人教A版 (2019)必修 第一册4.3.2 对数的运算课文配套ppt课件
展开自主预习·新知导学
提示:(1)3,3;(2)5,5;(3)-1,-1;(4)8,8,每组中两个式子的值均相等.两个正数的乘积的对数等于两个正数对数的和.
提示:(1)-1,-1;(2)-1,-1;(3)-5,-5;(4)2,2,每组中两个式子的值均相等.两个正数的商的对数等于两个正数对数的差.
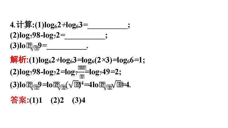
答案:(1)1 (2)2 (3)4
合作探究·释疑解惑
探究一 对数运算性质的应用
反思感悟对数的化简求值的基本原则和方法(1)基本原则对数的化简求值一般是正用或逆用公式, 对真数进行处理,选哪种策略化简,取决于问题的实际情况,一般本着便于真数化简的原则进行.(2)两种常用的方法①“收”,将同底的两对数的和(差)收成积(商)的对数;②“拆”,将积(商)的对数拆成同底的两对数的和(差).
探究二 对数换底公式的应用
反思感悟对数换底公式的应用技巧(1)对数换底公式的作用是将不同底数的对数转化为同底数的对数,将一般对数式转化成常用对数式或自然对数式来进行运算,要注意对数换底公式的正用和逆用.(2)当要求值的式子中既含有对数式又含有指数式时,应先将它们进行互化,统一形式后再利用相关公式计算.
【变式训练2】 (1)(lg2125+lg85)×(lg52+lg252)= ; (2)lg23×lg36×lg68= .
答案:(1)5 (2)3
探究三 对数运算的综合问题
1.将本例(1)的条件“lg189=a,18b=5”改为“9a=4,3b=5”,再用a,b表示lg3645.
反思感悟解决对数运算综合问题的基本方法(1)统一化:如果所求为对数式,那么统一将条件转化为对数式;(2)选底数:针对具体问题,选择恰当的底数,使已知条件中对数的底数与要求的对数的底数联系起来;(3)善结合:要善于将对数的运算性质与对数换底公式结合起来使用.
提示:错误原因在于忽视了对数的真数大于0这一隐含条件,事实上,由题意应有x>2y>0,因此“x=y”这一种情况不符合题意,应舍去.
防范措施求解对数问题时,经常需要去掉对数符号对原式进行转化,这时很容易忽略原式中对数的真数大于0这一隐含的限制条件,从而导致错误,所以在解答这类问题时,一定要先考虑这一条件.
【变式训练】 若lg2(x2-5)=lg2(x-2)+2,则实数x的值为 . 解析:由已知得lg2(x2-5)=lg2[4(x-2)],所以x2-5=4x-8,解得x=1或x=3.但当x=1时,x2-5<0,x-2<0,不符合题意,舍去.故只有x=3符合题意.答案:3
1.计算2lg510+lg50.25的值为( )A.0B.1C.2D.4解析:原式=lg5102+lg50.25=lg5(102×0.25)=lg525=2.答案:C
3.已知lg 2=a,lg 3=b,则用a,b表示lg 15为( )A.b-a+1B.b(a-1)C.b-a-1D.b(1-a)
4.若lgab·lg3a=4,则b= .
高中数学人教A版 (2019)必修 第一册第四章 指数函数与对数函数4.3 对数示范课ppt课件: 这是一份高中数学人教A版 (2019)必修 第一册第四章 指数函数与对数函数4.3 对数示范课ppt课件,共17页。PPT课件主要包含了导入新课,精彩课堂,此式叫对数换底公式,例题剖析,课堂练习,课堂总结等内容,欢迎下载使用。
人教A版 (2019)必修 第一册第四章 指数函数与对数函数4.3 对数授课课件ppt: 这是一份人教A版 (2019)必修 第一册第四章 指数函数与对数函数4.3 对数授课课件ppt,共32页。PPT课件主要包含了教材知识探究,运算性质,换底公式,答案0,答案2,互化解题,答案A,答案1等内容,欢迎下载使用。
数学必修 第一册4.3 对数作业ppt课件: 这是一份数学必修 第一册4.3 对数作业ppt课件,共20页。

