高三数学一轮复习第九章计数原理、概率、随机变量及其分布第五课时离散型随机变量的分布列和数字特征课件
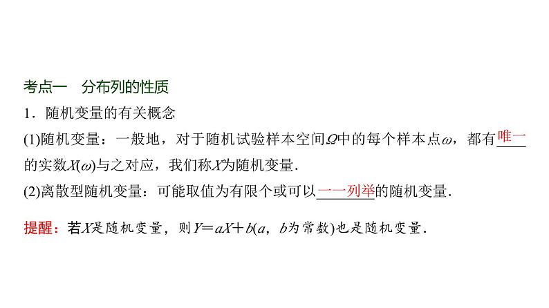
展开考点一 分布列的性质1.随机变量的有关概念(1)随机变量:一般地,对于随机试验样本空间Ω中的每个样本点ω,都有____的实数X(ω)与之对应,我们称X为随机变量.(2)离散型随机变量:可能取值为有限个或可以________的随机变量.
提醒:若X是随机变量,则Y=aX+b(a,b为常数)也是随机变量.
2.离散型随机变量的分布列及性质(1)一般地,设离散型随机变量X的可能取值为x1,x2,…,xn,我们称X取每一个值xi的概率P(X=xi)=pi,i=1,2,…,n为X的概率分布列,简称分布列.(2)离散型随机变量分布列的性质①pi__0,i=1,2,…,n;②p1+p2+…+pn=__.
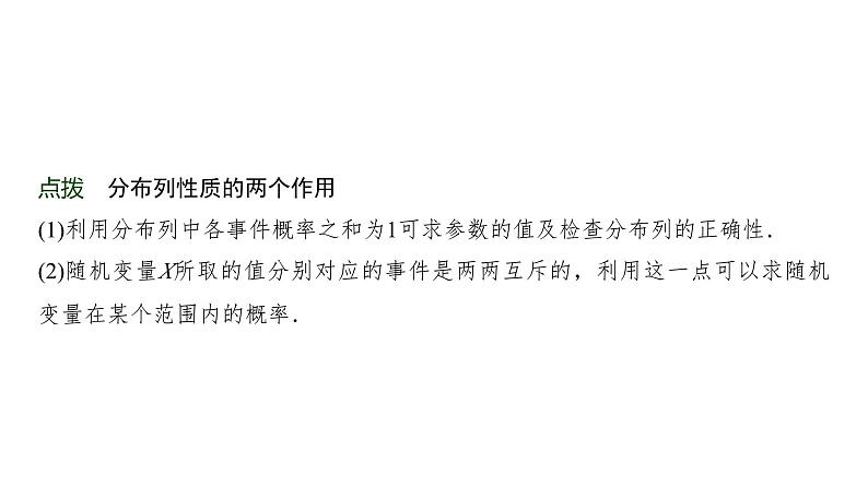
点拨 分布列性质的两个作用(1)利用分布列中各事件概率之和为1可求参数的值及检查分布列的正确性.(2)随机变量X所取的值分别对应的事件是两两互斥的,利用这一点可以求随机变量在某个范围内的概率.
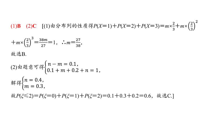
跟进训练1 (1)若随机变量X的分布列为则当P(X<a)=0.8时,实数a的取值范围是( )A.(-∞,2] B.[1,2]C.(1,2] D.(1,2)
(2)随机变量X的分布列如下:其中a,b,c成等差数列,则P(|X|=1)=_____,公差d的取值范围是________.
考点二 离散型随机变量的分布列及数字特征1.离散型随机变量的均值与方差离散型随机变量X的分布列为
x1p1+x2p2+…+xnpn
(xi-E(X))2pi
2.均值与方差的性质(1)E(aX+b)=_________.(a,b为常数)(2)D(aX+b)=_________.(a,b为常数)
[常用结论]均值与方差的关系:D(X )=E(X 2)-(E(X ))2.
链接·2024高考试题(2024·北京高考数学真题) (本小题13分)某保险公司为了解该公司某种保险产品的索赔情况,从合同保险期限届满的保单中随机抽取1 000份,记录并整理这些保单的索赔情况,获得数据如下表:
假设:一份保单的保费为0.4万元;前三次索赔时,保险公司每次赔偿0.8万元;第四次索赔时,保险公司赔偿0.6万元.假设不同保单的索赔次数相互独立.用频率估计概率.
