高三数学一轮复习第四章三角函数与解三角形第四课时简单的三角恒等变换课件
展开点拨 三角函数式的化简要注意观察条件中角之间的联系(和、差、倍、互余、互补等),寻找式子和三角函数公式之间的联系点,如本题需将二倍角转化为单角的形式进行化简.
点拨 (1)给角求值问题需先仔细观察非特殊角与特殊角之间的关系,然后结合公式转化为特殊角得解.(2)给值求值问题关键在于用“已知角”表示“未知角”,如β=(α+β)-α,2α=(α+β)+(α-β)等.(3)给值求角问题解题的关键在于“变角”,一般先求角的某一个三角函数值,再求角的范围,最后确定角.
高三数学一轮复习第四章三角函数与解三角形第五课时三角函数的图象与性质课件: 这是一份高三数学一轮复习第四章三角函数与解三角形第五课时三角函数的图象与性质课件,共29页。PPT课件主要包含了-11,奇函数,偶函数,kπ0,x=kπ等内容,欢迎下载使用。
2025版高考数学全程一轮复习第四章三角函数与解三角形第四节简单的三角恒等变换课件: 这是一份2025版高考数学全程一轮复习第四章三角函数与解三角形第四节简单的三角恒等变换课件,共32页。PPT课件主要包含了答案B,答案D,答案C,答案A等内容,欢迎下载使用。
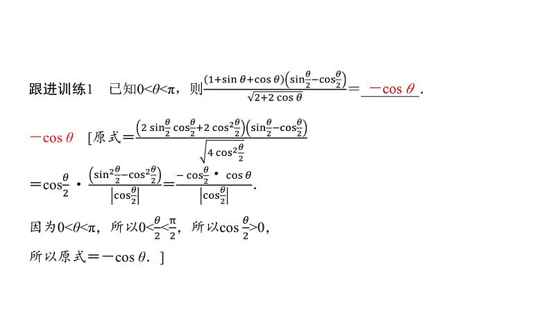
2024届高考数学一轮复习(新教材人教A版强基版)第四章三角函数与解三角形4.4简单的三角恒等变换课件: 这是一份2024届高考数学一轮复习(新教材人教A版强基版)第四章三角函数与解三角形4.4简单的三角恒等变换课件,共60页。PPT课件主要包含了落实主干知识,探究核心题型,课时精练,cos2α-1,-2sin2α,-cosθ,命题点2给值求值,命题点3给值求角,化简并求值等内容,欢迎下载使用。

