2025年高考数学一轮复习-第一板块-层级(一)基础性考法【课件】
展开
这是一份2025年高考数学一轮复习-第一板块-层级(一)基础性考法【课件】,共39页。PPT课件主要包含了扫盲·补短等内容,欢迎下载使用。
第一板块|三角函数与解三角形、平面向量
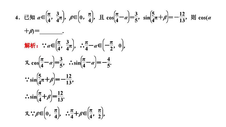
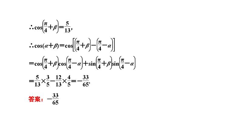
解析:由题可得,∠DAC=49°-19°=30°,在△ACD中,由余弦定理可得DC2=AC2+AD2-2AC·AD·cs 30°.代入得28=AC2+48-12AC,即(AC-2)(AC-10)=0,因为∠ADC>90°,故AC=10,故BC=AC·cs 49°=10·sin 41°=6.6.答案:6.6
[评价·诊断]1.已知向量a=(3,1),b=(1,1),c=a+kb.若c⊥b,则k=( )A.2 B.0 C.-1 D.-2解析:∵a=(3,1),b=(1,1),∴c=a+kb=(3+k,1+k),∵c⊥b,∴b·c=1×(3+k)+1×(1+k)=0,解得k=-2.故选D.答案:D
5.(2021·新高考Ⅱ卷)已知向量a+b+c=0,|a|=1,|b|=|c|=2,a·b+b·c+c·a=________.
“课时验收评价”见“课时验收评价(一)” (单击进入电子文档)
相关课件
这是一份2025年高考数学一轮复习-第五板块-解析几何-层级(一) 基础性考法【课件】,共28页。PPT课件主要包含了扫盲·补短等内容,欢迎下载使用。
这是一份2025年高考数学一轮复习-第四板块-概率与统计-层级(一) 基础性考法【课件】,共28页。PPT课件主要包含了扫盲·补短等内容,欢迎下载使用。
这是一份2025年高考数学一轮复习-第三板块-立体几何-层级(一) 基础性考法【课件】,共23页。PPT课件主要包含了扫盲·补短等内容,欢迎下载使用。