(1)估计一份保单索赔次数不少于2的概率;(2)一份保单的毛利润定义为这份保单的保费与赔偿总金额之差.(ⅰ)记X为一份保单的毛利润,估计X的数学期望EX;(ⅱ)如果无索赔的保单的保费减少4%,有索赔的保单的保费增加20%,试比较这种情况下一份保单毛利润的数学期望估计值与(ⅰ)中EX估计值的大小.(结论不要求证明)
(ⅱ)如果无索赔的保单的保费减少4%,有索赔的保单的保费增加20%,这种情况下一份保单毛利润的数学期望估计值比(ⅰ)中EX估计值大.证明如下:设调整保费后一份保单的毛利润(单位:万元)为Y,则对于索赔次数为0的保单,Y=0.4×(1-4%)=0.384,对于索赔次数为1的保单,Y=0.4×(1+20%)-0.8=-0.32,对于索赔次数为2的保单,Y=-0.32-0.8=-1.12,对于索赔次数为3的保单,Y=-1.12-0.8=-1.92,对于索赔次数为4的保单,Y=-1.92-0.6=-2.52,故EY=0.384×0.8-0.32×0.1-1.12×0.06-1.92×0.03-2.52×0.01=0.125 2.所以EX
(2)依题可知,X的可能取值为0,10,20,30,P(X=0)=0.5×0.4×0.8=0.16,P(X=10)=0.5×0.4×0.8+0.5×0.6×0.8+0.5×0.4×0.2=0.44,P(X=20)=0.5×0.6×0.8+0.5×0.4×0.2+0.5×0.6×0.2=0.34,P(X=30)=0.5×0.6×0.2=0.06.所以X的分布列为E(X)=0×0.16+10×0.44+20×0.34+30×0.06=13.
【教师备用】一台设备由三个部件构成,假设在一天的运转中,部件1,2,3需要调整的概率分别为0.1,0.2,0.3,各部件的状态相互独立.(1)求设备在一天的运转中,部件1,2中至少有1个需要调整的概率;(2)记设备在一天的运转中需要调整的部件个数为X,求X的分布列及数学期望.
点拨 离散型随机变量分布列的求解步骤
考点三 数字特征在决策中的应用[典例3] (2021·新高考Ⅰ卷)某学校组织“一带一路”知识竞赛,有A,B两类问题.每位参加比赛的同学先在两类问题中选择一类并从中随机抽取一个问题回答,若回答错误则该同学比赛结束;若回答正确则从另一类问题中再随机抽取一个问题回答,无论回答正确与否,该同学比赛结束.A类问题中的每个问题回答正确得20分,否则得0分;B类问题中的每个问题回答正确得80分,否则得0分.已知小明能正确回答A类问题的概率为0.8,能正确回答B类问题的概率为0.6,且能正确回答问题的概率与回答次序无关.(1)若小明先回答A类问题,记X为小明的累计得分,求X的分布列;(2)为使累计得分的期望最大,小明应选择先回答哪类问题?并说明理由.
[解] (1)由已知可得,X的所有可能取值为0,20,100,P(X=0)=1-0.8=0.2,P(X=20)=0.8×(1-0.6)=0.32,P(X=100)=0.8×0.6=0.48,所以X的分布列为
(2)由(1)可知当小明先回答A类问题时,E(X )=0×0.2+20×0.32+100×0.48=54.4.当小明先回答B类问题时,记Y为小明的累计得分,则Y的所有可能取值为0,80,100,P(Y=0)=1-0.6=0.4,P(Y=80)=0.6×(1-0.8)=0.12,P(Y=100)=0.6×0.8=0.48,所以Y的分布列为则E(Y)=0×0.4+80×0.12+100×0.48=57.6.因为E(Y)>E(X ),所以为使累计得分的期望最大,小明应选择先回答B类问题.
点拨 利用均值、方差进行决策的方法均值能够反映随机变量取值的“平均水平”,因此,当均值不同时,两个随机变量取值的水平可见分晓,由此可对实际问题作出决策判断;若两个随机变量均值相同或相差不大,则可通过分析两个变量的方差来研究随机变量的离散程度或者稳定程度,方差或标准差越小,则偏离均值的平均程度越小,进而进行决策.
高三数学一轮复习第九章计数原理、概率、随机变量及其分布第三课时随机事件与概率课件: 这是一份高三数学一轮复习第九章计数原理、概率、随机变量及其分布第三课时随机事件与概率课件,共37页。PPT课件主要包含了基本结果,全体样本点,样本空间Ω的子集,A⊆B,A∪B或A+B,A∩B或AB,A∩B=∅,可能性大小,稳定于,PA+PB等内容,欢迎下载使用。
新高考数学一轮复习课件第9章计数原理概率随机变量及其分布第6讲 离散型随机变量的数字特征(含解析): 这是一份新高考数学一轮复习课件第9章计数原理概率随机变量及其分布第6讲 离散型随机变量的数字特征(含解析),共46页。PPT课件主要包含了均值与方差的性质,题组一,走出误区,均程度越小,答案1×,2√3√,题组二,走进教材,答案A,题组三等内容,欢迎下载使用。
2024届高考数学一轮总复习第九章计数原理概率随机变量及其分布第八讲离散型随机变量的数字特征课件: 这是一份2024届高考数学一轮总复习第九章计数原理概率随机变量及其分布第八讲离散型随机变量的数字特征课件,共53页。PPT课件主要包含了答案B等内容,欢迎下载使用。

