2025高考数学一轮复习-4.6-正弦定理和余弦定理【课件】
展开ZHISHIZHENDUANJICHUHANGSHI
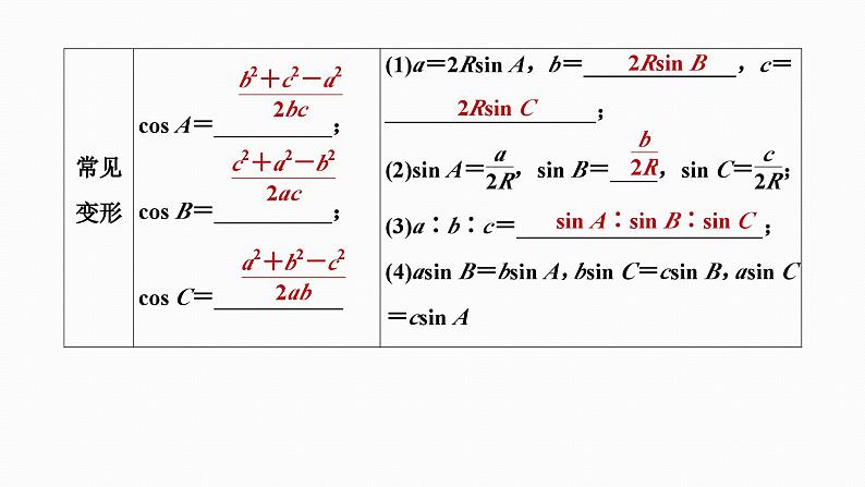
在△ABC中,若角A,B,C所对的边分别是a,b,c,R为△ABC外接圆半径,则
2.在△ABC中,已知a,b和A时,解的情况如下:
3.三角形常用面积公式
解析 (1)三角形中三边之比等于相应的三个内角的正弦值之比.(3)已知三角时,不可求三边.(4)当b2+c2-a2>0时,△ABC不一定为锐角三角形.
1.思考辨析(在括号内打“√”或“×”)(1)三角形中三边之比等于相应的三个内角之比.( )(2)在△ABC中,若sin A>sin B,则A>B.( )(3)在△ABC的六个元素中,已知任意三个元素可求其他元素.( )(4)当b2+c2-a2>0时,△ABC为锐角三角形;当b2+c2-a2=0时,△ABC为直角三角形;当b2+c2-a2<0时,△ABC为钝角三角形.( )
解析 因为sin A=6sin B,由正弦定理可得a=6b,又a+2b=8,所以a=6,b=1,因为C=60°,所以c2=a2+b2-2abcs C,
2.在△ABC中,C=60°,a+2b=8,sin A=6sin B,则c=( )
解得C=45°或C=135°.
得AB=3,所以AB=BC.过点B作BD⊥AC,交AC于点D,
∴角B不存在,即满足条件的三角形不存在.
5.(易错题)在△ABC中,已知b=40,c=20,C=60°,则此三角形的解的情况是( )A.有一解 B.有两解C.无解 D.有解但解的个数不确定
解析 由已知得cs C(sin A-sin B)=0,所以cs C=0或sin A=sin B,解得C=90°或A=B,所以△ABC是直角三角形或等腰三角形.
6.(易错题)在△ABC中,角A,B,C,满足sin Acs C-sin Bcs C=0,则三角形的形状为__________________________.
直角三角形或等腰三角形
KAODIANTUPOTIXINGPOUXI
证明 因为BDsin∠ABC=asin C,所以由正弦定理得,BD·b=ac,又b2=ac,所以BD·b=b2,又b>0,所以BD=b.
例1 记△ABC的内角A,B,C的对边分别为a,b,c.已知b2=ac,点D在边AC上,BDsin ∠ABC=asin C.(1)证明:BD=b.
