湖南省长沙市第一中学2024-2025学年高三上学期11月月考数学试卷(Word版附解析)
展开
这是一份湖南省长沙市第一中学2024-2025学年高三上学期11月月考数学试卷(Word版附解析),文件包含湖南省长沙市第一中学2025届高三上学期月考三11月数学试卷Word版含解析docx、湖南省长沙市第一中学2025届高三上学期月考三11月数学试卷Word版无答案docx等2份试卷配套教学资源,其中试卷共23页, 欢迎下载使用。
时量:120分钟满分:150分
一、选择题(本大题共8个小题,每小题5分,共40分.在每小题给出的四个选项中,只有一项是符合题目要求的)
1. 若复数满足,则( )
A. B. C. D.
【答案】C
【解析】
【分析】根据复数除法运算求出复数z,计算其模,即得答案.
【详解】由可得,
则,
故选:C
2. 已知数列的前项和,则等于( )
A. 12B. 15C. 18D. 21
【答案】B
【解析】
【分析】利用即可求得的值.
【详解】因为数列的前项和,
所以.
故选:B.
3. 抛物线的焦点坐标为( )
A. B.
C. D.
【答案】D
【解析】
【分析】先将抛物线方程化为标准方程,从而可求出其焦点坐标
【详解】解:由,得,
所以抛物线的焦点在轴的正半轴上,且,
所以,,
所以焦点坐标为,
故选:D
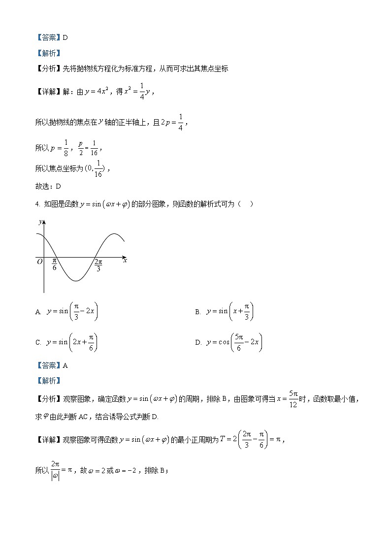
4. 如图是函数的部分图象,则函数的解析式可为( )
A. B.
C. D.
【答案】A
【解析】
【分析】观察图象,确定函数的周期,排除B,由图象可得当时,函数取最小值,求由此判断AC,结合诱导公式判断D.
【详解】观察图象可得函数的最小正周期为,
所以,故或,排除B;
观察图象可得当时,函数取最小值,
当时,可得,,
所以,,排除C;
当时,可得,,
所以,,
取可得,,
故函数的解析式可能为,A正确;
,D错误
故选:A.
5. 1903年,火箭专家、航天之父康斯坦丁・齐奥尔科夫斯基就提出单级火箭在不考虑空气阻力和地球引力的理想情况下的最大速度满足公式:,其中分别为火箭结构质量和推进剂的质量,是发动机的喷气速度.已知某单级火箭结构质量是推进剂质量的2倍,火箭的最大速度为,则火箭发动机的喷气速度为( )(参考数据:,)
A. B. C. D.
【答案】B
【解析】
【分析】根据实际问题,运用对数运算可得.
【详解】由题意,,
得,故,
故选:B
6. 若,,则的值为( )
A. B. C. D.
【答案】C
【解析】
【分析】已知两式平方相加,再由两角和的余弦公式变形可得.
【详解】因为,,
所以,,
即所以,
,
两式相加得,
所以,
故选:C.
7. 如图,一个质点从原点O出发,每隔一秒随机向左或向右移动一个单位长度,向左的概率为,向右的概率为,共移动4次,则该质点共两次到达1的位置的概率为( )
A. B. C. D.
【答案】A
【解析】
【分析】根据该质点共两次到达1的位置的方式有和,且两种方式第次移动向左向右均可以求解.
【详解】共移动4次,该质点共两次到达1的位置的方式有和,且两种方式第次移动向左向右均可以,
所以该质点共两次到达1的位置的概率为.
故选:A.
