山西省朔州市怀仁市2023_2024学年高二数学上学期期中试题含解析
展开1.答卷前,考生务必用黑色字迹钢笔或签字笔将自己的姓名、准考证号和班级填写在答题卡上.将条形码横贴在答题卡右上角“条形码粘贴处”.
2.全部答案在答题卡上完成,答在本试题上无效.
3.回答选择题时,选出每小题答案后,用2B铅笔把答题卡上对应题目的答案标号涂黑.如需改动,用橡皮擦干净后,再选涂其他答案标号.回答非选择题时,将答案用0.5mm的黑色笔迹签字笔写在答题卡上.
4.考试结束后,将本试题和答题卡一并交回.
一、选择题(每题4分,共48分)
1. 已知点是角终边上一点,则( )
A. B. C. D.
【答案】D
【解析】
【分析】先求出点P到原点的距离,再根据正弦函数的定义求解.
【详解】依题意点P的坐标为 , , ;
故选:D.
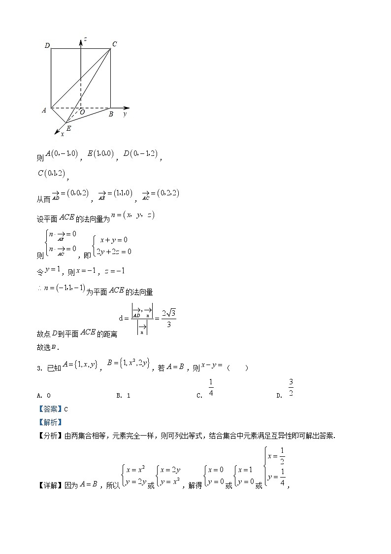
2. 如图所示,在直二面角中,四边形是边长为的正方形,是等腰直角三角形,其中,则点到平面的距离为
A. B. C. D.
【答案】B
【解析】
【详解】
【分析】建立如图所示的空间直角坐标系,
则,,,
,
从而,,
设平面的法向量为
则,即
令,则,
为平面的法向量
故点到平面的距离
故选.
3. 已知,,若,则( )
A. 0B. 1C. D.
【答案】C
【解析】
【分析】由两集合相等,元素完全一样,则可列出等式,结合集合中元素满足互异性即可解出答案.
【详解】因为,所以或,解得或或,
又集合中的元素需满足互异性,所以,
则.
故选:C.
4. 若,则的最小值为( )
A. 4B. 5C. 6D. 8
【答案】C
【解析】
【分析】根据基本不等式即可求解.
【详解】,
因为,所以,所以,
当且仅当,即时等号成立,
故最小值为6,
故选:C
5. 埃及胡夫金字塔是古代世界建筑奇迹之一,它的形状可视为一个正四棱锥,以该四棱锥的高为边长的正方形面积等于该四棱锥侧面积的一半,那么其侧面三角形底边上的高与底面正方形的边长的比值为( )
A. B. C. D.
【答案】D
【解析】
【分析】根据正四棱锥的几何性质列出等量关系,进而即可求解.
【详解】设正四棱锥的高为,底面边长为,侧面三角形底边上的高为,则
由题意可知,,
因此有
,即,解得,
因为,
所以.
所以侧面三角形底边上的高与底面正方形的边长的比值为
故选:D.
6. 若对任意正实数x,y都有,则实数m的取值范围为( )
A. B.
C. D.
【答案】A
【解析】
【分析】将不等式变式为,设后转化为恒成立,只需
求函数的最大值即可.
【详解】因为,
所以,设,
则,,
令
恒成立,故单调递减,
当时,,函数单调递增;
当时,,函数单调递减;.
故
所以,得到.
故选:A.
7. 一组数据按照从小到大的顺序排列为1,2,3,5,6,8,记这组数据的上四分位数为n,则二项式展开式的常数项为( )
A. B. 60C. 120D. 240
【答案】B
【解析】
【分析】利用题意找出该组数据的上四分位数为,然后利用二项式展开式的公式找出常数项即可.
【详解】因为,
所以,
所以展开式的通项为:
,
令得:,
所以展开式的常数项为,
故选:B.
8. 已知一组数据:1,2,3,5,m,则下列说法错误的是( )
A. 若平均数为4,则B. 中位数可以是5
C. 众数可以是1D. 总体方差最小时,
【答案】B
【解析】
【分析】对于A,根据平均数公式得到关于m的方程,解方程得到m的值;
对于B,对m的取值范围分类讨论,结合中位数的概念确定可能的中位数得到结论;
对于C,根据众数的概念确定众数是1时m的值,从而得到结论;
对于D,根据方差公式结合二次函数的最值进行判断.