(2)若AD=2DC,求cs ∠ABC.解 法一 如图所示,过点D作DE∥BC交AB于E,
因为∠BED=π-∠ABC,所以cs∠BED=-cs ∠ABC,
化简得3c2+6a2-11ac=0,方程两边同时除以a2,
所以9b2=4a2+4accs∠ABC+c2.①又b2=ac=a2+c2-2accs∠ABC,②
所以①-②,得8ac=3a2+6accs∠ABC,
因为b
A.等边三角形B.直角边不相等的直角三角形C.等腰直角三角形D.钝角三角形
所以sin Acs A=sin Bcs B,即sin 2A=sin 2B.
又A,B∈(0,π),
又B∈(0,π),所以sin B>0,所以sin C<sin Bcs A,即sin(A+B)<sin Bcs A,所以sin Acs B<0.因为在三角形中sin A>0,所以cs B<0,即B为钝角,所以△ABC为钝角三角形.
A.钝角三角形 B.直角三角形C.锐角三角形 D.等边三角形
解析 由正弦定理得sin Bcs C+sin Ccs B=sin2A,∴sin(B+C)=sin2A,即sin A=sin2A.∵A∈(0,π),∴sin A>0,
(2)设△ABC的内角A,B,C所对的边分别为a,b,c,若bcs C+ccs B=asin A,则△ABC的形状为______________.
∴△ABC为直角三角形.
所以a2+c2=3ac=3×4=12,
解 若选①,由于△ABC的内角A,B,C的对边分别为a,b,c,且btan A=(2c-b)tan B,
∵sin B≠0,∴sin Acs B=2sin Ccs A-sin Bcs A,即sin(A+B)=2sin Ccs A,即sin C=2sin Ccs A.
化简可得2cs2A+cs A=1,
(2)求△ABC的面积.注:如果选择多个条件分别解答,按第一个解答计分.解 由(1)及余弦定理可得a2=b2+c2-bc=(b+c)2-3bc.
注:如果选择条件①和条件②分别解答,按第一个解答计分.
训练3 在△ABC中,a+b=11,再从条件①、条件②这两个条件中选择一个作为已知,求:(1)a的值;(2)sin C和△ABC的面积.
且a+b=11.(1)在△ABC中,由余弦定理,得
在△ABC中,由正弦定理,得
∵a+b=11,a=8,∴b=3,
在△ABC中,由正弦定理,可得
又∵a+b=11,∴a=6,b=5.
(2)sin C=sin[π-(A+B)]=sin(A+B)=sin Acs B+cs Asin B
设△ABC的三边是a,b,c,它们所对的角分别是A,B,C,则有:a=bcs C+ccs B;b=ccs A+acs C;c=acs B+bcs A.注:以“a=bcs C+ccs B”为例,b,c在a上的射影分别为bcs C,ccs B,故名射影定理.
证明 如图,在△ABC中,AD⊥BC,则bcs C=CD,ccs B=BD,故bcs C+ccs B=CD+BD=BC=a,即a=bcs C+ccs B,同理可证b=ccs A+acs C,c=acs B+bcs A.
解析 法一 因为sin B(1+2cs C)=2sin Acs C+cs Asin C,所以sin B+2sin Bcs C=sin Acs C+sin(A+C),所以sin B+2sin Bcs C=sin Acs C+sin B,
例 在△ABC中,角A,B,C的对边分别为a,b,c,若△ABC为锐角三角形,且满足sin B(1+2cs C)=2sin Acs C+cs Asin C,则下列等式成立的是( )A.a=2b B.b=2aC.A=2B D.B=2A
即cs C(2sin B-sin A)=0,所以cs C=0或2sin B=sin A,即C=90°或2b=a,又△ABC为锐角三角形,所以0°<C<90°,故2b=a.法二 由正弦定理和余弦定理得
所以a2+b2=c2或2b=a,又△ABC为锐角三角形,所以a2+b2>c2,故2b=a.法三 由正弦定理及sin B(1+2cs C)=2sin Acs C+cs Asin C得b+2bcs C=2acs C+ccs A=acs C+(acs C+ccs A)=acs C+b,即2bcs C=acs C,又因为△ABC为锐角三角形,所以cs C≠0,则2b=a.
FENCENGXUNLIAN GONGGUTISHENG
解析 由余弦定理得AC2=AB2+BC2-2AB·BCcs B,得BC2+2BC-15=0,解得BC=3或BC=-5(舍去).故选D.