8. 设为数列an的前n项和,若,且存在,,则的取值集合为( )
A. B.
C. D.
【答案】A
【解析】
【分析】利用可证明得数列和都是公差为2的等差数列,再可求得,有了这些信息,就可以从的取值分析并求解出结果.
【详解】因为,
所以,
假设,解得或(舍去),
由存,,所以有或,
由可得,,两式相减得:,
当时,有,即,
根据可知:数列奇数项是等差数列,公差为2,
所以,解得,
当时,有,即,
根据可知:数列偶数项也是等差数列,公差为2,
所以,解得,
由已知得,所以.
故选:A.
二、选择题(本大题共3小题,每小题6分,共18分.在每小题给出的选项中,至少有两项是符合题目要求,若全部选对得6分,部分选对得部分分,选错或不选得0分)
9. 如图,在正方体中,点,分别为,的中点,则下列说法正确的是( )
A. 直线与为异面直线B. 直线与所成的角为
C. D. 平面
【答案】ABD
【解析】
【分析】直接根据异面直线及其所成角的概念可判断AB,利用反证法可判断C,利用线面平行判定定理可判断D.
【详解】如图所示,连接,,,
由于,分别为,的中点,即为的中点,
所以,面,面,
所以平面,即D正确;
所以与共面,而,所以直线与为异面直线,即A正确;
连接,易得,
所以即为直线与所成的角或其补角,
由于为等边三角形,即,所以B正确;
假设,由于,,所以面,
而面显然不成立,故C错误;
故选:ABD.
10. 已知是圆上的动点,直线与交于点,则( )
A. B. 直线与圆相切
C. 直线与圆截得弦长为D. 的值为
【答案】ACD
【解析】
【分析】选项A根据,可判断正确;选项B由圆心到的距离不等半径可判断错误;选项C根据垂直定理可得;选项D先求出,根据两点间的距离公式可得.
【详解】
选项A:因,故,A正确;
选项B:圆的圆心的坐标为,半径为,
圆心到的距离为,故直线与圆相离,故B错误;
选项C:圆心到的距离为,
故弦长为,故C正确;
选项D:由得,
故,
故,故D正确
故选:ACD
11. 已知三次函数有三个不同的零点,,,函数也有三个零点,,,则( )
A.
B. 若,,成等差数列,则
C.
D.
【答案】ABD
【解析】
【分析】对于A,由题意可得有两个不同实根,则由即可判断;对于B,若成等差数列,则x2,fx2为的对称中心,即可判断;对于C,结合图象,当和时,分类讨论即可判断;对于D,由三次函数有三个不同的零点,结合韦达定理,即可判断.
【详解】因为,
则,,对称中心,
对于A,因为有三个不同零点,所以必有两个极值点,
即有两个不同的实根,
所以,即,故A正确;
对于B,由成等差数列,及三次函数的中心对称性,
可知x2,fx2为的对称中心,所以,故B正确;
对于C,函数,当gx=0时,,
则与y=fx的交点的横坐标即为,,,
当时,画出与的图象,
由图可知,,,则,
当时,则,故C错误;
对D,由题意,得,
整理,得,
得,
即,故D正确.
故选:ABD.
【点睛】关键点点睛:本题D选项的关键是利用交点式得到三次方程的韦达定理式再计算即可.
三、填空题(本大题共3个小题,每小题5分,共15分)
12. 已知随机变量服从二项分布,若,,则_____.
【答案】9
【解析】
【分析】根据二项分布的期望、方差公式,即可求得答案.
【详解】由题意知随机变量服从二项分布,,,
则,即得,
故答案为:9
13. 已知平面向量,满足,,且在上投影向量为,则为______.
【答案】
【解析】
【分析】由条件结合投影向量公式可求,根据向量模的性质及数量积运算律求.
【详解】因为在上的投影向量为,
所以,又,
所以,又 ,
所以.
故答案为:.
14. 如图,已知四面体体积为32,,分别为,的中点,,分别在,上,且,是靠近点的四等分点,则多面体的体积为_____.