【详解】对于A,平均数为4时,,解得,A正确;
对于B,当时,易得中位数为3;当时,5是数据中的最大的数,不可能是中位数,故B错误;
对于C,当时,众数可以是1,故C正确;
对于D,设平均数为a,则方差
,
故当且仅当时,方差取得最小值,D正确.
故选:B.
9. 在平面直角坐标系中,点的坐标为,则点、原点到直线的距离不都为1的直线方程是( )
A. B. C. D.
【答案】B
【解析】
【分析】分别利用点到直线距离公式即可确定答案.
【详解】根据点到直线的距离公式可得,对于A,
点到直线的距离为,
点到直线的距离为,所以A错误;
对于B,点到直线的距离为,
点到直线的距离为,所以B正确;
对于C,点直线的距离为,
点O到直线的距离为,所以选项C错误;
对于D,点到直线的距离为,
点O到直线的距离为,所以选项D错误.
故选:B.
10. 已知,则直线的倾斜角的取值范围是( )
A. B. C. D.
【答案】C
【解析】
【分析】由题设直线的斜率,再由斜率与倾斜角的关系求角的范围.
【详解】由题意,直线的斜率k一定存在,且,
则,故.
故选:C
11. 已知的一条直径为是上的两点,,则( )
A. B. C. D.
【答案】D
【解析】
【分析】取MB的中点为Q,连接NQ,作于点S,然后利用四边形MQNS为矩形,结合已知可解.
【详解】取MB的中点为Q,连接NQ,作于点S,如图,
则,又,,
故四边形MQNS为矩形,且N,O,Q三点共线,
因为,所以
所以
故,
则.
故选:D.
12. 已知某人射击每次击中目标的概率都是0.6,现采用随机模拟的方法估计其3次射击至少2次击中目标的概率P.先由计算器产生0到9之间的整数值的随机数,指定0、1、2、3、4、5表示击中目标,6、7、8、9表示未击中目标.因为射击3次,所以每3个随机数为一组,代表3次射击的结果.经随机模拟产生了以下20组随机数:
据此估计P的值为( )
A. 0.6B. 0.65C. 0.7D. 0.75
【答案】B
【解析】
【分析】求出20组随机数中,至少2次击中目标的次数,利用古典概型求概率公式进行求解.
【详解】20组随机数中,至少2次击中目标的有151,525,271,582,407,481,249,333,038,554,731,539,037,共有13组,
所以估计P的值为
故选:B
二、填空题(共22分)
13. 在梯形中,,,为的中点,将沿直线翻折成,当三棱锥的体积最大时,过点的平面截三棱锥的外接球所得截面面积的最小值为___________.
【答案】2π
【解析】
【分析】当三棱锥的体积最大时,此时到底面的高最大,即此时平面平面,即平面,设球心为在平面内作,垂足为,证明平面即得解.
【详解】解:由题得, 因为.
因为,所以是△外接圆的圆心,外接圆的半径为
当三棱锥的体积最大时,由于底面的面积是定值,所以此时到底面的高最大,即此时平面平面,即平面.
如图,设球心为在平面内作,垂足为, 因为,所以,所以平面,
所以过点的平面截三棱锥的外接球所得最小截面就是过的外接圆. 所以截面的最小值为.
故答案为:
14. 已知直线和圆相交于两点.若,则的值为_________.
【答案】5
【解析】
【分析】根据圆的方程得到圆心坐标和半径,由点到直线的距离公式可求出圆心到直线的距离,进而利用弦长公式,即可求得.
【详解】因为圆心到直线的距离,
由可得,解得.
故答案为:.
【点睛】本题主要考查圆的弦长问题,涉及圆的标准方程和点到直线的距离公式,属于基础题.
15. 如图,已知四边形ABCD为圆柱的轴截面,,E,F为上底圆上的两个动点,且EF过圆心G,当三棱锥的体积最大时,直线AC与平面BEF所成角的正弦值为________.
【答案】
【解析】
【分析】由的值不变,得到当EF垂直CD时,三棱锥的体积最大,建立的空间直角坐标系,求得向量和平面的法向量,结合向量的夹角公式,即可求解.
【详解】因为,的值不变,所以当EF垂直CD时,三棱锥的体积最大,建立如图所示的空间直角坐标系,
则,,,
设平面的法向量,
则,可得,令,则,
设直线AC与平面BEF所成角为,则.
故答案为:.