解析 在△ABC中,由正弦定理及acs B+bcs A=3ccs C.得sin Acs B+cs Asin B=3sin Ccs C,∴sin(A+B)=sin C=3sin Ccs C,
由正弦定理及asin A-csin C+bsin A=0,得a2-c2=-ab.
解析 ∵tan A+tan B=tan(A+B)(1-tan Atan B),∵tan A+tan B+tan C=tan(A+B)(1-tan Atan B)+tan C=-tan C(1-tan Atan B)+tan C=tan Atan Btan C>0,∴A,B,C均为锐角,∴选项A正确;
6.(多选)已知a,b,c分别是△ABC三个内角A,B,C的对边,下列四个命题中正确的是( )A.若tan A+tan B+tan C>0,则△ABC是锐角三角形B.若acs A=bcs B,则△ABC是等腰三角形C.若bcs C+ccs B=b,则△ABC是等腰三角形
由bcs C+ccs B=b及正弦定理,可知sin Bcs C+sin Ccs B=sin B,∴sin A=sin B,∴A=B,则△ABC是等腰三角形,∴选项C正确;由已知和正弦定理,易知tan A=tan B=tan C,A=B=C,则△ABC是等边三角形,∴选项D正确.
解析 A=2B⇒sin A=sin 2B⇒sin A=2sin Bcs B,由正弦定理得a=2bcs B,
7.已知△ABC中,角A,B,C的对边分别为a,b,c,b=2,c=3,A=2B,则a=________.
解析 由题意画出△ABC,且AB=13里,BC=14里,AC=15里,在△ABC中,由余弦定理得,cs B
8.我国南宋著名数学家秦九韶在他的著作《数书九章》卷五的“田域类”中写道:问有沙田一段,有三斜,其小斜一十三里,中斜一十四里,大斜一十五里.里法三百步.欲知为田几何.意思是已知三角形沙田的三边长分别为13里,14里,15里,求三角形沙田的面积.则该沙田的面积为________平方里.
∵sin Asin C≠0,A+C=π-B,
∴ac=8,而a+c=6,∴(a+c)2=a2+2ac+c2=36,∴a2+c2=20,
解 由题设及余弦定理得
解 在△ABC中,A=180°-B-C=30°-C,
而0°
=sin Csin C,
解 若选①,由正弦定理得
余下同①.若选③,由正弦定理得(b-a)2=c2-ba,
解析 ∵a2=b2+c2-bc,∴bc=b2+c2-a2,
13.已知在△ABC中,内角A,B,C的对边分别为a,b,c,若a2=b2+c2-bc,a=3,则△ABC的周长的最大值为________.
法二 ∵a=3,∴由余弦定理得9=b2+c2-bc,∴(b+c)2-3bc=9,
∴(b+c)2≤36,∵b+c>0,∴0<b+c≤6,当且仅当b=c时取“=”,∴a+b+c≤9,∴△ABC的周长最大值为9.
解 因为2sin C=3sin A,所以2c=3a,又因为c=a+2,所以2(a+2)=3a,则a=4,b=a+1=5,c=a+2=6,
14.在△ABC中,角A,B,C所对的边长分别为a,b,c,b=a+1,c=a+2.(1)若2sin C=3sin A,求△ABC的面积;
2025高考数学一轮复习-5.4-复数【课件】: 这是一份2025高考数学一轮复习-5.4-复数【课件】,共32页。PPT课件主要包含了课前双基巩固,课堂考点突破等内容,欢迎下载使用。
2025高考数学一轮复习-4.6.1-正弦定理和余弦定理【课件】: 这是一份2025高考数学一轮复习-4.6.1-正弦定理和余弦定理【课件】,共47页。PPT课件主要包含了课前双基巩固,课堂考点突破等内容,欢迎下载使用。
2025高考数学一轮复习-1.1-集合【课件】: 这是一份2025高考数学一轮复习-1.1-集合【课件】,共40页。PPT课件主要包含了课前双基巩固,课堂考点突破等内容,欢迎下载使用。