【答案】11
【解析】
【分析】连接,将多面体被分成三棱锥和四棱锥,利用题设条件找到小棱锥底面面积与四面体底面面积的数量关系,以及小棱锥的高与四面体的高的数量关系,结合四面体的体积即可求得多面体的体积.
【详解】
如图,连接,则多面体被分成三棱锥和四棱锥.
因是上靠近点的四等分点,则,
又是的中点,故,
因是上靠近点的四等分点,则点到平面的距离是点到平面的距离的,
故三棱锥的体积;
又因点是的中点,则,故,
又由是的中点知,点到平面的距离是点到平面的距离的,
故四棱锥的体积,
故多面体的体积为
故答案为:11.
【点睛】方法点睛:本题主要考查多面体的体积求法,属于较难题.一般的求法有两种:
(1)分割法:即将多面体通过连线,作面的垂线等途径,将其分成若干可以用公式求解;
(2)补形法:即将多面体通过辅助线段构造柱体,锥体或台体,利用整体体积减去个体体积等间接方法求解.
四、解答题(本大题共5个小题,共77分.解答应写出文字说明、证明过程或演算步骤)
15. 设的内角,,的对边分别为,,,已知.
(1)求;
(2)若,且的面积为,求的值.
【答案】(1)
(2)
【解析】
【分析】(1)利用正弦定理的边角变换得到,从而得解;
(2)利用正弦定理的边角变换,余弦定理与三角形面积公式得到关于的方程,解之即可得解.
【小问1详解】
因为,即,
由正弦定理得,
因为,所以,则,
又,所以.
【小问2详解】
因为,由正弦定理得,
因为,所以,则,
由余弦定理,得,
所以,则,解得.
16. 设,.
(1)若,求在处的切线方程;
(2)若,试讨论的单调性.
【答案】(1)
(2)答案见解析
【解析】
【分析】(1)由函数式和导函数式求出和,利用导数的几何意义即可写出切线方程;
(2)对函数求导并分解因式,根据参数的取值进行分类讨论,由导函数的正负推得原函数的增减,即得的单调性.
【小问1详解】
当时,,,因,
故在处的切线方程为,即;
【小问2详解】
因函数的定义域为,
,
① 当时,若,则,故,即函数在上单调递增;
若,由可得.
则当时,,,故,即函数在上单调递减;
当时,,故,即函数在上单调递增;
② 当时,若,则,故,即函数在上单调递增;
若,则,故,即函数在上单调递减;
若,则,故,即函数在上单调递增,
③当时,恒成立,函数在上单调递增,
④当时,若,则,故,即函数在上单调递增;
若,则,故,即函数在上单调递减;
综上,当时,函数在上单调递增,在上单调递减,在上单调递增;
当时,函数在上单调递增;
当时,函数在上单调递增,在上单调递减,在上单调递增;
当时,函数在上单调递减,在上单调递增.
17. 已知四棱锥,底面为菱形,为上的点,过的平面分别交于点,且∥平面.
(1)证明:;
(2)当为的中点,与平面所成的角为,求平面与平面所成的锐二面角的余弦值.
【答案】(1)证明见详解
(2)
【解析】
【分析】(1)根据线面垂直可证平面,则,再根据线面平行的性质定理可证∥,进而可得结果;
(2)根据题意可证平面,根据线面夹角可知为等边三角形,建立空间直角坐标系,利用空间向量求面面夹角.
【小问1详解】
设,则为的中点,连接,
因为为菱形,则,
又因为,且为的中点,则,
,平面,所以平面,
且平面,则,
又因为∥平面,平面,平面平面,
可得∥,所以.
【小问2详解】
因为,且为的中点,则,
且,,平面,所以平面,
可知与平面所成的角为,即为等边三角形,
设,则,且平面,平面,
可得平面,平面,
且平面平面,所以,即交于一点,
因为为的中点,则为的重心,
且∥,则,
设,则,
如图,以分别为轴,建立空间直角坐标系,
则,
可得,
设平面的法向量,则,
令,则,可得,
设平面的法向量,则,
令,则,可得,
可得,
所以平面与平面所成的锐二面角的余弦值.