16. 已知直线与直线平行,则___________.
【答案】
【解析】
【分析】由两直线平行,可得,即可求解.
【详解】由得,,则,
故答案为:
17. 甲、乙两队进行篮球决赛,采取七场四胜制(当一队赢得四场胜利时该队获胜,比赛结束),根据以往比赛成绩,甲队的主客场安排依次为“主主客客主客主”,设甲队主场取胜的概率为0.8,客场取胜的概率为0.5,且各场比赛结果相互独立,则甲队以4:1获胜的概率是__________.
【答案】##
【解析】
【分析】甲队以4∶1获胜包含的情况有:
①前5场比赛中,第一场负,另外4场全胜,
②前5场比赛中,第二场负,另外4场全胜,
③前5场比赛中,第三场负,另外4场全胜,
④前5场比赛中,第四场负,另外4场全胜,由此能求出甲队以4∶1获胜的概率.
【详解】甲队的主客场安排依次为“主主客客主客主”
设甲队主场取胜的概率为0.8,客场取胜的概率为0.5,且各场比赛结果相互独立,
甲队以4:1获胜包含情况有:
①前5场比赛中,第一场负,另外4场全胜,其概率为:,
②前5场比赛中,第二场负,另外4场全胜,其概率为:,
③前5场比赛中,第三场负,另外4场全胜,其概率为:,
④前5场比赛中,第四场负,另外4场全胜,其概率为:,
则甲队以4:1获胜的概率为:
故答案为:0.32
三、解答题(本题共5小题,每题16分,共80分)
18. 已知椭圆C:的离心率为,且过点.
(1)求的方程:
(2)点,在上,且,,为垂足.证明:存在定点,使得为定值.
【答案】(1);(2)详见解析.
【解析】
【分析】(1)由题意得到关于的方程组,求解方程组即可确定椭圆方程.
(2)方法一:设出点,的坐标,在斜率存在时设方程为, 联立直线方程与椭圆方程,根据已知条件,已得到的关系,进而得直线恒过定点,在直线斜率不存在时要单独验证,然后结合直角三角形的性质即可确定满足题意的点的位置.
【详解】(1)由题意可得:,解得:,
故椭圆方程为:.
(2)[方法一]:通性通法
设点,
若直线斜率存在时,设直线的方程为:,
代入椭圆方程消去并整理得:,
可得,,
因为,所以,即,
根据,代入整理可得:
,
所以,
整理化简得,
因为不在直线上,所以,
故,于是的方程为,
所以直线过定点直线过定点.
当直线的斜率不存在时,可得,
由得:,
得,结合可得:,
解得:或(舍).
此时直线过点.
令为的中点,即,
若与不重合,则由题设知是的斜边,故,
若与重合,则,故存在点,使得为定值.
[方法二]【最优解】:平移坐标系
将原坐标系平移,原来的O点平移至点A处,则在新的坐标系下椭圆的方程为,设直线的方程为.将直线方程与椭圆方程联立得,即,化简得,即.
设,因为则,即.
代入直线方程中得.则在新坐标系下直线过定点,则在原坐标系下直线过定点.
又,D在以为直径的圆上.的中点即为圆心Q.经检验,直线垂直于x轴时也成立.
故存在,使得.
[方法三]:建立曲线系
A点处的切线方程为,即.设直线的方程为,直线的方程为,直线的方程为.由题意得.
则过A,M,N三点的二次曲线系方程用椭圆及直线可表示为(其中为系数).
用直线及点A处的切线可表示为(其中为系数).
即.
对比项、x项及y项系数得
将①代入②③,消去并化简得,即.
故直线的方程为,直线过定点.又,D在以为直径的圆上.中点即为圆心Q.
经检验,直线垂直于x轴时也成立.故存在,使得.
[方法四]:
设.
若直线的斜率不存在,则.
因为,则,即.
由,解得或(舍).
所以直线的方程为.
若直线斜率存在,设直线的方程为,则.
令,则.
又,令,则
.
因,所以,
即或.
当时,直线的方程为.所以直线恒过,不合题意;
当时,直线的方程为,所以直线恒过.
综上,直线恒过,所以.
又因为,即,所以点D在以线段为直径的圆上运动.
取线段的中点为,则.
所以存在定点Q,使得为定值.
