迎下载使用。
这是一份山东省济宁市兖州区兖州区第二十中学2023-2024学年七年级下学期期中数学试题(学生版+教师版),文件包含山东省济宁市兖州区兖州区第二十中学2023-2024学年七年级下学期期中数学试题教师版docx、山东省济宁市兖州区兖州区第二十中学2023-2024学年七年级下学期期中数学试题学生版docx等2份试卷配套教学资源,其中试卷共22页, 欢迎下载使用。
这是一份山东省济宁市兖州区兖州区第二十中学2023-2024学年八年级下学期期中数学试题(含解析),共21页。试卷主要包含了单选题,填空题,解答题等内容,欢迎下载使用。