18. 已知双曲线的左、右焦点为,,过的直线与双曲线交于,两点.
(1)若轴,求线段的长;
(2)若直线与双曲线的左、右两支相交,且直线交轴于点,直线交轴于点.
(i)若,求直线的方程;
(ii)若,恒在以为直径的圆内部,求直线的斜率的取值范围.
【答案】(1)线段的长为;
(2)(i)直线的方程为;
(ii)直线的斜率的取值范围为.
【解析】
【分析】(1)直接代入横坐标求解纵坐标,从而求出的值;
(2)(i)(ii)先设直线和得到韦达定理,在分别得到两个三角形的面积公式,要求相等,代入韦达定理求出参数的值即可.
【小问1详解】
由双曲线的方程,可得,所以,
所以,,若轴,则直线的方程为,
代入双曲线方程可得,所以线段的长为;
【小问2详解】
(i)如图所示,
若直线的斜率为0,此时为轴,为左右顶点,此时不构成三角形,矛盾,
所以直线的斜率不为0,设,,
联立,消去得,应满足,
由根与系数关系可得,
直线的方程为,令,得,点,
直线的方程为,令,得,点,
,
,
由,可得,
所以,所以,
解得,,解得,
经检验,满足,所以,
所以直线的方程为;
(ii)由,恒在以为直径的圆内部,可得,
所以,又,
所以,所以,
所以,所以,
所以,解得,解得或,
经检验,满足,
所以直线的斜率的取值范围为.
【点睛】方法点睛:圆锥曲线中求解三角形面积的常用方法:
(1)利用弦长以及点到直线的距离公式,结合底高,表示出三角形的面积;
(2)根据直线与圆锥曲线的交点,利用公共底或者公共高的情况,将三角形的面积表示为或.
19. 已知是各项均为正整数的无穷递增数列,对于,设集合,设为集合中的元素个数,当时,规定.
(1)若,求,,的值;
(2)若,设的前项和为,求;
(3)若数列是等差数列,求数列的通项公式.
【答案】(1)
(2)
(3)
【解析】
【分析】(1)根据集合新定义,利用列举法依次求得对应值即可得解;
(2)根据集合新定义,求得,,从而利用分组求和法与裂项相消法即可得解.
(3)通过集合新定义结合等差数列性质求出,然后利用反证法结合数列的单调性求得,利用等差数列定义求解通项公式即可;
【小问1详解】
因为,则,
所以,,
,
故.
【小问2详解】
因为,所以,
则,所以,,
当时,则满足的元素个数为,
故,
所以
,
注意到,
所以
.
【小问3详解】
由题可知,所以,所以,
若,则,,
所以,,与是等差数列矛盾,
所以,设,
因为是各项均为正整数的递增数列,所以,
假设存在使得,设,由得,
由得,,与是等差数列矛盾,
所以对任意都有,
所以数列是等差数列,.
【点睛】方法点睛:求解新定义运算有关的题目,关键是理解和运用新定义的概念以及元算,利用化归和转化的数学思想方法,将不熟悉的数学问题,转化成熟悉的问题进行求解.
相关试卷
这是一份湖南省长沙市长郡中学2024-2025学年高三上学期月考卷(三)数学试卷(Word版附解析),共17页。试卷主要包含了选择题,填空题,解答题等内容,欢迎下载使用。
这是一份湖南省长沙市明德中学2025届高三上学期11月月考数学试卷(Word版附解析),文件包含2025届湖南省长沙市明德中学高三上学期11月月考数学试卷Word版含解析docx、2025届湖南省长沙市明德中学高三上学期11月月考数学试卷Word版无答案docx等2份试卷配套教学资源,其中试卷共25页, 欢迎下载使用。
这是一份湖南省长沙市第一中学2024-2025学年高三上学期阶段性检测(一)数学试卷(Word版附解析),文件包含湖南省长沙市第一中学2025届高三上学期阶段性检测一数学试题Word版含解析docx、湖南省长沙市第一中学2025届高三上学期阶段性检测一数学试题Word版无答案docx等2份试卷配套教学资源,其中试卷共27页, 欢迎下载使用。

