还剩7页未读,
继续阅读
高考数学二轮专题——三角函数参数ω的取值范围问题整理
展开
这是一份高考数学二轮专题——三角函数参数ω的取值范围问题整理,共10页。
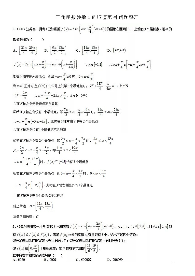
解析:化简,抓中心角
或. k=0时,,k=1时,,k=2时,
要使f(x)=1有三个解,,,
,
思维路线:化简、解三角方程(集合)、估算k、找边界点、解含ω的不等式、验证区间开闭。
相关试卷
高考数学二轮复习专题 三角函数ω的取值范围及解三角形中的范围与最值问题:
这是一份高考数学二轮复习专题 三角函数ω的取值范围及解三角形中的范围与最值问题,共37页。
三角函数ω的取值范围及解三角形中的范围与最值问题-高考数学专题:
这是一份三角函数ω的取值范围及解三角形中的范围与最值问题-高考数学专题,文件包含三角函数ω的取值范围及解三角形中的范围与最值问题解析版pdf、三角函数ω的取值范围及解三角形中的范围与最值问题学生版pdf等2份试卷配套教学资源,其中试卷共37页, 欢迎下载使用。
最新高考数学二轮复习(新高考)【专题突破精练】 第17讲 三角函数中的ω取值与范围问题:
这是一份最新高考数学二轮复习(新高考)【专题突破精练】 第17讲 三角函数中的ω取值与范围问题,文件包含第17讲三角函数中的ω取值与范围问题原卷版docx、第17讲三角函数中的ω取值与范围问题解析版docx等2份试卷配套教学资源,其中试卷共37页, 欢迎下载使用。