【整体点评】(2)方法一:设出直线方程,然后与椭圆方程联立,通过题目条件可知直线过定点,再根据平面几何知识可知定点即为的中点,该法也是本题的通性通法;
方法二:通过坐标系平移,将原来的O点平移至点A处,设直线的方程为,再通过与椭圆方程联立,构建齐次式,由韦达定理求出的关系,从而可知直线过定点,从而可知定点即为的中点,该法是本题的最优解;
方法三:设直线,再利用过点的曲线系,根据比较对应项系数可求出的关系,从而求出直线过定点,故可知定点即为的中点;
方法四:同方法一,只不过中间运算时采用了一元二次方程的零点式赋值,简化了求解以及的计算.
19. 如图,在三棱锥中,,底面ABC
(1)证明:平面平面PAC
(2)若,M是PB中点,求AM与平面PBC所成角的正切值
【答案】(1)证明见解析
(2)
【解析】
【分析】(1)由,得到,再根据底面ABC,得到,然后利用线面垂直和面面垂直的判定定理证明;
(2)作,连接OM,由平面平面PAC,得到平面PBC,
则即为AM与平面PBC所成的角求解.
【小问1详解】
证明:因为,
所以,又底面ABC,
所以,又,
所以平面PAC,
因为平面PBC,
所以平面平面PAC;
【小问2详解】
如图所示:
作,连接OM,
因为平面平面PAC,平面平面PAC=PC,
所以平面PBC,
则即为AM与平面PBC所成的角,
设,则,
所以,又,
所以,
所以AM与平面PBC所成角的正切值为.
20. 已知函数.若函数在处有极值-4.
(1)求的单调递减区间;
(2)求函数在上的最大值和最小值.
【答案】(1);(2).
【解析】
【详解】试题分析:
先求出导函数,根据导数的几何意义得到关于的方程组,求得后再根据导函数的符号求出单调递减区间.
由求出函数的单调区间,可以数判断函数在上的单调性,求出函数在上的极值和端点值,通过比较可得的最大值和最小值.
试题解析:
(1)∵,
∴,
依题意有即,解得
∴,
由,得,
∴函数的单调递减区间
由知
∴,
令,解得.
当变化时,的变化情况如下表:
由上表知,函数在上单调递减,在上单调递增.
故可得
又.
∴
综上可得函数在上的最大值和最小值分别为和.
21. 已知圆与圆相交于两点,点位于轴上方,且两圆在点处的切线相互垂直.
(1)求的值;
(2)若直线与圆、圆分别切于两点,求的最大值.
【答案】(1)
(2)最大值为3
【解析】
【分析】(1)根据切线的性质构造直角三角形,结合勾股定理求解;
(2)平移公切线构造直角三角形,由勾股定理结合基本不等式求解的最大值.
【小问1详解】
如图,由题意可知与圆相切,与圆相切,
且,
故,
即.
【小问2详解】
作于点H,连接PQ,
在中,,
其中,
故,
又,当且仅当时取等号,
故,
即的最大值为3.
22. 在正方体中,为的中点,为棱上一点,平面交棱于点,交棱于点.
(1)若,求;
(2)若,求证:平面.
【答案】(1)
(2)证明见解析
【解析】
【分析】(1)连接,并延长,DA交于点Q,连接QE,则QE与AB的交点即为点F,根据相似三角形的相似比可得;
(2)设正方体棱长为a,,延长,EH交于点S,连接,AC,利用三角形相似比求得t和CH,然后可证.
【小问1详解】
连接,并延长,DA交于点Q,连接QE,则QE与AB的交点即为点F,如图,
易得,,
又,则,
则.
小问2详解】
设正方体棱长为a,,
易得,则,
故.
延长,EH交于点S,连接,AC,如图,
易得,则,则,
又,则
,
化简得,则,
故,则四边形MACH为平行四边形,
则,平面ABCD,平面ABCD,
则平面ABCD.
2024年山西省朔州市怀仁一中高考数学三模试卷(含解析): 这是一份2024年山西省朔州市怀仁一中高考数学三模试卷(含解析),共16页。试卷主要包含了单选题,多选题,填空题,解答题等内容,欢迎下载使用。
2022-2023学年山西省朔州市怀仁一中高二(下)期末数学试卷(含详细答案解析): 这是一份2022-2023学年山西省朔州市怀仁一中高二(下)期末数学试卷(含详细答案解析),共16页。试卷主要包含了单选题,多选题,填空题,解答题等内容,欢迎下载使用。
2022-2023学年山西省朔州市怀仁市高二(下)期末数学试卷(含详细答案解析): 这是一份2022-2023学年山西省朔州市怀仁市高二(下)期末数学试卷(含详细答案解析),共18页。试卷主要包含了单选题,多选题,填空题,解答题等内容,欢迎下载使用。

